Department of Rehabilitation and Physical Medicine, Graduate School of Medical and Dental Sciences, Kagoshima University, 8-35-1, Sakuragaoka, Kagoshima City, Kagoshima, 890-8520, Japan.
Department of Rehabilitation, Faculty of Health Science, Nihon Fukushi University, Aichi, Japan.
J Neuroeng Rehabil. 2022 Oct 13;19(1):110. doi: 10.1186/s12984-022-01087-3.
Spasticity is evaluated by measuring the increased resistance to passive movement, primarily by manual methods. Few options are available to measure spasticity in the wrist more objectively. Furthermore, no studies have investigated the force attenuation following increased resistance. The aim of this study was to conduct a safe quantitative evaluation of wrist passive extension stiffness in stroke survivors with mild to moderate spastic paresis using a custom motor-controlled device. Furthermore, we wanted to clarify whether the changes in the measured values could quantitatively reflect the spastic state of the flexor muscles involved in the wrist stiffness of the patients.
Resistance forces were measured in 17 patients during repetitive passive extension of the wrist at velocities of 30, 60, and 90 deg/s. The Modified Ashworth Scale (MAS) in the wrist and finger flexors was also assessed by two skilled therapists and their scores were averaged (i.e., average MAS) for analysis. Of the fluctuation of resistance, we focused on the damping just after the peak forces and used these for our analysis. A repeated measures analysis of variance was conducted to assess velocity-dependence. Correlations between MAS and damping parameters were analyzed using Spearman's rank correlation.
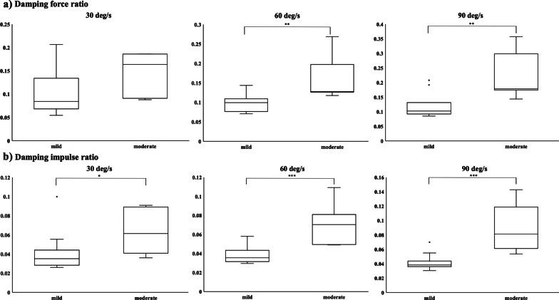
The damping force and normalized value calculated from damping part showed significant velocity-dependent increases. There were significant correlations (ρ = 0.53-0.56) between average MAS for wrist and the normalized value of the damping part at 90 deg/s. The correlations became stronger at 60 deg/s and 90 deg/s when the MAS for finger flexors was added to that for wrist flexors (ρ = 0.65-0.68).
This custom-made isokinetic device could quantitatively evaluate spastic changes in the wrist and finger flexors simultaneously by focusing on the damping part, which may reflect the decrease in resistance we perceive when manually assessing wrist spasticity using MAS. Trial registration UMIN Clinical Trial Registry, as UMIN000030672, on July 4, 2018.
痉挛通过测量被动运动时阻力的增加来评估,主要通过手动方法。很少有选择可以更客观地测量手腕的痉挛程度。此外,尚无研究调查阻力增加后的力衰减情况。本研究旨在使用定制的电机控制设备对轻度至中度痉挛性弛缓的中风幸存者进行手腕被动伸展僵硬的安全定量评估。此外,我们还想澄清所测量值的变化是否可以定量反映参与患者手腕僵硬的屈肌的痉挛状态。
在 17 名患者中,在 30、60 和 90°/s 的速度下,测量了手腕反复被动伸展时的阻力。由两名熟练的治疗师评估手腕和手指屈肌的改良 Ashworth 量表(MAS),并对其评分进行平均(即平均 MAS)进行分析。在阻力的波动中,我们重点关注峰值力之后的阻尼,并将其用于分析。使用重复测量方差分析评估速度依赖性。使用 Spearman 等级相关分析分析 MAS 和阻尼参数之间的相关性。
阻尼力和阻尼部分计算的归一化值显示出显著的速度依赖性增加。手腕平均 MAS 与 90°/s 时阻尼部分的归一化值之间存在显著相关性(ρ=0.53-0.56)。当将手指屈肌的 MAS 添加到手腕屈肌的 MAS 时,在 60°/s 和 90°/s 时相关性更强(ρ=0.65-0.68)。
该定制等速设备可以通过重点关注阻尼部分同时定量评估手腕和手指屈肌的痉挛变化,这可能反映了使用 MAS 手动评估手腕痉挛时阻力的减小。试验注册 UMIN 临床试验注册,作为 UMIN000030672,于 2018 年 7 月 4 日。