Suppr超能文献

基于人工智能的前列腺分析系统,无需人工监督训练,可根据组织样本预测患者预后。

AI-based prostate analysis system trained without human supervision to predict patient outcome from tissue samples.

作者信息

Walhagen Peter, Bengtsson Ewert, Lennartz Maximilian, Sauter Guido, Busch Christer

机构信息

Spearpoint Analytics AB, Stockholm, Sweden.

Centre for Image Analysis, Dept. of Information technology, Uppsala University, Uppsala, Sweden.

出版信息

J Pathol Inform. 2022 Sep 8;13:100137. doi: 10.1016/j.jpi.2022.100137. eCollection 2022.

Abstract

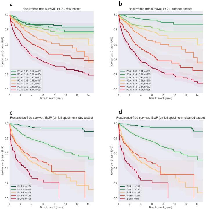
In order to plan the best treatment for prostate cancer patients, the aggressiveness of the tumor is graded based on visual assessment of tissue biopsies according to the Gleason scale. Recently, a number of AI models have been developed that can be trained to do this grading as well as human pathologists. But the accuracy of the AI grading will be limited by the accuracy of the subjective "ground truth" Gleason grades used for the training. We have trained an AI to predict patient outcome directly based on image analysis of a large biobank of tissue samples with known outcome without input of any human knowledge about cancer grading. The model has shown similar and in some cases better ability to predict patient outcome on an independent test-set than expert pathologists doing the conventional grading.

摘要

为了为前列腺癌患者制定最佳治疗方案,根据 Gleason 评分系统,通过对组织活检进行视觉评估来对肿瘤的侵袭性进行分级。最近,已经开发出了一些人工智能模型,这些模型可以像人类病理学家一样接受训练来进行这种分级。但是,人工智能分级的准确性将受到用于训练的主观“真实”Gleason 分级准确性的限制。我们训练了一种人工智能,直接基于对大量已知结果的组织样本生物库的图像分析来预测患者的预后,而无需输入任何有关癌症分级的人类知识。在独立测试集上,该模型在预测患者预后方面表现出与进行传统分级的专家病理学家相似甚至在某些情况下更好的能力。

https://cdn.ncbi.nlm.nih.gov/pmc/blobs/5738/9577124/4e7ed02b5685/gr1.jpg

相似文献

1
AI-based prostate analysis system trained without human supervision to predict patient outcome from tissue samples.
J Pathol Inform. 2022 Sep 8;13:100137. doi: 10.1016/j.jpi.2022.100137. eCollection 2022.
2
Artificial intelligence for diagnosis and grading of prostate cancer in biopsies: a population-based, diagnostic study.
Lancet Oncol. 2020 Feb;21(2):222-232. doi: 10.1016/S1470-2045(19)30738-7. Epub 2020 Jan 8.
3
An Artificial Intelligence-based Support Tool for Automation and Standardisation of Gleason Grading in Prostate Biopsies.
Eur Urol Focus. 2021 Sep;7(5):995-1001. doi: 10.1016/j.euf.2020.11.001. Epub 2020 Dec 7.
4
Evaluation of the Use of Combined Artificial Intelligence and Pathologist Assessment to Review and Grade Prostate Biopsies.
JAMA Netw Open. 2020 Nov 2;3(11):e2023267. doi: 10.1001/jamanetworkopen.2020.23267.
5
Development and Validation of an Artificial Intelligence-Powered Platform for Prostate Cancer Grading and Quantification.
JAMA Netw Open. 2021 Nov 1;4(11):e2132554. doi: 10.1001/jamanetworkopen.2021.32554.
6
A comprehensive AI model development framework for consistent Gleason grading.
Commun Med (Lond). 2024 May 9;4(1):84. doi: 10.1038/s43856-024-00502-1.
7
Artificial Intelligence for Diagnosis and Gleason Grading of Prostate Cancer in Biopsies-Current Status and Next Steps.
Eur Urol Focus. 2021 Jul;7(4):687-691. doi: 10.1016/j.euf.2021.07.002. Epub 2021 Aug 12.
9
Robust, credible, and interpretable AI-based histopathological prostate cancer grading.
medRxiv. 2024 Jul 10:2024.07.09.24310082. doi: 10.1101/2024.07.09.24310082.

引用本文的文献

1
Robust, credible, and interpretable AI-based histopathological prostate cancer grading.
medRxiv. 2024 Jul 10:2024.07.09.24310082. doi: 10.1101/2024.07.09.24310082.
2
Artificial intelligence and digital pathology: clinical promise and deployment considerations.
J Med Imaging (Bellingham). 2023 Sep;10(5):051802. doi: 10.1117/1.JMI.10.5.051802. Epub 2023 Jul 31.

本文引用的文献

1
Artificial intelligence for diagnosis and Gleason grading of prostate cancer: the PANDA challenge.
Nat Med. 2022 Jan;28(1):154-163. doi: 10.1038/s41591-021-01620-2. Epub 2022 Jan 13.
2
Deep learning-based survival prediction for multiple cancer types using histopathology images.
PLoS One. 2020 Jun 17;15(6):e0233678. doi: 10.1371/journal.pone.0233678. eCollection 2020.
3
Artificial intelligence for diagnosis and grading of prostate cancer in biopsies: a population-based, diagnostic study.
Lancet Oncol. 2020 Feb;21(2):222-232. doi: 10.1016/S1470-2045(19)30738-7. Epub 2020 Jan 8.
4
Automated deep-learning system for Gleason grading of prostate cancer using biopsies: a diagnostic study.
Lancet Oncol. 2020 Feb;21(2):233-241. doi: 10.1016/S1470-2045(19)30739-9. Epub 2020 Jan 8.
5
Automated Gleason grading of prostate cancer tissue microarrays via deep learning.
Sci Rep. 2018 Aug 13;8(1):12054. doi: 10.1038/s41598-018-30535-1.
6
Integrating Tertiary Gleason 5 Patterns into Quantitative Gleason Grading in Prostate Biopsies and Prostatectomy Specimens.
Eur Urol. 2018 May;73(5):674-683. doi: 10.1016/j.eururo.2017.01.015. Epub 2017 Jan 20.
7
Interobserver variability in Gleason histological grading of prostate cancer.
Scand J Urol. 2016 Dec;50(6):420-424. doi: 10.1080/21681805.2016.1206619. Epub 2016 Jul 14.
8
Tissue Microarrays.
Methods Mol Biol. 2016;1381:53-65. doi: 10.1007/978-1-4939-3204-7_3.
10
Blind color decomposition of histological images.
IEEE Trans Med Imaging. 2013 Jun;32(6):983-94. doi: 10.1109/TMI.2013.2239655. Epub 2013 Jan 11.

文献AI研究员

20分钟写一篇综述,助力文献阅读效率提升50倍。

立即体验

用中文搜PubMed

大模型驱动的PubMed中文搜索引擎

马上搜索

文档翻译

学术文献翻译模型,支持多种主流文档格式。

立即体验