Suppr超能文献

基因的表达和甲基化与头颈部鳞状细胞癌的预后相关。

The expression and methylation of genes is associated with the prognosis of head and neck squamous cell carcinoma.

作者信息

Zhao Yaqiong, Zhao Jie, Zhong Mengmei, Zhang Qian, Yan Fei, Feng Yunzhi, Guo Yue

机构信息

Department of Stomatology, The Second Xiangya Hospital, Central South University, Changsha, China.

Hunan Key Laboratory of Oral Health Research and Hunan 3D Printing Engineering Research Center of Oral Care and Hunan Clinical Research Center of Oral Major Diseases and Oral Health and Xiangya Stomatological Hospital and Xiangya School of Stomatology, Central South University, Changsha, China.

出版信息

Front Genet. 2022 Sep 20;13:982241. doi: 10.3389/fgene.2022.982241. eCollection 2022.

Abstract

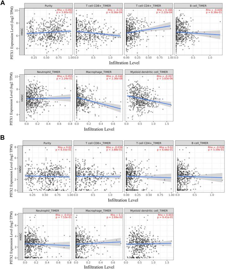
The gene family, comprising , , and , is critical in organogenesis and has been evolutionary conserved in animals. genes are associated with the advanced progression and poor prognosis of multiple cancers. However, the relationship between the genes and head and neck squamous cell carcinoma (HNSC) has not been reported. We used data from The Cancer Genome Atlas (TCGA) to analyze the association between mRNA expression and clinicopathological parameters of patients with HNSC. The prognostic value of genes was evaluated using the Kaplan-Meier plotter. Multivariate Cox analysis was used to screen out prognosis-associated genes to identify better prognostic indicators. The potential roles of and in HNSC prognosis were investigated using the protein-protein interaction (PPI) network, Gene Ontology (GO) analysis, and the Kyoto Encyclopedia of Genes and Genomes (KEGG) analysis. The correlation between and expression or methylation and immune cell infiltration was evaluated using the tumor-immune system interaction database (TISIDB). MethSurv was used to identify DNA methylation and its effect on HNSC prognosis. genes expression was correlated with different cancers. and expression was lower in the patients with HNSC. In HNSC, expression was significantly related to the clinical stage, histologic grade, and N stage, while expression was only significantly related to the histologic grade. The high expression of was significantly related to the histologic grade, T stage, and N stage. Survival analysis revealed that genes had prognostic value in HNSC, which was supported by multivariate Cox analysis. PPI network and enrichment analysis showed that the genes interacting with and belonged predominantly to signaling pathways associated with DNA binding and transcription. Of the CpG DNA methylation sites in and , 28 and 22 were related to the prognosis of HNSC, respectively. Additionally, and expression and methylation was associated with tumor-infiltrating lymphocytes (TILs). The genes were differentially expressed in patients with HNSC, highlighting their essential role in DNA methylation and tumor-infiltrating immune cell regulation, as well as overall prognostic value in HNSC.

摘要

该基因家族由[具体基因名称1]、[具体基因名称2]和[具体基因名称3]组成,在器官发生过程中至关重要,并且在动物进化过程中保持保守。[基因名称]基因与多种癌症的进展和不良预后相关。然而,[基因名称]基因与头颈部鳞状细胞癌(HNSC)之间的关系尚未见报道。我们使用来自癌症基因组图谱(TCGA)的数据,分析[基因名称]mRNA表达与HNSC患者临床病理参数之间的关联。使用Kaplan-Meier绘图仪评估[基因名称]基因的预后价值。采用多变量Cox分析筛选出与预后相关的基因,以确定更好的预后指标。利用蛋白质-蛋白质相互作用(PPI)网络、基因本体(GO)分析和京都基因与基因组百科全书(KEGG)分析,研究[基因名称]和[基因名称]在HNSC预后中的潜在作用。使用肿瘤-免疫系统相互作用数据库(TISIDB)评估[基因名称]和[基因名称]表达或甲基化与免疫细胞浸润之间的相关性。使用MethSurv识别DNA甲基化及其对HNSC预后的影响。[基因名称]基因表达与不同癌症相关。HNSC患者中[基因名称]和[基因名称]表达较低。在HNSC中,[基因名称]表达与临床分期、组织学分级和N分期显著相关,而[基因名称]表达仅与组织学分级显著相关。[基因名称]高表达与组织学分级、T分期和N分期显著相关。生存分析显示,[基因名称]基因在HNSC中具有预后价值,多变量Cox分析也支持这一点。PPI网络和富集分析表明,与[基因名称]和[基因名称]相互作用的基因主要属于与DNA结合和转录相关的信号通路。在[基因名称]和[基因名称]的CpG DNA甲基化位点中,分别有28个和22个与HNSC的预后相关。此外,[基因名称]和[基因名称]表达及甲基化与肿瘤浸润淋巴细胞(TILs)相关。[基因名称]基因在HNSC患者中差异表达,突出了它们在DNA甲基化和肿瘤浸润免疫细胞调节中的重要作用,以及在HNSC中的总体预后价值。

https://cdn.ncbi.nlm.nih.gov/pmc/blobs/48c2/9530742/a7068f8210d9/fgene-13-982241-g001.jpg

文献AI研究员

20分钟写一篇综述,助力文献阅读效率提升50倍。

立即体验

用中文搜PubMed

大模型驱动的PubMed中文搜索引擎

马上搜索

文档翻译

学术文献翻译模型,支持多种主流文档格式。

立即体验