Wang Li, Lin Tsung-Tse, Wang Ke, Hirayama Hideki
THz Quantum Device Team, RIKEN Center for Advanced Photonics, 519-1399 Aramaki-aza Aoba, Aoba-ku, Sendai, 980-0845, Japan.
School of Electronics Science and Engineering, Nanjing University, 163 Xianlin Street, Qixia District, Nanjing, 210046, China.
Sci Rep. 2022 Oct 17;12(1):17378. doi: 10.1038/s41598-022-22396-6.
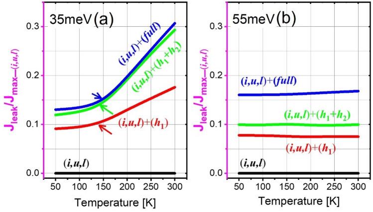
Recent renewed operating temperatures in terahertz quantum cascade lasers emphasize on narrowing the periodic length in a 2-well resonant-phonon design for a clean quantum level structure, in which the depopulation energy is significantly higher than one longitudinal phonon. In this study, various depopulation energies (small and large) are engineered in a 2-well design; the effect of the high-lying nonrelevant levels on the currents are systematically studied by using the non-equilibrium Green's function method. The engineering of the depopulation energy is unable to avoid the formation of leakage channels, which are activated within at least three neighboring periods via sequential close tunneling. However, a large depopulation energy relaxes the thermal backfilling process; as a result, the net leakages at high temperatures can be significantly suppressed. In addition, pre-alignment remains a critical issue in the design when using a large depopulation energy, which requires improved engineering for the barriers to obtain better laser dynamics.
近期太赫兹量子级联激光器的工作温度再次受到关注,重点在于缩小双阱共振声子设计中的周期长度,以获得纯净的量子能级结构,其中非布居能量显著高于一个纵向声子的能量。在本研究中,在双阱设计中设计了各种非布居能量(小能量和大能量);采用非平衡格林函数方法系统研究了高能无关能级对电流的影响。非布居能量的设计无法避免泄漏通道的形成,这些泄漏通道通过连续的近隧穿在至少三个相邻周期内被激活。然而,大的非布居能量会缓和热回填过程;因此,高温下的净泄漏可得到显著抑制。此外,在使用大非布居能量时,预对准在设计中仍然是一个关键问题,这需要改进势垒工程以获得更好的激光动力学。