Pereira Humberto, Azevedo Flávio, Domingues Lucília, Johansson Björn
CBMA - Center of Molecular and Environmental Biology Engineering.
CEB - Centre of Biological Engineering, University of Minho, Campus de Gualtar, Braga, 4710-057, Portugal.
Comput Struct Biotechnol J. 2022 Jan 22;20:779-787. doi: 10.1016/j.csbj.2022.01.020. eCollection 2022.
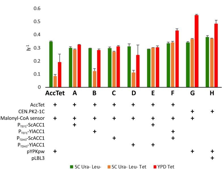
Malonyl-CoA is an energy-rich molecule formed by the ATP-dependent carboxylation of acetyl coenzyme A catalyzed by acetyl-CoA carboxylase. This molecule is an important precursor for many biotechnologically interesting compounds such as flavonoids, polyketides, and fatty acids. The yeast remains one of the preferred cell factories, but has a limited capacity to produce malonyl-CoA compared to oleaginous organisms. We developed a new strain with a conditional allele of , the essential acetyl-CoA carboxylase (ACC) gene, as a tool to test heterologous genes for complementation. is an oleaginous yeast with a higher capacity for lipid production than , possibly due to a higher capacity to produce malonyl-CoA. Measuring relative intracellular malonyl-CoA levels with an biosensor confirmed that expression of ACC in leads to a higher accumulation of malonyl-CoA compared with overexpression of the native gene from an otherwise identical vector. The higher accumulation was generally accompanied by a decreased growth rate. Concomitant expression of both the homologous and heterologous genes eliminated the growth defect, with a marginal reduction of malonyl-CoA accumulation.
丙二酰辅酶A是一种富含能量的分子,由乙酰辅酶A羧化酶催化的乙酰辅酶A的ATP依赖性羧化作用形成。该分子是许多具有生物技术意义的化合物(如类黄酮、聚酮化合物和脂肪酸)的重要前体。酵母仍然是首选的细胞工厂之一,但与产油生物相比,其生产丙二酰辅酶A的能力有限。我们开发了一种新菌株,其具有必需的乙酰辅酶A羧化酶(ACC)基因的条件等位基因,作为测试异源基因互补性的工具。[具体菌株名称]是一种产油酵母,其脂质生产能力高于[对比菌株名称],这可能是由于其生产丙二酰辅酶A的能力更强。用[具体生物传感器名称]生物传感器测量相对细胞内丙二酰辅酶A水平证实,与从相同载体过表达天然基因相比,在[具体菌株名称]中表达[具体ACC基因名称]的ACC会导致丙二酰辅酶A的积累更高。较高的积累通常伴随着生长速率的降低。同源和异源[具体基因名称]基因的同时表达消除了生长缺陷,同时丙二酰辅酶A积累略有减少。