Suppr超能文献

糖尿病视网膜病变中丝氨酸棕榈酰转移酶和 Rac1-Nox2 信号的调节。

Regulation of serine palmitoyl-transferase and Rac1-Nox2 signaling in diabetic retinopathy.

机构信息

Ophthalmology, Visual and Anatomical Sciences, Kresge Eye Institute, Wayne State University, Detroit, MI, 48201, USA.

出版信息

Sci Rep. 2022 Oct 6;12(1):16740. doi: 10.1038/s41598-022-20243-2.

Abstract

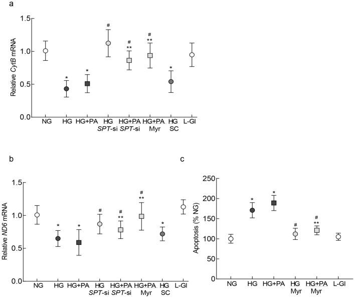
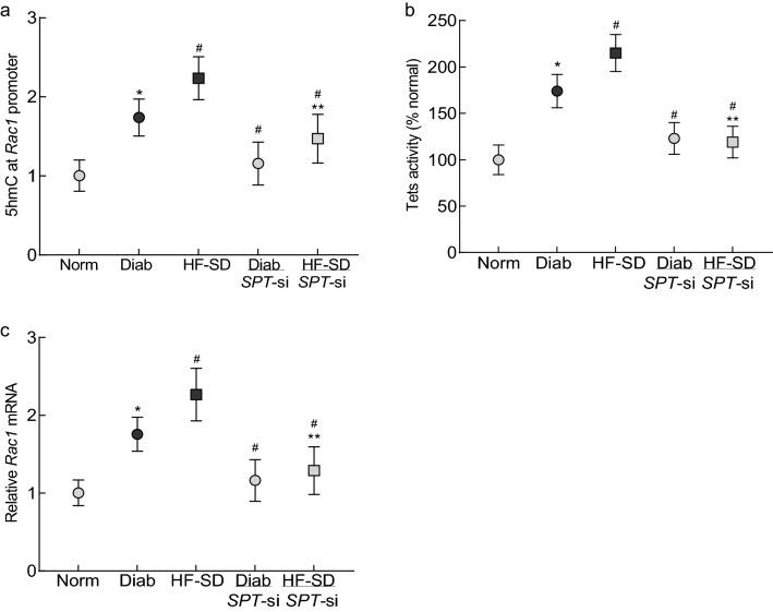
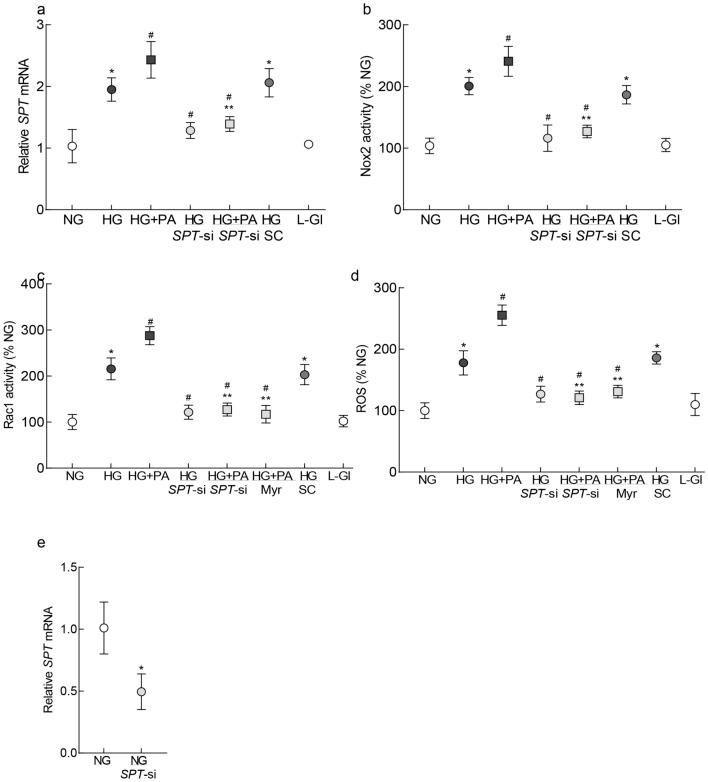
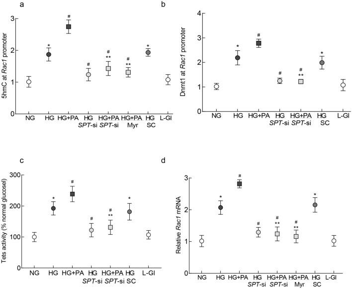
Hyperlipidemia is considered as one of the major systemic factors associated with the development of diabetic retinopathy, and animal models have documented that its presence in a hyperglycemic environment exacerbates cytosolic ROS production (via activation of the Rac1-Nox2 axis) and mitochondrial damage. Hyperglycemia also accelerates Rac1 transcription via dynamic DNA methylation-hydroxymethylation of its promoter. In diabetes, ceramide metabolism in the retina is impaired and its accumulation is increased. Our aim was to investigate the effect of inhibition of the rate limiting enzyme of the de novo ceramide biosynthesis, serine palmitoyl-transferase (SPT), on Rac1 activation in diabetic retinopathy. Using human retinal endothelial cells, transfected with SPT-siRNA, and incubated in 20 mM D-glucose in the presence or absence of 50 µM palmitate (glucolipotoxic and glucotoxic, respectively), activities of Rac1 and Nox2, and ROS levels were quantified. For Rac1 transcriptional activation, 5 hydroxymethyl cytosine (5hmC) levels at its promoter were quantified. Key parameters were confirmed in retinal microvessels from streptozotocin-induced diabetic mice on a normal diet (type 1 diabetic model) or on a high-fat diet (45% kcal, type 2 diabetic model), injected intravitreally with SPT-siRNA. Compared to normal glucose, cells in high glucose, with or without palmitic acid, had increased Rac1-Nox2-ROS signaling, Rac1 transcripts and 5hmC levels at its promoter. Inhibition of SPT by SPT-siRNA or myriocin prevented glucotoxic- and glucolipotoxic-induced increase in Rac1-Nox2-ROS signaling and 5hmC at the Rac1 promoter. Similarly, in both type 1 and type 2 diabetic mouse models, SPT-siRNA attenuated the increase in the Rac1-Nox2-ROS axis and 5hmC at the Rac1 promoter. Thus, inhibition of the rate limiting enzyme of ceramide de novo biosynthesis, SPT, regulates activation of DNA methylation-hydroxymethylation machinery and prevents increased Rac1 transcription. This ameliorates the activation of Rac1-Nox2 signaling and protects the mitochondria from damaging cytosolic ROS, which prevents accelerated capillary cell loss. These results further raise the importance of regulating lipid levels in diabetic patients with dyslipidemia.

摘要

高脂血症被认为是与糖尿病性视网膜病变发展相关的主要系统性因素之一,动物模型已经证明,在高血糖环境中,它会加剧细胞质 ROS 产生(通过激活 Rac1-Nox2 轴)和线粒体损伤。高血糖还通过其启动子的动态 DNA 甲基化-羟甲基化加速 Rac1 转录。在糖尿病中,视网膜中的神经酰胺代谢受损,其积累增加。我们的目的是研究抑制从头神经酰胺生物合成的限速酶丝氨酸棕榈酰转移酶(SPT)对糖尿病性视网膜病变中 Rac1 激活的影响。使用转染 SPT-siRNA 的人视网膜内皮细胞,在 20 mM D-葡萄糖存在或不存在 50 µM 棕榈酸(分别为糖脂毒性和糖毒性)的情况下孵育,定量 Rac1 和 Nox2 的活性以及 ROS 水平。为了确定 Rac1 的转录激活,定量了其启动子上的 5-羟甲基胞嘧啶(5hmC)水平。在正常饮食(1 型糖尿病模型)或高脂肪饮食(45%卡路里,2 型糖尿病模型)下的链脲佐菌素诱导的糖尿病小鼠的视网膜微血管中证实了关键参数,并用 SPT-siRNA 进行了眼内注射。与正常葡萄糖相比,高葡萄糖中的细胞,无论是否存在棕榈酸,Rac1-Nox2-ROS 信号、Rac1 转录本和启动子上的 5hmC 水平都增加了。SPT-siRNA 或 myriocin 抑制 SPT 可防止糖毒性和糖脂毒性诱导的 Rac1-Nox2-ROS 信号和 Rac1 启动子上的 5hmC 增加。同样,在 1 型和 2 型糖尿病小鼠模型中,SPT-siRNA 减弱了 Rac1-Nox2-ROS 轴和 Rac1 启动子上的 5hmC 的增加。因此,抑制神经酰胺从头生物合成的限速酶 SPT 可调节 DNA 甲基化-羟甲基化机制的激活,并防止 Rac1 转录增加。这改善了 Rac1-Nox2 信号的激活,并防止了损伤细胞质 ROS 的线粒体损伤,从而防止了毛细血管细胞的加速丢失。这些结果进一步提高了在血脂异常的糖尿病患者中调节脂质水平的重要性。

https://cdn.ncbi.nlm.nih.gov/pmc/blobs/3d77/9537524/c617480eb69f/41598_2022_20243_Fig1_HTML.jpg

文献AI研究员

20分钟写一篇综述,助力文献阅读效率提升50倍。

立即体验

用中文搜PubMed

大模型驱动的PubMed中文搜索引擎

马上搜索

文档翻译

学术文献翻译模型,支持多种主流文档格式。

立即体验