Suppr超能文献

微波消融治疗良性乳腺病变的疗效与安全性:一项系统评价与荟萃分析

Efficacy and safety of microwave ablation for benign breast lesions: a systematic review and meta-analysis.

作者信息

Xu Chuchu, Yu Qinghong, Wang Mengqian, Zhu Jiayan, Yang Zimei, Liu Shan, Gao Xiufei

机构信息

First Clinical Medical College, Zhejiang Chinese Medical University, Hangzhou, China.

Department of Clinical Evaluation Center, The First Affiliated Hospital of Zhejiang Chinese Medical University (Zhejiang Provincial Hospital of Traditional Chinese Medicine), Hangzhou, China.

出版信息

Wideochir Inne Tech Maloinwazyjne. 2022 Sep;17(3):418-429. doi: 10.5114/wiitm.2022.115572. Epub 2022 Apr 20.

Abstract

AIM

We performed a systematic review and meta-analysis to evaluate the efficacy and safety of microwave ablation (MWA) for benign breast lesions.

MATERIAL AND METHODS

PubMed, Embase, Web of Science, Cochrane Library databases, China National Knowledge Infrastructure, and Wanfang Data Knowledge Service Platform databases were searched.

RESULTS

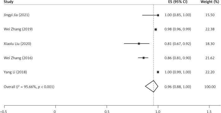
A total of 10 studies were included, giving a sample size of 1241 patients and 2729 benign breast lesions. The first complete ablation success rate was 96%. The volume reduction ratio (VRR) after 3/6/12 months was 47.4%, 62.1%, and 85.8%, respectively. After 12 months, the lesion disappearance rate was 53.6%, and the efficiency rate was 99%. The rate of excellent cosmesis was 88% and the rate of good cosmesis was 10%. The complication rate was 2%.

CONCLUSIONS

MWA is safe and effective for treating benign breast lesions. It can be a promising minimally invasive choice for benign breast lesions.

摘要

目的

我们进行了一项系统评价和荟萃分析,以评估微波消融(MWA)治疗良性乳腺病变的疗效和安全性。

材料与方法

检索了PubMed、Embase、Web of Science、Cochrane图书馆数据库、中国知网和万方数据知识服务平台数据库。

结果

共纳入10项研究,样本量为1241例患者和2729个良性乳腺病变。首次完全消融成功率为96%。3/6/12个月后的体积缩小率(VRR)分别为47.4%、62.1%和85.8%。12个月后,病变消失率为53.6%,有效率为99%。美容效果极佳率为88%,良好率为10%。并发症发生率为2%。

结论

MWA治疗良性乳腺病变安全有效。它可能是治疗良性乳腺病变的一种有前景的微创选择。

https://cdn.ncbi.nlm.nih.gov/pmc/blobs/d2ef/9511910/163d4b23e88f/WIITM-17-46861-g001.jpg

文献检索

告别复杂PubMed语法,用中文像聊天一样搜索,搜遍4000万医学文献。AI智能推荐,让科研检索更轻松。

立即免费搜索

文件翻译

保留排版,准确专业,支持PDF/Word/PPT等文件格式,支持 12+语言互译。

免费翻译文档

深度研究

AI帮你快速写综述,25分钟生成高质量综述,智能提取关键信息,辅助科研写作。

立即免费体验