Suppr超能文献

(寡)糖的位点选择性修饰

Site-Selective Modification of (Oligo)Saccharides.

作者信息

Witte Martin D, Minnaard Adriaan J

机构信息

Stratingh Institute for Chemistry, University of Groningen, Nijenborgh 7, 9747 AG Groningen, The Netherlands.

出版信息

ACS Catal. 2022 Oct 7;12(19):12195-12205. doi: 10.1021/acscatal.2c03876. Epub 2022 Sep 23.

Abstract

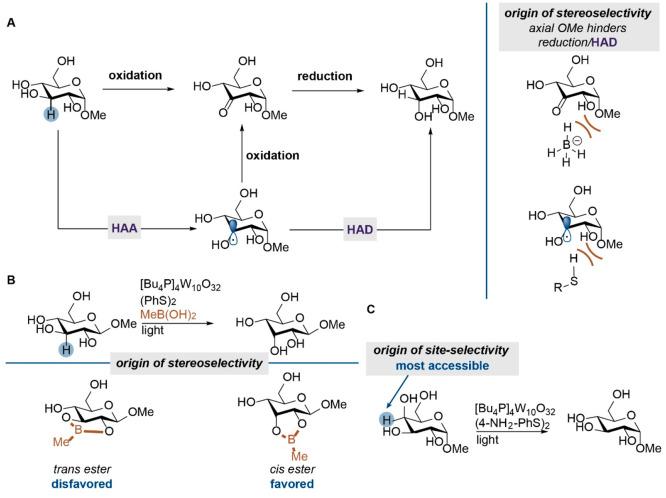
Oligosaccharides, either as such or as part of glycolipids, glycopeptides, or glycoproteins, are ubiquitous in nature and fulfill important roles in the living cell. Also in medicine and to some extent in materials, oligosaccharides play an important role. In order to study their function, modifying naturally occurring oligosaccharides, and building in reactive groups and reporter groups in oligosaccharides, are key strategies. The development of oligosaccharides as drugs, or vaccines, requires the introduction of subtle modifications in the structure of oligosaccharides to optimize efficacy and, in the case of antibiotics, circumvent bacterial resistance. Provided the natural oligosaccharide is available, site-selective modification is an attractive approach as total synthesis of the target is often very laborious. Researchers in catalysis areas, such as transition-metal catalysis, enzyme catalysis, organocatalysis, and photoredox catalysis, have made considerable progress in the development of site-selective and late-stage modification methods for mono- and oligosaccharides. It is foreseen that the fields of enzymatic modification of glycans and the chemical modification of (oligo)saccharides will approach and potentially meet each other, but there is a lot to learn and discover before this will be the case.

摘要

寡糖,无论是其本身还是作为糖脂、糖肽或糖蛋白的一部分,在自然界中无处不在,并在活细胞中发挥着重要作用。在医学以及在一定程度上在材料领域,寡糖也发挥着重要作用。为了研究它们的功能,修饰天然存在的寡糖以及在寡糖中引入反应基团和报告基团是关键策略。将寡糖开发为药物或疫苗,需要在寡糖结构中引入细微修饰以优化疗效,对于抗生素而言,则需要规避细菌耐药性。如果天然寡糖可得,位点选择性修饰是一种有吸引力的方法,因为目标物的全合成通常非常费力。催化领域的研究人员,如过渡金属催化、酶催化、有机催化和光氧化还原催化,在单糖和寡糖的位点选择性和后期修饰方法的开发方面取得了相当大的进展。可以预见,聚糖的酶促修饰和(寡)糖的化学修饰领域将会相互靠近并可能交汇,但在此之前还有很多需要学习和探索的地方。

https://cdn.ncbi.nlm.nih.gov/pmc/blobs/0653/9552177/190679e6af2b/cs2c03876_0001.jpg

文献检索

告别复杂PubMed语法,用中文像聊天一样搜索,搜遍4000万医学文献。AI智能推荐,让科研检索更轻松。

立即免费搜索

文件翻译

保留排版,准确专业,支持PDF/Word/PPT等文件格式,支持 12+语言互译。

免费翻译文档

深度研究

AI帮你快速写综述,25分钟生成高质量综述,智能提取关键信息,辅助科研写作。

立即免费体验