Department of Psychology, University of California Berkeley, Berkeley, California, USA.
Dement Geriatr Cogn Disord. 2022;51(4):331-339. doi: 10.1159/000525958. Epub 2022 Oct 10.
The current study examined whether visual attention to emotional facial expressions is lower in individuals with frontotemporal dementia (FTD) compared to healthy controls, and whether visual attention to emotional facial expressions is associated with the ability to perceive others' emotional valence accurately.
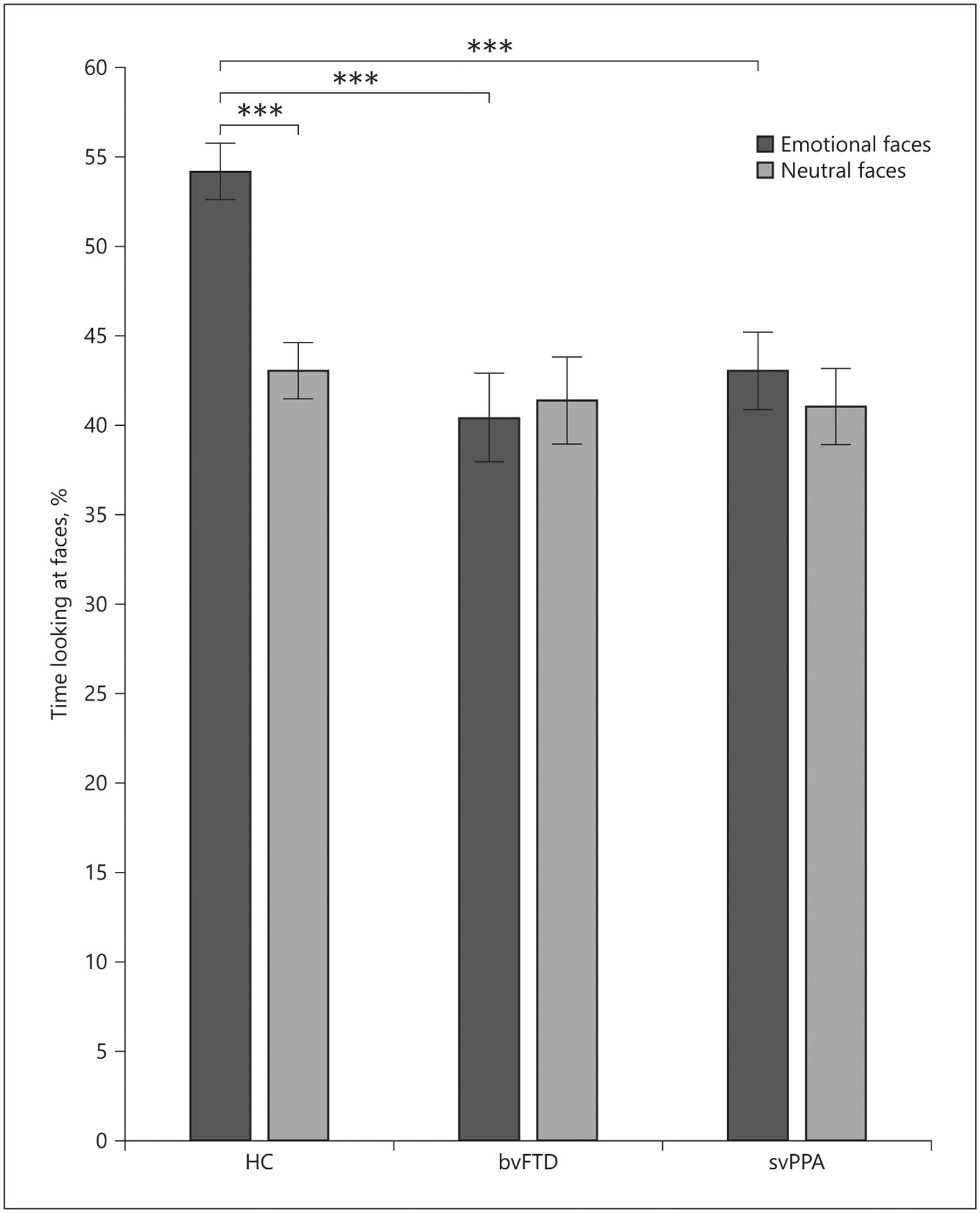
Participants with FTD (n = 17) and healthy controls (n = 23) passively viewed pairs of emotional and neutral faces while their visual attention was measured using eye-tracking. A subsample of participants (n = 28) also completed an emotional valence perception task.
Individuals with FTD spent less time looking at emotional faces than healthy controls. However, there was no difference in the amount of time individuals with FTD spent looking at neutral faces as compared to healthy controls. In the subsample, less time spent looking at emotional faces (but not neutral faces) was associated with a less accurate perception of others' emotional valence.
Individuals with FTD displayed diminished visual attention to emotional facial expressions compared to healthy controls. Reduced attention towards emotional faces was associated with poorer emotional valence perception. Findings point toward diminished visual attention as potentially relevant for understanding oft-observed impairments in socioemotional functioning in FTD.
本研究旨在探讨与健康对照组相比,额颞叶痴呆(FTD)患者对情绪面部表情的视觉注意力是否较低,以及对情绪面部表情的视觉注意力是否与准确感知他人情绪效价的能力相关。
参与者包括 17 名 FTD 患者和 23 名健康对照者,他们被动地观看情绪和中性面孔的配对,同时使用眼动追踪技术测量他们的视觉注意力。部分参与者(n=28)还完成了情绪效价感知任务。
与健康对照组相比,FTD 患者观看情绪面孔的时间更少。然而,与健康对照组相比,FTD 患者观看中性面孔的时间并没有差异。在子样本中,观看情绪面孔的时间减少(而非中性面孔)与他人情绪效价感知的准确性降低相关。
与健康对照组相比,FTD 患者对情绪面部表情的视觉注意力下降。对情绪面孔的注意力减少与情绪效价感知能力较差有关。这些发现表明,视觉注意力的减弱可能与 FTD 中常见的社会情感功能障碍有关。