• 文献检索
  • 文档翻译
  • 深度研究
  • 学术资讯
  • Suppr Zotero 插件Zotero 插件
  • 邀请有礼
  • 套餐&价格
  • 历史记录
应用&插件
Suppr Zotero 插件Zotero 插件浏览器插件Mac 客户端Windows 客户端微信小程序
定价
高级版会员购买积分包购买API积分包
服务
文献检索文档翻译深度研究API 文档MCP 服务
关于我们
关于 Suppr公司介绍联系我们用户协议隐私条款
关注我们

Suppr 超能文献

核心技术专利:CN118964589B侵权必究
粤ICP备2023148730 号-1Suppr @ 2026

文献检索

告别复杂PubMed语法,用中文像聊天一样搜索,搜遍4000万医学文献。AI智能推荐,让科研检索更轻松。

立即免费搜索

文件翻译

保留排版,准确专业,支持PDF/Word/PPT等文件格式,支持 12+语言互译。

免费翻译文档

深度研究

AI帮你快速写综述,25分钟生成高质量综述,智能提取关键信息,辅助科研写作。

立即免费体验

环境规制、研发投入与中国绿色技术创新——基于 PVAR 模型的分析。

Environmental regulation, R&D investment, and green technology innovation in China: Based on the PVAR model.

机构信息

School of Economics and Management, Taiyuan University of Technology, Taiyuan, Shanxi, China.

出版信息

PLoS One. 2022 Oct 3;17(10):e0275498. doi: 10.1371/journal.pone.0275498. eCollection 2022.

DOI:10.1371/journal.pone.0275498
PMID:36191027
原文链接:https://pmc.ncbi.nlm.nih.gov/articles/PMC9529096/
Abstract

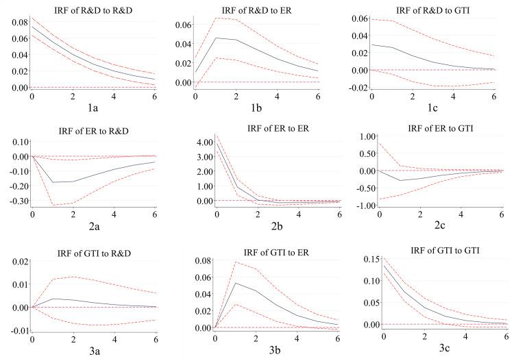
The unreasonable economic development model of human beings has caused the environmental pollution problem to become increasingly serious. In order to achieve a positive relationship and interaction between environmental regulation, research and development (R&D) investment, and green technology innovation, and effectively solve the "strange circle" problem between high-quality economic development and environmental pollution in China and even the world, this paper takes the panel data of industrial enterprises above designated size in Chinese mainland 31 provinces from 2009 to 2019 as a research sample. The comprehensive index of R&D investment and green technology innovation was established by the entropy method, and the panel vector autoregressive (PVAR) model was constructed from the dynamic endogenous perspective, and the dynamic interaction and regional heterogeneity between environmental regulation, R&D investment, and green technology innovation were empirically analyzed by using impulse response function and variance decomposition. We obtain the following findings: (1) Environmental regulation has a two-way interaction relationship with R&D investment and green technology innovation, and R&D investment has a promotion effect on the "green degree" of technological innovation, but its role is still weak and has lagging characteristics. (2) There is significant regional heterogeneity in the dynamic responses of the eastern, central and western parts of China. (3) In the long run, environmental regulation has a "negative crowding out effect" on R&D investment in the central region, and the phenomenon of "central collapse" still exists but will gradually weaken. Environmental regulation has a "positive innovation compensation effect" on green technology innovation. Green technology innovation and R&D investment have an obvious "Pareto improvement" effect on environmental regulation, especially in the eastern region. The conclusions of this study help to clarify the dynamic interaction between environmental regulation, R&D investment, and green technology innovation, further improve environmental regulatory policies and green technology innovation R&D decision-making, and provide an effective way to achieve green and sustainable development in China and other parts of the world.

摘要

人类不合理的经济发展模式导致环境污染问题日益严重。为了实现环境规制、研发(R&D)投入与绿色技术创新之间的积极关系和互动,有效解决中国乃至世界高质量经济发展与环境污染之间的“怪圈”问题,本文以 2009-2019 年中国大陆 31 个省、自治区、直辖市的规模以上工业企业面板数据为研究样本。采用熵值法构建 R&D 投入和绿色技术创新的综合指数,从动态内生视角构建面板向量自回归(PVAR)模型,利用脉冲响应函数和方差分解实证分析环境规制、R&D 投入与绿色技术创新之间的动态互动和区域异质性。研究结果表明:(1)环境规制与 R&D 投入和绿色技术创新之间存在双向互动关系,R&D 投入对技术创新的“绿色程度”具有促进作用,但作用仍然较弱且具有滞后特征。(2)中国东、中、西部地区的动态响应存在显著的区域异质性。(3)从长期来看,环境规制对中部地区 R&D 投资存在“负挤入效应”,“中部塌陷”现象仍然存在,但会逐渐减弱。环境规制对绿色技术创新具有“正向创新补偿效应”。绿色技术创新和 R&D 投资对环境规制具有明显的“帕累托改进”效应,在东部地区尤为明显。本研究的结论有助于厘清环境规制、R&D 投入与绿色技术创新之间的动态互动关系,进一步完善环境监管政策和绿色技术创新研发决策,为中国乃至世界其他地区实现绿色可持续发展提供有效途径。

https://cdn.ncbi.nlm.nih.gov/pmc/blobs/2eb2/9529096/3a1ab83db7b5/pone.0275498.g003.jpg
https://cdn.ncbi.nlm.nih.gov/pmc/blobs/2eb2/9529096/5e5abc9dd287/pone.0275498.g001.jpg
https://cdn.ncbi.nlm.nih.gov/pmc/blobs/2eb2/9529096/e6f1212a3041/pone.0275498.g002.jpg
https://cdn.ncbi.nlm.nih.gov/pmc/blobs/2eb2/9529096/3a1ab83db7b5/pone.0275498.g003.jpg
https://cdn.ncbi.nlm.nih.gov/pmc/blobs/2eb2/9529096/5e5abc9dd287/pone.0275498.g001.jpg
https://cdn.ncbi.nlm.nih.gov/pmc/blobs/2eb2/9529096/e6f1212a3041/pone.0275498.g002.jpg
https://cdn.ncbi.nlm.nih.gov/pmc/blobs/2eb2/9529096/3a1ab83db7b5/pone.0275498.g003.jpg

相似文献

1
Environmental regulation, R&D investment, and green technology innovation in China: Based on the PVAR model.环境规制、研发投入与中国绿色技术创新——基于 PVAR 模型的分析。
PLoS One. 2022 Oct 3;17(10):e0275498. doi: 10.1371/journal.pone.0275498. eCollection 2022.
2
Will China's R&D investment improve green innovation performance? An empirical study.中国的研发投入会提高绿色创新绩效吗?一项实证研究。
Environ Sci Pollut Res Int. 2022 Jun;29(26):39331-39344. doi: 10.1007/s11356-021-18464-5. Epub 2022 Jan 31.
3
How does artificial intelligence development affect green technology innovation in China? Evidence from dynamic panel data analysis.人工智能发展如何影响中国绿色技术创新?基于动态面板数据的证据。
Environ Sci Pollut Res Int. 2023 Feb;30(10):28066-28090. doi: 10.1007/s11356-022-24088-0. Epub 2022 Nov 17.
4
Research on the impact mechanism of heterogeneous environmental regulation on enterprise green technology innovation.异质性环境规制对企业绿色技术创新的影响机制研究。
J Environ Manage. 2022 Nov 15;322:116127. doi: 10.1016/j.jenvman.2022.116127. Epub 2022 Sep 5.
5
Revisiting the Green Growth Effect of Foreign Direct Investment from the Perspective of Environmental Regulation: Evidence from China.重新审视环境规制视角下外国直接投资的绿色增长效应:来自中国的证据。
Int J Environ Res Public Health. 2023 Feb 1;20(3):2655. doi: 10.3390/ijerph20032655.
6
Dynamic Impact of Technology and Finance on Green Technology Innovation Efficiency: Empirical Evidence from China's Provinces.技术与金融对绿色技术创新效率的动态影响:来自中国各省的经验证据。
Int J Environ Res Public Health. 2022 Apr 14;19(8):4764. doi: 10.3390/ijerph19084764.
7
Have environmental regulations promoted green technological innovation in cities? Evidence from China's green patents.环境规制是否促进了城市的绿色技术创新?来自中国绿色专利的证据。
PLoS One. 2022 Dec 13;17(12):e0278902. doi: 10.1371/journal.pone.0278902. eCollection 2022.
8
Impact of environmental regulation on green total factor productivity: a new perspective of green technological innovation.环境规制对绿色全要素生产率的影响:绿色技术创新的新视角。
Environ Sci Pollut Res Int. 2022 Jul;29(35):53785-53800. doi: 10.1007/s11356-022-19576-2. Epub 2022 Mar 15.
9
Does regional planning policy of Yangtze River Delta improve green technology innovation? Evidence from a quasi-natural experiment in China.长三角区域规划政策是否提升了绿色技术创新?来自中国准自然实验的证据。
Environ Sci Pollut Res Int. 2021 Nov;28(44):62321-62337. doi: 10.1007/s11356-021-14946-8. Epub 2021 Jun 30.
10
Heterogeneous impacts of environmental regulation on foreign direct investment: do environmental regulation affect FDI decisions?环境规制对外国直接投资的非一致性影响:环境规制是否影响 FDI 决策?
Environ Sci Pollut Res Int. 2022 Jan;29(4):5092-5104. doi: 10.1007/s11356-021-15277-4. Epub 2021 Aug 20.

引用本文的文献

1
Energy-consuming right transaction and low-carbon technology innovation: Evidence from Chinese listed enterprises.耗能权交易与低碳技术创新:来自中国上市企业的证据
Heliyon. 2024 Aug 14;10(17):e36277. doi: 10.1016/j.heliyon.2024.e36277. eCollection 2024 Sep 15.
2
The impact of environmental regulations on the upgrading of the industrial structure: Evidence from China.环境规制对产业结构升级的影响:来自中国的证据
Heliyon. 2024 Feb 24;10(5):e27091. doi: 10.1016/j.heliyon.2024.e27091. eCollection 2024 Mar 15.
3
Environmental protection tax and green innovation of heavily polluting enterprises: A quasi-natural experiment based on the implementation of China's environmental protection tax law.

本文引用的文献

1
Environmental regulation, environmental responsibility, and green technology innovation: Empirical research from China.环境规制、环境责任与绿色技术创新:来自中国的实证研究。
PLoS One. 2021 Sep 22;16(9):e0257670. doi: 10.1371/journal.pone.0257670. eCollection 2021.
2
Environmental regulation, import trade, and green technology innovation.环境规制、进口贸易与绿色技术创新
Environ Sci Pollut Res Int. 2022 Feb;29(9):12864-12874. doi: 10.1007/s11356-021-13490-9. Epub 2021 May 2.
3
Environmental regulation, green innovation, and international competitiveness of manufacturing enterprises in China: From the perspective of heterogeneous regulatory tools.
环境保护税与重污染企业绿色创新:基于中国实施环境保护税法的准自然实验
PLoS One. 2023 Jun 15;18(6):e0286253. doi: 10.1371/journal.pone.0286253. eCollection 2023.
4
Do China's pilot free trade zones promote green dual-circulation development? Based on the DID model.中国自由贸易试验区是否促进了绿色双循环发展?基于 DID 模型。
PLoS One. 2023 Mar 10;18(3):e0281054. doi: 10.1371/journal.pone.0281054. eCollection 2023.
5
The Heterogeneous Effects of Formal and Informal Environmental Regulation on Green Technology Innovation-An Empirical Study of 284 Cities in China.正式和非正式环境规制对绿色技术创新的异质效应——来自中国 284 个城市的实证研究。
Int J Environ Res Public Health. 2023 Jan 16;20(2):1621. doi: 10.3390/ijerph20021621.
环境规制、绿色创新与中国制造业企业的国际竞争力:基于异质性规制工具的视角。
PLoS One. 2021 Mar 30;16(3):e0249169. doi: 10.1371/journal.pone.0249169. eCollection 2021.
4
Firm information disclosure environment and R&D investment: Evidence from Internet penetration.企业信息披露环境与研发投资:来自互联网普及率的证据。
PLoS One. 2021 Mar 18;16(3):e0247549. doi: 10.1371/journal.pone.0247549. eCollection 2021.
5
How does environmental information disclosure affect economic development and haze pollution in Chinese cities? The mediating role of green technology innovation.环境信息披露如何影响中国城市的经济发展和雾霾污染?绿色技术创新的中介作用。
Sci Total Environ. 2021 Jun 25;775:145811. doi: 10.1016/j.scitotenv.2021.145811. Epub 2021 Feb 14.
6
Effect of foreign direct investment on CO emission with the role of globalization, institutional quality with pooled mean group panel ARDL.外资对 CO 排放的影响——全球化的作用,制度质量的面板 ARDL 均值组检验。
Environ Sci Pollut Res Int. 2021 Feb;28(5):5271-5282. doi: 10.1007/s11356-020-10823-y. Epub 2020 Sep 22.
7
Inequalities of China's regional low-carbon development.中国区域低碳发展的不平等性。
J Environ Manage. 2020 Nov 15;274:111042. doi: 10.1016/j.jenvman.2020.111042. Epub 2020 Aug 17.
8
Environmental decentralization, local government competition, and regional green development: Evidence from China.环境分权、地方政府竞争与区域绿色发展——来自中国的证据。
Sci Total Environ. 2020 Mar 15;708:135085. doi: 10.1016/j.scitotenv.2019.135085. Epub 2019 Nov 23.
9
Toward a sustainable environment: Nexus between CO emissions, resource rent, renewable and nonrenewable energy in 16-EU countries.迈向可持续环境:16 个欧盟国家的 CO2 排放、资源租金、可再生与不可再生能源之间的关系。
Sci Total Environ. 2019 Mar 20;657:1023-1029. doi: 10.1016/j.scitotenv.2018.12.104. Epub 2018 Dec 8.