• 文献检索
  • 文档翻译
  • 深度研究
  • 学术资讯
  • Suppr Zotero 插件Zotero 插件
  • 邀请有礼
  • 套餐&价格
  • 历史记录
应用&插件
Suppr Zotero 插件Zotero 插件浏览器插件Mac 客户端Windows 客户端微信小程序
定价
高级版会员购买积分包购买API积分包
服务
文献检索文档翻译深度研究API 文档MCP 服务
关于我们
关于 Suppr公司介绍联系我们用户协议隐私条款
关注我们

Suppr 超能文献

核心技术专利:CN118964589B侵权必究
粤ICP备2023148730 号-1Suppr @ 2026

文献检索

告别复杂PubMed语法,用中文像聊天一样搜索,搜遍4000万医学文献。AI智能推荐,让科研检索更轻松。

立即免费搜索

文件翻译

保留排版,准确专业,支持PDF/Word/PPT等文件格式,支持 12+语言互译。

免费翻译文档

深度研究

AI帮你快速写综述,25分钟生成高质量综述,智能提取关键信息,辅助科研写作。

立即免费体验

基于 MEDLINE 的基因组学标准化趋势估计的网络分析。

Network analysis for estimating standardization trends in genomics using MEDLINE.

机构信息

Institute of Quantum Biophysics, Sungkyunkwan University, 16419, Seoul, Gyeonggi-do, Republic of Korea.

Department of Psychiatry, Research Institute for Medical Bigdata Science, Korea University Anam Hospital, Seoul, Republic of Korea.

出版信息

BMC Med Res Methodol. 2022 Oct 7;22(1):263. doi: 10.1186/s12874-022-01740-4.

DOI:10.1186/s12874-022-01740-4
PMID:36207671
原文链接:https://pmc.ncbi.nlm.nih.gov/articles/PMC9540045/
Abstract

BACKGROUND

Biotechnology in genomics, such as sequencing devices and gene quantification software, has proliferated and been applied to clinical settings. However, the lack of standards applicable to it poses practical problems in interoperability and reusability of the technology across various application domains. This study aims to visualize and identify the standard trends in clinical genomics and to suggest areas on which standardization efforts must focus.

METHODS

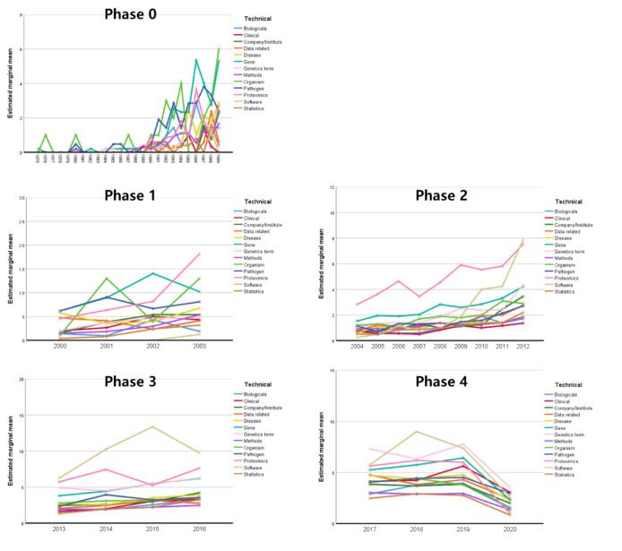
Of 16,538 articles retrieved from PubMed, published from 1975 to 2020, using search keywords "genomics and standard" and "clinical genomic sequence and standard", terms were extracted from the abstracts and titles of 15,855 articles. Our analysis includes (1) network analysis of full phases (2) period analysis with five phases; (3) statistical analysis; (4) content analysis.

RESULTS

Our research trend showed an increasing trend from 2003, years marked by the completion of the human genome project (2003). The content analysis showed that keywords related to such concepts as gene types for analysis, and analysis techniques were increased in phase 3 when US-FDA first approved the next-generation sequencer. During 2017-2019, oncology-relevant terms were clustered and contributed to the increasing trend in phase 4 of the content analysis. In the statistical analysis, all the categories showed high regression values (R > 0.586) throughout the whole analysis period and phase-based statistical analysis showed significance only in the Genetics terminology category (P = .039) at phase 4.

CONCLUSIONS

Through comprehensive trend analysis from our study, we provided the trend shifts and high-demand items in standardization for clinical genetics.

摘要

背景

生物技术在基因组学领域的应用日益普及,例如测序设备和基因定量软件,已经广泛应用于临床环境。然而,缺乏适用于该领域的标准,给技术在不同应用领域的互操作性和可重用性带来了实际问题。本研究旨在可视化和识别临床基因组学中的标准趋势,并提出标准化工作必须关注的领域。

方法

从 PubMed 中检索到 1975 年至 2020 年发表的 16538 篇文章,使用搜索关键词“基因组学和标准”和“临床基因组序列和标准”,从 15855 篇文章的摘要和标题中提取术语。我们的分析包括:(1)全阶段网络分析;(2)分五个阶段的阶段分析;(3)统计分析;(4)内容分析。

结果

我们的研究趋势显示,从 2003 年开始呈上升趋势,这一年标志着人类基因组计划的完成(2003 年)。内容分析表明,在第三阶段,当美国食品和药物管理局首次批准下一代测序仪时,与基因类型分析和分析技术相关的关键词有所增加。在 2017 年至 2019 年期间,与肿瘤学相关的术语聚类在一起,为内容分析第四阶段的趋势上升做出了贡献。在统计分析中,整个分析期间和基于阶段的统计分析中,所有类别都表现出较高的回归值(R>0.586),仅在第四阶段的遗传学术语类别中表现出统计学意义(P=0.039)。

结论

通过我们的研究进行全面的趋势分析,我们提供了临床遗传学标准化的趋势变化和高需求项目。

https://cdn.ncbi.nlm.nih.gov/pmc/blobs/696e/9541066/8fccdf6f3e8d/12874_2022_1740_Fig4_HTML.jpg
https://cdn.ncbi.nlm.nih.gov/pmc/blobs/696e/9541066/ce1f94b431ea/12874_2022_1740_Fig1_HTML.jpg
https://cdn.ncbi.nlm.nih.gov/pmc/blobs/696e/9541066/0c9fd52c1bc9/12874_2022_1740_Fig2_HTML.jpg
https://cdn.ncbi.nlm.nih.gov/pmc/blobs/696e/9541066/fce4ab0e8129/12874_2022_1740_Fig3_HTML.jpg
https://cdn.ncbi.nlm.nih.gov/pmc/blobs/696e/9541066/8fccdf6f3e8d/12874_2022_1740_Fig4_HTML.jpg
https://cdn.ncbi.nlm.nih.gov/pmc/blobs/696e/9541066/ce1f94b431ea/12874_2022_1740_Fig1_HTML.jpg
https://cdn.ncbi.nlm.nih.gov/pmc/blobs/696e/9541066/0c9fd52c1bc9/12874_2022_1740_Fig2_HTML.jpg
https://cdn.ncbi.nlm.nih.gov/pmc/blobs/696e/9541066/fce4ab0e8129/12874_2022_1740_Fig3_HTML.jpg
https://cdn.ncbi.nlm.nih.gov/pmc/blobs/696e/9541066/8fccdf6f3e8d/12874_2022_1740_Fig4_HTML.jpg

相似文献

1
Network analysis for estimating standardization trends in genomics using MEDLINE.基于 MEDLINE 的基因组学标准化趋势估计的网络分析。
BMC Med Res Methodol. 2022 Oct 7;22(1):263. doi: 10.1186/s12874-022-01740-4.
2
Beyond the black stump: rapid reviews of health research issues affecting regional, rural and remote Australia.超越黑木树:影响澳大利亚地区、农村和偏远地区的健康研究问题的快速综述。
Med J Aust. 2020 Dec;213 Suppl 11:S3-S32.e1. doi: 10.5694/mja2.50881.
3
Fast Healthcare Interoperability Resources (FHIR) for Interoperability in Health Research: Systematic Review.用于健康研究互操作性的快速医疗保健互操作性资源(FHIR):系统评价
JMIR Med Inform. 2022 Jul 19;10(7):e35724. doi: 10.2196/35724.
4
High-performance information search filters for CKD content in PubMed, Ovid MEDLINE, and EMBASE.高性能信息搜索筛选器,用于在 PubMed、Ovid MEDLINE 和 EMBASE 中搜索 CKD 相关内容。
Am J Kidney Dis. 2015 Jan;65(1):26-32. doi: 10.1053/j.ajkd.2014.06.010. Epub 2014 Jul 22.
5
Research trends in Korean medicine based on temporal and network analysis.基于时间和网络分析的韩国医学研究趋势。
BMC Complement Altern Med. 2019 Jul 5;19(1):160. doi: 10.1186/s12906-019-2562-0.
6
Information content in Medline record fields.医学在线数据库(Medline)记录字段中的信息内容。
Int J Med Inform. 2004 Jun 30;73(6):515-27. doi: 10.1016/j.ijmedinf.2004.02.008.
7
[Bibliometric and visual analysis of current status and trends of international research on keloids].[瘢痕疙瘩国际研究现状与趋势的文献计量学及可视化分析]
Zhonghua Shao Shang Za Zhi. 2021 Mar 20;37(3):263-270. doi: 10.3760/cma.j.cn501120-20200226-00093.
8
Preconception genome medicine: current state and future perspectives to improve infertility diagnosis and reproductive and health outcomes based on individual genomic data.孕前基因组医学:基于个体基因组数据改善不孕诊断及生殖健康结局的现状与未来展望。
Hum Reprod Update. 2021 Feb 19;27(2):254-279. doi: 10.1093/humupd/dmaa044.
9
Trends in Next-Generation Sequencing and a New Era for Whole Genome Sequencing.下一代测序技术的发展趋势与全基因组测序的新时代
Int Neurourol J. 2016 Nov;20(Suppl 2):S76-83. doi: 10.5213/inj.1632742.371. Epub 2016 Nov 22.
10
Translating cancer genomes sequencing revolution into surgical oncology practice.将癌症基因组测序革命转化为外科肿瘤学实践。
J Surg Res. 2012 Apr;173(2):365-9. doi: 10.1016/j.jss.2010.10.038. Epub 2010 Nov 25.

本文引用的文献

1
Emergence and evolution of big data science in HIV research: Bibliometric analysis of federally sponsored studies 2000-2019.大数据科学在 HIV 研究中的出现和发展:2000-2019 年联邦资助研究的文献计量分析。
Int J Med Inform. 2021 Oct;154:104558. doi: 10.1016/j.ijmedinf.2021.104558. Epub 2021 Aug 18.
2
Out of date: genetics, history and the British novel of the 1990s.过时:遗传学、历史与20世纪90年代的英国小说
Med Humanit. 2021 May 10;47(2):201-9. doi: 10.1136/medhum-2020-012022.
3
Specifications of the ACMG/AMP standards and guidelines for mitochondrial DNA variant interpretation.
ACMG/AMP 标准和线粒体 DNA 变异解读指南的规范。
Hum Mutat. 2020 Dec;41(12):2028-2057. doi: 10.1002/humu.24107. Epub 2020 Nov 10.
4
Flexible age-period-cohort modelling illustrated using obesity prevalence data.采用肥胖患病率数据说明灵活的年龄-时期-队列模型。
BMC Med Res Methodol. 2020 Jan 28;20(1):16. doi: 10.1186/s12874-020-0904-8.
5
Visualizing the intellectual structure and evolution of electronic health and telemedicine research.可视化电子健康和远程医疗研究的知识结构和演变。
Int J Med Inform. 2019 Oct;130:103947. doi: 10.1016/j.ijmedinf.2019.08.007. Epub 2019 Aug 13.
6
Global Trend of Breast Cancer Mortality Rate: A 25-Year Study.全球乳腺癌死亡率趋势:一项为期25年的研究。
Asian Pac J Cancer Prev. 2019 Jul 1;20(7):2015-2020. doi: 10.31557/APJCP.2019.20.7.2015.
7
Whole genome sequencing of Mycobacterium tuberculosis: current standards and open issues.结核分枝杆菌全基因组测序:当前标准和存在的问题。
Nat Rev Microbiol. 2019 Sep;17(9):533-545. doi: 10.1038/s41579-019-0214-5.
8
Research topics and trends in medical education by social network analysis.基于社会网络分析的医学教育研究主题和趋势。
BMC Med Educ. 2018 Sep 24;18(1):222. doi: 10.1186/s12909-018-1323-y.
9
Research Trend Visualization by MeSH Terms from PubMed.基于 PubMed 的 MeSH 术语的研究趋势可视化。
Int J Environ Res Public Health. 2018 May 30;15(6):1113. doi: 10.3390/ijerph15061113.
10
Exploring Research Topics and Trends in Nursing-related Communication in Intensive Care Units Using Social Network Analysis.运用社会网络分析探索重症监护病房护理相关沟通中的研究主题与趋势
Comput Inform Nurs. 2018 Aug;36(8):383-392. doi: 10.1097/CIN.0000000000000444.