Suppr超能文献

转移性小细胞肺癌的预后风险分层模型:SEER 数据库分析。

The prognostic risk stratification model for metastatic small-cell lung cancer: An analysis of the SEER database.

机构信息

Department of Radiation Oncology, Affiliated Hospital of Hebei University, Baoding, Hebei Province, PR China.

Department of Radiation Oncology, Baoding First Central Hospital, Baoding, Hebei Province, PR China.

出版信息

Medicine (Baltimore). 2022 Oct 21;101(42):e31000. doi: 10.1097/MD.0000000000031000.

Abstract

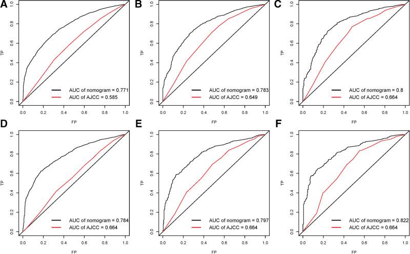
Distant metastases of small-cell lung cancer (DM-SCLC) is an important factor in the selection of treatment strategies. In this study, we established a nomogram to predict DM-SCLC and determine the benefit of radiotherapy (RT) for DM-SCLC. We analyzed DM-SCLC prognosis based on surveillance, epidemiology, and end result database (SEER) data. A comprehensive and practical nomogram that predicts the overall survival (OS) of DM-SCLC was constructed and the results were compared with the 7th edition of the American Joint Committee on Cancer (AJCC) TNM stage system. A concordance index (C-index) and receiver operating characteristic plot were generated to evaluate the nomogram discrimination. The calibration was evaluated with a calibration plot, and its effectiveness was evaluated by a decision curve analysis (DCA). A score was assigned to each variable, and a total score was established for the risk stratification model. A total of 13,403 DM-SCLC patients were included. Eight characteristic variables were identified as independent prognostic variables. The C-index of the validation and training cohorts was 0.716 and 0.734, respectively. The area under the receiver operating characteristic curve (AUC) values of the nomogram used to predict 1-, 2-, and 3-year OS were 0.751, 0.744, and 0.786 in the validation cohorts (0.761, 0.777, 0.787 in the training cohorts), respectively. The calibration curve of 1-, 2-, 3-year survival rates showed that the prediction of the nomogram was in good agreement with the actual observation. The nomogram exhibited higher clinical utility after evaluation with the 1-, 2-, 3-year DCA compared with the AJCC stage system. A predictive nomogram and risk stratification model have been constructed to evaluate the prognosis of DM-SCLC effectively and accurately. This nomogram may provide a reference for prognosis stratification and treatment decisions.

摘要

小细胞肺癌(SCLC)远处转移(DM-SCLC)是选择治疗策略的重要因素。本研究基于监测、流行病学和最终结果数据库(SEER)数据,建立预测 DM-SCLC 及评估放疗(RT)获益的列线图。综合分析 DM-SCLC 预后,并与第 7 版美国癌症联合委员会(AJCC)TNM 分期系统进行比较。构建预测 DM-SCLC 总生存期(OS)的列线图,并采用一致性指数(C-index)和受试者工作特征(ROC)曲线评估模型的区分度。通过校准曲线评估校准度,通过决策曲线分析(DCA)评估模型的临床有效性。为各变量赋值并建立风险分层模型总分。共纳入 13403 例 DM-SCLC 患者,确定 8 个独立预后因素。验证集和训练集的 C-index 分别为 0.716 和 0.734。验证集的列线图预测 1、2、3 年 OS 的曲线下面积(AUC)值分别为 0.751、0.744、0.786(训练集分别为 0.761、0.777、0.787)。1、2、3 年生存率校准曲线显示,该列线图预测与实际观察结果一致性较好。1、2、3 年 DCA 评估后,该列线图的临床实用性高于 AJCC 分期系统。本研究构建了一种有效的 DM-SCLC 预后预测列线图和风险分层模型,可准确评估 DM-SCLC 患者的预后,为分层和治疗决策提供参考。

https://cdn.ncbi.nlm.nih.gov/pmc/blobs/dff0/9592304/4b0e35b2bf34/medi-101-e31000-g001.jpg

文献检索

告别复杂PubMed语法,用中文像聊天一样搜索,搜遍4000万医学文献。AI智能推荐,让科研检索更轻松。

立即免费搜索

文件翻译

保留排版,准确专业,支持PDF/Word/PPT等文件格式,支持 12+语言互译。

免费翻译文档

深度研究

AI帮你快速写综述,25分钟生成高质量综述,智能提取关键信息,辅助科研写作。

立即免费体验