Suppr超能文献

评估新冠病毒德尔塔毒株流行期间的焦虑情绪:中文版冠状病毒焦虑量表的验证

Assessing anxiety during the COVID-19 delta epidemic: Validation of the Chinese coronavirus anxiety scale.

作者信息

Lian Qiaoping, Xia Lu, Wu Daxing

机构信息

Medical Psychological Center, The Second Xiangya Hospital, Central South University, Changsha, Hunan, China.

Medical Psychological Institute of Central South University, Changsha, Hunan, China.

出版信息

Front Psychol. 2022 Sep 14;13:981121. doi: 10.3389/fpsyg.2022.981121. eCollection 2022.

Abstract

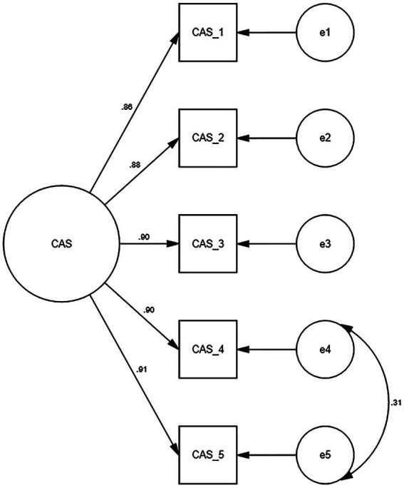
The study aimed to examine the psychometric properties of the coronavirus anxiety scale (CAS) during the coronavirus disease 2019 (COVID-19) delta epidemic. A total of 2,116 participants on the Chinese mainland completed the online survey. We employed exploratory factor analysis (EFA) and confirmatory factor analysis (CFA) to investigate the factor structure. The findings showed that the one-factor model of the CAS Chinese version fitted perfectly with the data. The multigroup CFAs showed the measurement invariance across gender and age groups (18-29 and 30-68). We also examined the CAS's internal consistency and convergent and concurrent validity. The results demonstrated that the one-factor model had good reliability and convergent and concurrent validity. Overall, according to our findings, the CAS Chinese version was reliable for measuring coronavirus anxiety during the COVID-19 delta outbreak.

摘要

该研究旨在检验新型冠状病毒焦虑量表(CAS)在2019年冠状病毒病(COVID-19)德尔塔毒株流行期间的心理测量特性。中国大陆共有2116名参与者完成了在线调查。我们采用探索性因素分析(EFA)和验证性因素分析(CFA)来研究因素结构。研究结果表明,CAS中文版的单因素模型与数据拟合良好。多组验证性因素分析表明,该量表在性别和年龄组(18 - 29岁和30 - 68岁)间具有测量不变性。我们还检验了CAS的内部一致性以及聚合效度和同时效度。结果表明,单因素模型具有良好的信度、聚合效度和同时效度。总体而言,根据我们的研究结果,CAS中文版在COVID-19德尔塔毒株暴发期间用于测量冠状病毒焦虑是可靠的。

https://cdn.ncbi.nlm.nih.gov/pmc/blobs/0b36/9517585/4fd357724915/fpsyg-13-981121-g001.jpg

文献AI研究员

20分钟写一篇综述,助力文献阅读效率提升50倍。

立即体验

用中文搜PubMed

大模型驱动的PubMed中文搜索引擎

马上搜索

文档翻译

学术文献翻译模型,支持多种主流文档格式。

立即体验