School of Economics and Management, Qilu Normal University, Jinan 250200, China.
School of Accountancy, Shandong Youth University of Political Science, Jinan 250103, China.
Int J Environ Res Public Health. 2022 Oct 1;19(19):12539. doi: 10.3390/ijerph191912539.
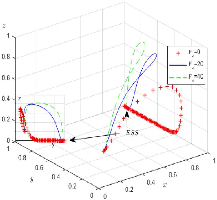
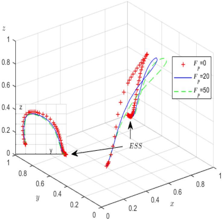
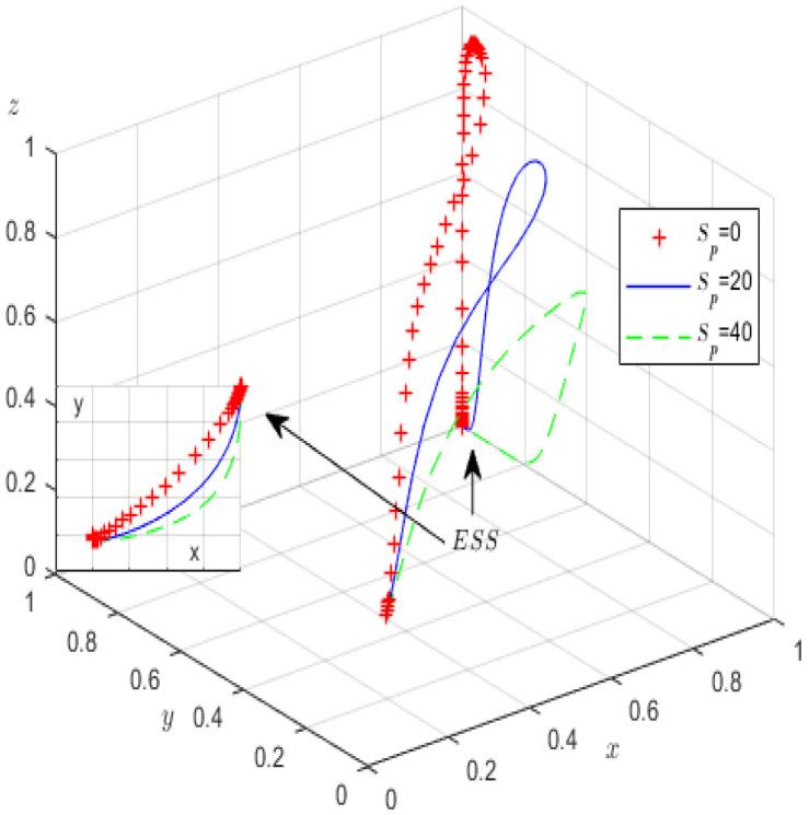
This study analyses the relationship between greenwashing behaviour, a lack of government supervision, and imperfect green certification mechanisms in China. To improve green governance and greenwashing governance in light of rent-seeking behaviour between high-pollution enterprises and third-party green certification institutions (GCIs), we construct a tripartite game model for the green governance system using an evolutionary game and analyse the interaction and evolutionary trajectory between the three parties. Our results indicate that increasing local government incentives and penalties not only facilitate strengthened green governance by high-pollution enterprises that do not greenwash but also help third-party GCIs to decline to engage in rent-seeking. However, increased incentives lead to relaxed governmental supervision. In addition, the government's incentives and penalties only meet conditions that each agent's total incentives and penalties exceed its speculative gain, and green governance systems can be effectively prevented from resulting in unsatisfactory and unstable strategies. Moreover, the accountability that higher levels of government have to local governments effectively enables high-pollution enterprises' refusal to greenwash and third-party GCIs' refusal to engage in rent-seeking. Our results counsel further research on environmental regulation, green governance, and enterprises' greenwashing, with theoretical and practical applications for both policymakers and enterprises.
本研究分析了中国的绿色洗行为、政府监管缺失和不完善的绿色认证机制之间的关系。为了改善绿色治理和绿色洗治理,针对高污染企业和第三方绿色认证机构(GCIs)之间的寻租行为,我们使用演化博弈构建了绿色治理系统的三方博弈模型,并分析了三方之间的相互作用和演化轨迹。研究结果表明,增加地方政府的激励和惩罚不仅有利于加强不进行绿色洗的高污染企业的绿色治理,还有助于第三方 GCIs 减少寻租行为。然而,激励的增加导致政府监管的放松。此外,政府的激励和惩罚只有在每个主体的总激励和惩罚超过其投机收益的条件下才满足,并且可以有效地防止绿色治理系统导致不满意和不稳定的策略。此外,上级政府对地方政府的问责制有效地使高污染企业拒绝进行绿色洗,第三方 GCIs 拒绝寻租。我们的研究结果为环境监管、绿色治理和企业的绿色洗行为提供了进一步的研究,对政策制定者和企业具有理论和实际应用价值。