Suppr超能文献

系统性种族主义和恐同对东伦敦性工作者执法以及性和情感暴力的影响:一项队列研究的结果。

The Effect of Systemic Racism and Homophobia on Police Enforcement and Sexual and Emotional Violence among Sex Workers in East London: Findings from a Cohort Study.

机构信息

Faculty of Public Health and Policy, London School of Hygiene and Tropical Medicine, London, UK.

National Ugly Mugs, Manchester, UK.

出版信息

J Urban Health. 2022 Dec;99(6):1127-1140. doi: 10.1007/s11524-022-00673-z. Epub 2022 Oct 12.

Abstract

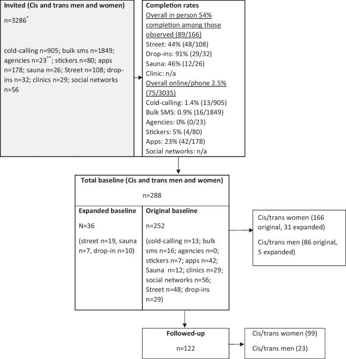
There is extensive qualitative evidence of violence and enforcement impacting sex workers who are ethnically or racially minoritized, and gender or sexual minority sex workers, but there is little quantitative evidence. Baseline and follow-up data were collected among 288 sex workers of diverse genders (cis/transgender women and men and non-binary people) in London (2018-2019). Interviewer-administered and self-completed questionnaires included reports of rape, emotional violence, and (un)lawful police encounters. We used generalized estimating equation models (Stata vs 16.1) to measure associations between (i) ethnic/racial identity (Black, Asian, mixed or multiple vs White) and recent (6 months) or past police enforcement and (ii) ethnic/racial and sexual identity (lesbian, gay or bisexual (LGB) vs. heterosexual) with recent rape and emotional violence (there was insufficient data to examine  the association with transgender/non-binary identities). Ethnically/racially minoritized sex workers (26.4%) reported more police encounters partly due to increased representation in street settings (51.4% vs 30.7% off-street, p = 0.002). After accounting for street setting, ethnically/racially minoritized sex workers had higher odds of recent arrest (adjusted odds ratio 2.8, 95% CI 1.3-5.8), past imprisonment (aOR 2.3, 95% CI 1.1-5.0), police extortion (aOR 3.3, 95% CI 1.4-7.8), and rape (aOR 3.6, 95% CI 1.1-11.5). LGB-identifying sex workers (55.4%) were more vulnerable to rape (aOR 2.4, 95% CI 1.1-5.2) and emotional violence. Sex workers identifying as ethnically/racially minoritized (aOR 2.1, 95% CI 1.0-4.5), LGB (aOR 2.0, 95% CI 1.0-4.0), or who use drugs (aOR 2.0, 95% CI 1.1-3.8) were more likely to have experienced emotional violence than white-identifying, heterosexual or those who did not use drugs. Experience of any recent police enforcement was associated with increased odds of rape (aOR 3.6, 95% CI 1.3-8.4) and emotional violence (aOR 4.9, 95% CI 1.8-13.0). Findings show how police enforcement disproportionately targets ethnically/racially minoritized sex workers and contributes to increased risk of rape and emotional violence, which is elevated among sexual and ethnically/racially minoritized workers.

摘要

有大量定性证据表明,种族或民族少数群体以及性别或性少数群体的性工作者受到暴力和执法的影响,但定量证据很少。在伦敦(2018-2019 年),对 288 名不同性别的性工作者(跨性别女性和男性以及非二元性别人士)进行了基线和随访数据收集。访谈者管理和自我完成的问卷包括强奸、情感暴力和(非法)警察遭遇的报告。我们使用广义估计方程模型(Stata 与 16.1)来衡量(i)种族/民族身份(黑人、亚洲人、混合或多种族与白人)与最近(6 个月)或过去的警察执法之间的关联,以及(ii)种族/民族和性身份(女同性恋、男同性恋或双性恋(LGB)与异性恋)与最近的强奸和情感暴力之间的关联(数据不足以检查与跨性别/非二元身份的关联)。少数族裔/种族的性工作者(26.4%)报告说遭遇了更多的警察接触,部分原因是他们在街头环境中的代表性增加(51.4%比非街头环境中的 30.7%,p=0.002)。在考虑到街头环境之后,少数族裔/种族的性工作者最近被捕的可能性更高(调整后的优势比 2.8,95%置信区间 1.3-5.8),过去被监禁的可能性更高(aOR 2.3,95%置信区间 1.1-5.0),警察敲诈勒索的可能性更高(aOR 3.3,95%置信区间 1.4-7.8),以及强奸的可能性更高(aOR 3.6,95%置信区间 1.1-11.5)。LGB 身份的性工作者(55.4%)更容易遭受强奸(aOR 2.4,95%置信区间 1.1-5.2)和情感暴力。少数族裔/种族身份(aOR 2.1,95%置信区间 1.0-4.5)、LGB(aOR 2.0,95%置信区间 1.0-4.0)或使用毒品的性工作者(aOR 2.0,95%置信区间 1.1-3.8)比白人、异性恋或不使用毒品的性工作者更有可能经历情感暴力。最近任何警察执法的经历都与强奸(aOR 3.6,95%置信区间 1.3-8.4)和情感暴力(aOR 4.9,95%置信区间 1.8-13.0)的可能性增加有关。研究结果表明,警察执法如何不成比例地针对少数族裔/种族的性工作者,并导致强奸和情感暴力风险增加,而这种风险在性少数群体和少数族裔/种族的性工作者中更高。

https://cdn.ncbi.nlm.nih.gov/pmc/blobs/bd49/9727011/acf9611a8232/11524_2022_673_Fig1_HTML.jpg

文献AI研究员

20分钟写一篇综述,助力文献阅读效率提升50倍。

立即体验

用中文搜PubMed

大模型驱动的PubMed中文搜索引擎

马上搜索

文档翻译

学术文献翻译模型,支持多种主流文档格式。

立即体验