Suppr超能文献

甘油三酯在肝硬化自身免疫性肝炎中的预测作用。

Role of triglycerides as a predictor of autoimmune hepatitis with cirrhosis.

机构信息

Center of Integrative Medicine, Beijing Ditan Hospital, Capital Medical University, No. 8 Jing Shun East Street, Beijing, 100015, China.

Center of Integrative Medicine, Peking University Ditan Teaching Hospital, Beijing, 100015, China.

出版信息

Lipids Health Dis. 2022 Oct 25;21(1):108. doi: 10.1186/s12944-022-01716-9.

Abstract

BACKGROUND

Metabolism-related indicators have been suggested as possible prognostic indicators of liver disease in recent relevant studies, but their value in predicting autoimmune hepatitis (AIH) cirrhosis is unclear. This study evaluated the role of lipid levels in determining the prognosis of AIH-related cirrhosis.

METHODS

We retrospectively included 345 patients with AIH who were initially diagnosed at Beijing Ditan Hospital from 2010-2019, and ultimately screened 196 patients who met the criteria. A logistic regression analysis was performed to screen factors associated with cirrhosis. Kaplan-Meier (KM) curves were constructed to analyze the effects of different triglyceride (TG) levels on the survival of patients with cirrhosis. A restricted cubic spline fitted Cox regression model was used to analyze the nonlinear relationship between serum TG levels and patient prognosis.

RESULTS

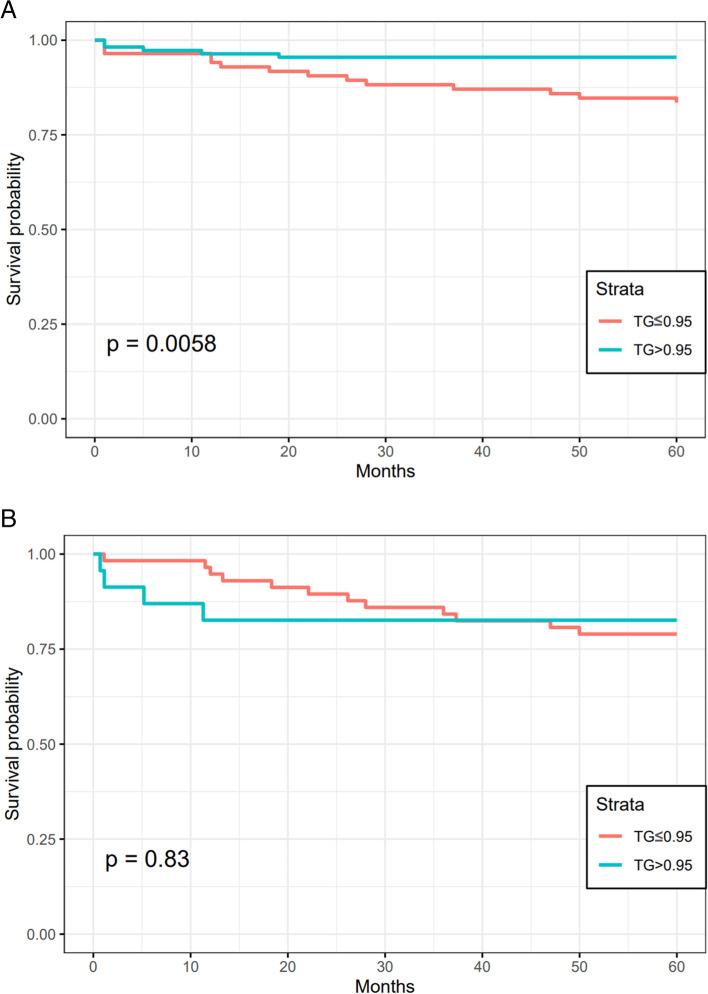
Patients with AIH cirrhosis have lower TG levels than those without cirrhosis. Lower serum TG levels correlated with the severity of cirrhosis. The survival analysis showed that TG levels were associated with the overall survival of patients with AIH, as a lower 5-year survival rate (log-rank P<0.05) was observed for patients in the TG≤0.95 mmol/L group (hazard ratio (HR)=3.79, 95% CI: 1.528-9.423). In addition, lower TG levels were associated with a higher incidence of death in patients with AIH cirrhosis. The risk of death gradually increased for the interval of TG levels of 0.5-0.8 mmol/L (P for nonlinearity<0.001), and the hazard ratio per standard deviation increase in the TG level was 0.97 (95% CI: 0.94-0.99). The plot showed a U-shaped relationship between TG levels and the survival of patients with decompensated cirrhosis. The risk ratio progressively decreased with lower TG levels (P for nonlinearity=0.002). Below 0.6 mmol/L, the probability of TG risk per standard deviation prediction was 1.49 (95% CI: 1.00-2.24).

CONCLUSION

Serum TG levels are closely related to the disease severity and overall survival of patients with AIH cirrhosis and may be used as a new indicator of advanced liver disease and long-term prognosis.

摘要

背景

在最近的相关研究中,代谢相关指标被认为是肝病预后的可能指标,但它们在预测自身免疫性肝炎(AIH)肝硬化中的价值尚不清楚。本研究评估了血脂水平在确定 AIH 相关肝硬化预后中的作用。

方法

我们回顾性纳入了 2010 年至 2019 年在北京地坛医院初诊的 345 例 AIH 患者,最终筛选出符合条件的 196 例患者。采用逻辑回归分析筛选与肝硬化相关的因素。绘制 Kaplan-Meier(KM)曲线分析不同甘油三酯(TG)水平对肝硬化患者生存的影响。采用受限立方样条拟合 Cox 回归模型分析血清 TG 水平与患者预后的非线性关系。

结果

AIH 肝硬化患者的 TG 水平低于无肝硬化患者。较低的血清 TG 水平与肝硬化的严重程度相关。生存分析表明,TG 水平与 AIH 患者的总生存率相关,因为 TG≤0.95mmol/L 组的 5 年生存率较低(log-rank P<0.05)(风险比(HR)=3.79,95%CI:1.528-9.423)。此外,较低的 TG 水平与 AIH 肝硬化患者的死亡发生率较高相关。随着 TG 水平间隔在 0.5-0.8mmol/L 之间,死亡风险逐渐增加(非线性 P<0.001),TG 水平每增加一个标准差的风险比为 0.97(95%CI:0.94-0.99)。图中显示了 TG 水平与失代偿性肝硬化患者生存之间的 U 形关系。随着 TG 水平的降低,风险比逐渐降低(非线性 P=0.002)。低于 0.6mmol/L 时,TG 风险每标准偏差的预测概率为 1.49(95%CI:1.00-2.24)。

结论

血清 TG 水平与 AIH 肝硬化患者的疾病严重程度和总体生存率密切相关,可作为评估晚期肝病和长期预后的新指标。

https://cdn.ncbi.nlm.nih.gov/pmc/blobs/69aa/9594949/715698d44f70/12944_2022_1716_Fig1_HTML.jpg

文献AI研究员

20分钟写一篇综述,助力文献阅读效率提升50倍。

立即体验

用中文搜PubMed

大模型驱动的PubMed中文搜索引擎

马上搜索

文档翻译

学术文献翻译模型,支持多种主流文档格式。

立即体验