Suppr超能文献

心房颤动合并冠状动脉疾病患者临床结局的性别差异:MISOAC-AF随机对照试验的一项子研究

Sex-Related Differences in Clinical Outcomes in Patients with Atrial Fibrillation and Coronary Artery Disease: A Sub-Study of the MISOAC-AF Randomized Controlled Trial.

作者信息

Bekiaridou Alexandra, Samaras Athanasios, Kartas Anastasios, Papazoglou Andreas S, Moysidis Dimitrios V, Patsiou Vasiliki, Zafeiropoulos Stefanos, Ziakas Antonios, Giannakoulas George, Tzikas Apostolos

机构信息

First Department of Cardiology, School of Medicine, Faculty of Health Sciences, AHEPA University Hospital, Aristotle University of Thessaloniki, 54636 Thessaloniki, Greece.

Institute of Bioelectronic Medicine, Feinstein Institutes for Medical Research, Manhasset, NY 11030, USA.

出版信息

J Clin Med. 2022 Oct 1;11(19):5843. doi: 10.3390/jcm11195843.

Abstract

BACKGROUND

There is limited "real-world" data on the prognostic role of gender in comorbid atrial fibrillation (AF) and coronary artery disease (CAD).

METHODS

In this post-hoc analysis of the MISOAC-AF randomized trial (NCT: 02941978), consecutive patients with AF and CAD who were discharged from the cardiology ward between 2015 and 2018 were included. Multivariable Cox-regression analysis was performed for all-cause mortality and cardiovascular (CV) mortality. Competing-risk analysis was performed for the outcomes of stroke or systemic embolism, major bleeding, AF- or heart failure (HF)-related hospitalization, adjusted for the competing risk of all-cause death.

RESULTS

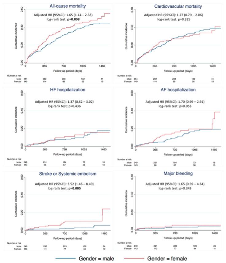
Of 1098 patients with AF, 461 patients with comorbid CAD were analyzed. Women were older and more likely to have a history of diabetes mellitus and valvular heart disease, while men were more likely to have a history of smoking or myocardial infarction. Over a median follow-up of 31 months, 143 (43.4%) men and 71 (53.7%) women died. Women were at a higher risk for all-cause mortality (adjusted hazard ration [aHR] 1.65; 95% confidence interval [CI] 1.14-2.38) and stroke or systemic embolism (aHR 3.52; 95% CI 1.46-8.49) compared to men. The risks of CV mortality, major bleeding, AF-related hospitalization, and HF-related hospitalization were similar between genders.

CONCLUSIONS

In recently hospitalized patients with AF and comorbid CAD, the female gender was independently associated with increased all-cause mortality and thromboembolic events.

摘要

背景

关于性别在合并心房颤动(AF)和冠状动脉疾病(CAD)中的预后作用,“真实世界”的数据有限。

方法

在这项对MISOAC-AF随机试验(NCT:02941978)的事后分析中,纳入了2015年至2018年间从心内科病房出院的连续AF和CAD患者。对全因死亡率和心血管(CV)死亡率进行多变量Cox回归分析。对中风或全身性栓塞、大出血、AF或心力衰竭(HF)相关住院的结局进行竞争风险分析,并根据全因死亡的竞争风险进行调整。

结果

在1098例AF患者中,分析了461例合并CAD的患者。女性年龄较大,更有可能有糖尿病和心脏瓣膜病病史,而男性更有可能有吸烟或心肌梗死病史。在中位随访31个月期间,143例(43.4%)男性和71例(53.7%)女性死亡。与男性相比,女性全因死亡率(调整后风险比[aHR]1.65;95%置信区间[CI]1.14-2.38)和中风或全身性栓塞风险更高(aHR 3.52;95%CI 1.46-8.49)。CV死亡率、大出血、AF相关住院和HF相关住院风险在性别之间相似。

结论

在近期住院的AF合并CAD患者中,女性性别与全因死亡率和血栓栓塞事件增加独立相关。

https://cdn.ncbi.nlm.nih.gov/pmc/blobs/89c5/9571749/704749119c5d/jcm-11-05843-g001.jpg

相似文献

2
Associations of Atrial Fibrillation Patterns With Mortality and Cardiovascular Events: Implications of the MISOAC-AF Trial.
J Cardiovasc Pharmacol Ther. 2022 Jan-Dec;27:10742484211069422. doi: 10.1177/10742484211069422.
3
Prognostic significance of diabetes mellitus in patients with atrial fibrillation.
Cardiovasc Diabetol. 2021 Feb 11;20(1):40. doi: 10.1186/s12933-021-01232-7.
4
Association of Length of Stay With the Clinical Trajectory of Hospitalized Patients With Atrial Fibrillation: Staying Less Is More?
Am J Cardiol. 2023 Nov 1;206:254-261. doi: 10.1016/j.amjcard.2023.08.066. Epub 2023 Sep 14.
5
Care Patterns and Outcomes in Atrial Fibrillation Patients With and Without Diabetes: ORBIT-AF Registry.
J Am Coll Cardiol. 2017 Sep 12;70(11):1325-1335. doi: 10.1016/j.jacc.2017.07.755.
6
Long-term prognostic significance of history of cancer and atrial fibrillation in coronary artery disease.
Int J Cardiol Heart Vasc. 2023 Oct 11;49:101277. doi: 10.1016/j.ijcha.2023.101277. eCollection 2023 Dec.
7
Polypharmacy and Major Adverse Events in Atrial Fibrillation.
J Cardiovasc Pharmacol. 2022 Dec 1;80(6):826-831. doi: 10.1097/FJC.0000000000001339.
9
Apixaban in patients with atrial fibrillation and prior coronary artery disease: insights from the ARISTOTLE trial.
Int J Cardiol. 2013 Dec 10;170(2):215-20. doi: 10.1016/j.ijcard.2013.10.062. Epub 2013 Oct 24.

本文引用的文献

1
Prognostic significance of diabetes mellitus in patients with atrial fibrillation.
Cardiovasc Diabetol. 2021 Feb 11;20(1):40. doi: 10.1186/s12933-021-01232-7.
2
Sex Differences in Modifiable Risk Factors and Severity of Coronary Artery Disease.
J Am Heart Assoc. 2020 Oct 20;9(19):e017235. doi: 10.1161/JAHA.120.017235. Epub 2020 Sep 28.
4
GARFIELD-AF: a worldwide prospective registry of patients with atrial fibrillation at risk of stroke.
Future Cardiol. 2021 Jan;17(1):19-38. doi: 10.2217/fca-2020-0014. Epub 2020 Jul 22.
7
Influence of sex on the incidence of potential coronary artery disease and long-term outcomes in asymptomatic patients with diabetes mellitus.
Int J Cardiol Heart Vasc. 2020 Mar 26;27:100504. doi: 10.1016/j.ijcha.2020.100504. eCollection 2020 Apr.
8
Not typical angina and mortality in women with obstructive coronary artery disease: Results from the Women's Ischemic Syndrome Evaluation study (WISE).
Int J Cardiol Heart Vasc. 2020 Mar 24;27:100502. doi: 10.1016/j.ijcha.2020.100502. eCollection 2020 Apr.
9
Differences in Epidemiology and Risk Factors for Atrial Fibrillation Between Women and Men.
Front Cardiovasc Med. 2020 Jan 31;7:3. doi: 10.3389/fcvm.2020.00003. eCollection 2020.
10
Gender in cardiovascular medicine: chest pain and coronary artery disease.
Eur Heart J. 2019 Dec 14;40(47):3819-3826. doi: 10.1093/eurheartj/ehz784.

文献AI研究员

20分钟写一篇综述,助力文献阅读效率提升50倍。

立即体验

用中文搜PubMed

大模型驱动的PubMed中文搜索引擎

马上搜索

文档翻译

学术文献翻译模型,支持多种主流文档格式。

立即体验