• 文献检索
  • 文档翻译
  • 深度研究
  • 学术资讯
  • Suppr Zotero 插件Zotero 插件
  • 邀请有礼
  • 套餐&价格
  • 历史记录
应用&插件
Suppr Zotero 插件Zotero 插件浏览器插件Mac 客户端Windows 客户端微信小程序
定价
高级版会员购买积分包购买API积分包
服务
文献检索文档翻译深度研究API 文档MCP 服务
关于我们
关于 Suppr公司介绍联系我们用户协议隐私条款
关注我们

Suppr 超能文献

核心技术专利:CN118964589B侵权必究
粤ICP备2023148730 号-1Suppr @ 2026

文献检索

告别复杂PubMed语法,用中文像聊天一样搜索,搜遍4000万医学文献。AI智能推荐,让科研检索更轻松。

立即免费搜索

文件翻译

保留排版,准确专业,支持PDF/Word/PPT等文件格式,支持 12+语言互译。

免费翻译文档

深度研究

AI帮你快速写综述,25分钟生成高质量综述,智能提取关键信息,辅助科研写作。

立即免费体验

小分子热休克蛋白与 FAIM 合作防止错误折叠的蛋白质聚集体的积累。

Small Heat Shock Proteins Collaborate with FAIM to Prevent Accumulation of Misfolded Protein Aggregates.

机构信息

Department of Investigative Medicine, Western Michigan University Homer Stryker M.D. School of Medicine, Kalamazoo, MI 49007, USA.

出版信息

Int J Mol Sci. 2022 Oct 6;23(19):11841. doi: 10.3390/ijms231911841.

DOI:10.3390/ijms231911841
PMID:36233145
原文链接:https://pmc.ncbi.nlm.nih.gov/articles/PMC9570119/
Abstract

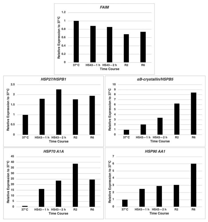
Cells and tissues are continuously subject to environmental insults, such as heat shock and oxidative stress, which cause the accumulation of cytotoxic, aggregated proteins. We previously found that Fas Apoptosis Inhibitory Molecule (FAIM) protects cells from stress-induced cell death by preventing abnormal generation of protein aggregates similar to the effect of small heat shock proteins (HSPs). Protein aggregates are often associated with neurodegenerative diseases, including Alzheimer's disease (AD). In this study, we sought to determine how FAIM protein dynamics change during cellular stress and how FAIM prevents the formation of amyloid-β aggregates/fibrils, one of the pathological hallmarks of AD. Here, we found that the majority of FAIM protein shifts to the detergent-insoluble fraction in response to cellular stress. A similar shift to the insoluble fraction was also observed in small heat shock protein (sHSP) family molecules, such as HSP27, after stress. We further demonstrate that FAIM is recruited to sHSP-containing complexes after cellular stress induction. These data suggest that FAIM might prevent protein aggregation in concert with sHSPs. In fact, we observed the additional effect of FAIM and HSP27 on the prevention of protein aggregates using an in vitro amyloid-β aggregation model system. Our work provides new insights into the interrelationships among FAIM, sHSPs, and amyloid-β aggregation.

摘要

细胞和组织不断受到环境损伤的影响,如热休克和氧化应激,这些损伤会导致细胞毒性、聚集的蛋白质积累。我们之前发现 Fas 凋亡抑制分子 (FAIM) 通过防止类似于小热休克蛋白 (HSPs) 的异常蛋白聚集的产生,从而保护细胞免受应激诱导的细胞死亡。蛋白质聚集通常与神经退行性疾病有关,包括阿尔茨海默病 (AD)。在这项研究中,我们试图确定 FAIM 蛋白在细胞应激过程中的动态变化以及 FAIM 如何防止淀粉样-β 聚集物/纤维的形成,淀粉样-β 聚集物/纤维是 AD 的病理标志之一。在这里,我们发现大多数 FAIM 蛋白在受到细胞应激时转移到去污剂不溶性部分。在应激后,小热休克蛋白 (sHSP) 家族分子(如 HSP27)也观察到类似的向不溶性部分的转移。我们进一步证明,FAIM 在细胞应激诱导后被招募到含有 sHSP 的复合物中。这些数据表明 FAIM 可能与 sHSP 一起防止蛋白质聚集。事实上,我们在体外淀粉样-β 聚集模型系统中观察到 FAIM 和 HSP27 对预防蛋白质聚集的额外作用。我们的工作为 FAIM、sHSP 和淀粉样-β 聚集之间的相互关系提供了新的见解。

https://cdn.ncbi.nlm.nih.gov/pmc/blobs/2b9a/9570119/d15dfe777472/ijms-23-11841-g005.jpg
https://cdn.ncbi.nlm.nih.gov/pmc/blobs/2b9a/9570119/e14b2c20cf45/ijms-23-11841-g001.jpg
https://cdn.ncbi.nlm.nih.gov/pmc/blobs/2b9a/9570119/cfe646654d44/ijms-23-11841-g002.jpg
https://cdn.ncbi.nlm.nih.gov/pmc/blobs/2b9a/9570119/e808b2088669/ijms-23-11841-g003.jpg
https://cdn.ncbi.nlm.nih.gov/pmc/blobs/2b9a/9570119/5db478e81c5d/ijms-23-11841-g004.jpg
https://cdn.ncbi.nlm.nih.gov/pmc/blobs/2b9a/9570119/d15dfe777472/ijms-23-11841-g005.jpg
https://cdn.ncbi.nlm.nih.gov/pmc/blobs/2b9a/9570119/e14b2c20cf45/ijms-23-11841-g001.jpg
https://cdn.ncbi.nlm.nih.gov/pmc/blobs/2b9a/9570119/cfe646654d44/ijms-23-11841-g002.jpg
https://cdn.ncbi.nlm.nih.gov/pmc/blobs/2b9a/9570119/e808b2088669/ijms-23-11841-g003.jpg
https://cdn.ncbi.nlm.nih.gov/pmc/blobs/2b9a/9570119/5db478e81c5d/ijms-23-11841-g004.jpg
https://cdn.ncbi.nlm.nih.gov/pmc/blobs/2b9a/9570119/d15dfe777472/ijms-23-11841-g005.jpg

相似文献

1
Small Heat Shock Proteins Collaborate with FAIM to Prevent Accumulation of Misfolded Protein Aggregates.小分子热休克蛋白与 FAIM 合作防止错误折叠的蛋白质聚集体的积累。
Int J Mol Sci. 2022 Oct 6;23(19):11841. doi: 10.3390/ijms231911841.
2
The small heat shock proteins αB-crystallin (HSPB5) and Hsp27 (HSPB1) inhibit the intracellular aggregation of α-synuclein.小分子热休克蛋白αB晶状体蛋白(HSPB5)和Hsp27(HSPB1)可抑制α-突触核蛋白在细胞内的聚集。
Cell Stress Chaperones. 2017 Jul;22(4):589-600. doi: 10.1007/s12192-017-0785-x. Epub 2017 Mar 23.
3
Fas Apoptosis Inhibitory Molecule Blocks and Dissolves Pathological Amyloid-β Species.Fas凋亡抑制分子可阻断并溶解病理性淀粉样β蛋白聚集体。
Front Mol Neurosci. 2021 Dec 14;14:750578. doi: 10.3389/fnmol.2021.750578. eCollection 2021.
4
The small heat shock protein Hsp27 binds α-synuclein fibrils, preventing elongation and cytotoxicity.小分子热休克蛋白 Hsp27 与α-突触核蛋白纤维结合,阻止其延伸并减少细胞毒性。
J Biol Chem. 2018 Mar 23;293(12):4486-4497. doi: 10.1074/jbc.M117.813865. Epub 2018 Jan 30.
5
Formation of non-toxic Aβ fibrils by small heat shock protein under heat-stress conditions.在热应激条件下,小分子热休克蛋白形成无毒的 Aβ 纤维。
Biochem Biophys Res Commun. 2013 Jan 25;430(4):1259-64. doi: 10.1016/j.bbrc.2012.12.059. Epub 2012 Dec 19.
6
FAIM Is a Non-redundant Defender of Cellular Viability in the Face of Heat and Oxidative Stress and Interferes With Accumulation of Stress-Induced Protein Aggregates.FAIM是细胞在面对热应激和氧化应激时细胞活力的非冗余保护者,并干扰应激诱导的蛋白质聚集体的积累。
Front Mol Biosci. 2020 Feb 27;7:32. doi: 10.3389/fmolb.2020.00032. eCollection 2020.
7
Small Heat-shock Proteins Prevent α-Synuclein Aggregation via Transient Interactions and Their Efficacy Is Affected by the Rate of Aggregation.小分子热休克蛋白通过瞬时相互作用防止α-突触核蛋白聚集,其功效受聚集速率影响。
J Biol Chem. 2016 Oct 21;291(43):22618-22629. doi: 10.1074/jbc.M116.739250. Epub 2016 Sep 1.
8
Small heat shock protein HspB8: its distribution in Alzheimer's disease brains and its inhibition of amyloid-beta protein aggregation and cerebrovascular amyloid-beta toxicity.小热休克蛋白HspB8:其在阿尔茨海默病大脑中的分布及其对β-淀粉样蛋白聚集和脑血管β-淀粉样蛋白毒性的抑制作用。
Acta Neuropathol. 2006 Feb;111(2):139-49. doi: 10.1007/s00401-005-0030-z. Epub 2006 Feb 17.
9
[Small heat shock proteins--role in apoptosis, cancerogenesis and diseases associated with protein aggregation].[小分子热休克蛋白——在细胞凋亡、肿瘤发生及与蛋白质聚集相关疾病中的作用]
Postepy Biochem. 2007;53(1):19-26.
10
The small heat shock proteins, especially HspB4 and HspB5 are promising protectants in neurodegenerative diseases.小分子热休克蛋白,特别是 HspB4 和 HspB5,是神经退行性疾病中很有前途的保护剂。
Neurochem Int. 2018 May;115:69-79. doi: 10.1016/j.neuint.2018.02.006. Epub 2018 Feb 7.

引用本文的文献

1
A novel approach to Parkinson's disease treatment with a potentially dual-acting therapeutic agent that targets α-synuclein aggregation and neuron death.一种治疗帕金森病的新方法,使用一种具有潜在双重作用的治疗剂,该治疗剂靶向α-突触核蛋白聚集和神经元死亡。
Neural Regen Res. 2024 Dec 1;19(12):2577-2578. doi: 10.4103/NRR.NRR-D-23-01934. Epub 2024 Mar 1.
2
Newfound physiological function of FAIM protein offers hope of novel disease-modifying therapy for Alzheimer's disease.FAIM蛋白新发现的生理功能为阿尔茨海默病提供了新型疾病改善疗法的希望。
Neural Regen Res. 2023 Dec;18(12):2677-2679. doi: 10.4103/1673-5374.374003.
3
Mechanistic insights into heat shock protein 27, a potential therapeutic target for cardiovascular diseases.

本文引用的文献

1
Fas Apoptosis Inhibitory Molecule Blocks and Dissolves Pathological Amyloid-β Species.Fas凋亡抑制分子可阻断并溶解病理性淀粉样β蛋白聚集体。
Front Mol Neurosci. 2021 Dec 14;14:750578. doi: 10.3389/fnmol.2021.750578. eCollection 2021.
2
FAIM Is a Non-redundant Defender of Cellular Viability in the Face of Heat and Oxidative Stress and Interferes With Accumulation of Stress-Induced Protein Aggregates.FAIM是细胞在面对热应激和氧化应激时细胞活力的非冗余保护者,并干扰应激诱导的蛋白质聚集体的积累。
Front Mol Biosci. 2020 Feb 27;7:32. doi: 10.3389/fmolb.2020.00032. eCollection 2020.
3
FAIM Opposes Aggregation of Mutant SOD1 That Typifies Some Forms of Familial Amyotrophic Lateral Sclerosis.
对热休克蛋白27的机制性见解,心血管疾病的一个潜在治疗靶点。
Front Cardiovasc Med. 2023 May 12;10:1195464. doi: 10.3389/fcvm.2023.1195464. eCollection 2023.
FAIM 反对典型的某些家族性肌萎缩侧索硬化症形式的突变型超氧化物歧化酶 1 的聚集。
Front Neurosci. 2020 Feb 21;14:110. doi: 10.3389/fnins.2020.00110. eCollection 2020.
4
The growing world of small heat shock proteins: from structure to functions.小热休克蛋白的发展历程:从结构到功能
Cell Stress Chaperones. 2017 Jul;22(4):601-611. doi: 10.1007/s12192-017-0787-8. Epub 2017 Mar 31.
5
Role of sHsps in organizing cytosolic protein aggregation and disaggregation.小分子热休克蛋白在组织胞质蛋白聚集和解聚中的作用。
Cell Stress Chaperones. 2017 Jul;22(4):493-502. doi: 10.1007/s12192-017-0762-4. Epub 2017 Jan 24.
6
The Chaperone Activity and Substrate Spectrum of Human Small Heat Shock Proteins.人类小分子热休克蛋白的伴侣活性与底物谱
J Biol Chem. 2017 Jan 13;292(2):672-684. doi: 10.1074/jbc.M116.760413. Epub 2016 Nov 30.
7
Unfolding the Role of Large Heat Shock Proteins: New Insights and Therapeutic Implications.解析大型热休克蛋白的作用:新见解与治疗意义
Front Immunol. 2016 Mar 1;7:75. doi: 10.3389/fimmu.2016.00075. eCollection 2016.
8
Synemin: Molecular Features and the Use of Proximity Ligation Assay to Study Its Interactions.丝联蛋白:分子特征及运用邻近连接分析法研究其相互作用
Methods Enzymol. 2016;568:537-55. doi: 10.1016/bs.mie.2015.08.005. Epub 2015 Nov 26.
9
Gene dosage imbalances: action, reaction, and models.基因剂量失衡:作用、反应和模型。
Trends Biochem Sci. 2015 Jun;40(6):309-17. doi: 10.1016/j.tibs.2015.03.011. Epub 2015 Apr 27.
10
Phosphomimics destabilize Hsp27 oligomeric assemblies and enhance chaperone activity.磷酸模拟物会破坏Hsp27寡聚体组装并增强伴侣活性。
Chem Biol. 2015 Feb 19;22(2):186-95. doi: 10.1016/j.chembiol.2015.01.001.