Dronova Margarita G, Ye Feng, Cooper Scott E, Krishnadas Anjana, Hoffmann Christina M, Fujisawa Yuita, Okada Yoshinori, Khomskii Daniel I, Feng Yejun
Okinawa Institute of Science and Technology Graduate University, Onna, Okinawa 904-0495, Japan.
Neutron Scattering Division, Oak Ridge National Laboratory, Oak Ridge, TN 37831.
Proc Natl Acad Sci U S A. 2022 Oct 25;119(43):e2208748119. doi: 10.1073/pnas.2208748119. Epub 2022 Oct 18.
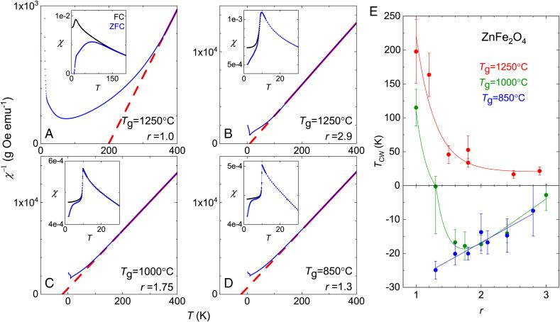
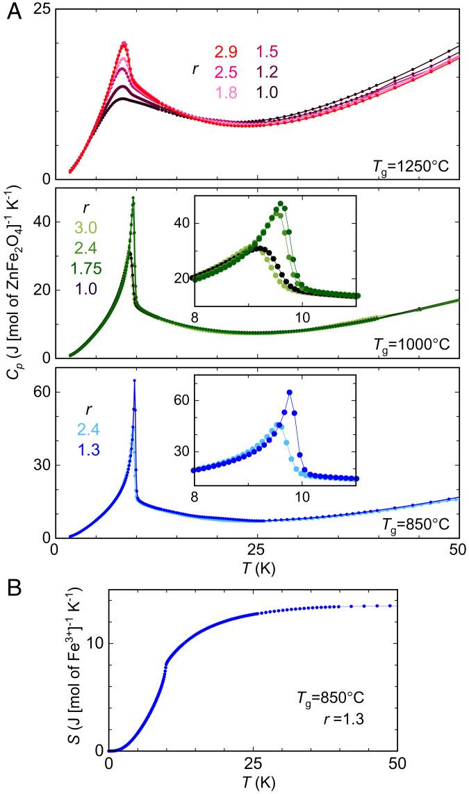
In the study of frustrated quantum magnets, it is essential to be able to control the nature and degree of site disorder during the growth process, as many measurement techniques are incapable of distinguishing between site disorder and frustration-induced spin disorder. Pyrochlore-structured spinel oxides can serve as model systems of geometrically frustrated three-dimensional quantum magnets; however, the nature of the magnetism in one well-studied spinel, ZnFeO, remains unclear. Here, we demonstrate simultaneous control of both stoichiometry and inversion disorder in the growth of ZnFeO single crystals, directly yielding a revised understanding of both the collective spin behavior and lattice symmetry. Crystals grown in the stoichiometric limit with minimal site inversion disorder contravene all the previously suggested exotic spin phases in ZnFeO. Furthermore, the structure is confirmed on the [Formula: see text] space group with broken inversion symmetry that induces antiferroelectricity. The effective tuning of magnetic behavior by site disorder in the presence of robust antiferroelectricity makes ZnFeO of special interest to multiferroic devices.
在受挫量子磁体的研究中,在生长过程中能够控制位点无序的性质和程度至关重要,因为许多测量技术无法区分位点无序和受挫诱导的自旋无序。烧绿石结构的尖晶石氧化物可作为几何受挫的三维量子磁体的模型系统;然而,一种经过充分研究的尖晶石ZnFeO中的磁性本质仍不清楚。在此,我们展示了在ZnFeO单晶生长过程中对化学计量比和反演无序的同时控制,直接对集体自旋行为和晶格对称性产生了新的认识。在化学计量比极限下生长且位点反演无序最小的晶体与之前在ZnFeO中提出的所有奇异自旋相都不相符。此外,该结构在具有破缺反演对称性的[公式:见正文]空间群中得到确认,这种对称性会诱导反铁电性。在存在强反铁电性的情况下,通过位点无序对磁行为进行有效调控,使得ZnFeO对多铁性器件具有特殊的吸引力。