Suppr超能文献

合成氧化铁纳米颗粒(FeO NPs)在砷胁迫下诱导水稻的代谢和抗氧化反应。

Synthesized Iron Oxide Nanoparticles (FeO NPs) Induced Metabolic and Anti-Oxidative Response in Rice ( L.) under Arsenic Stress.

作者信息

Khan Sehresh, Akhtar Nazneen, Rehman Shafiq Ur, Shujah Shaukat, Rha Eui Shik, Jamil Muhammad

机构信息

Department of Biotechnology and Genetic Engineering, Kohat University of Science & Technology (KUST), Kohat 26000, Pakistan.

Department of Biology, University of Haripur, Haripur 22620, Pakistan.

出版信息

Toxics. 2022 Oct 18;10(10):618. doi: 10.3390/toxics10100618.

Abstract

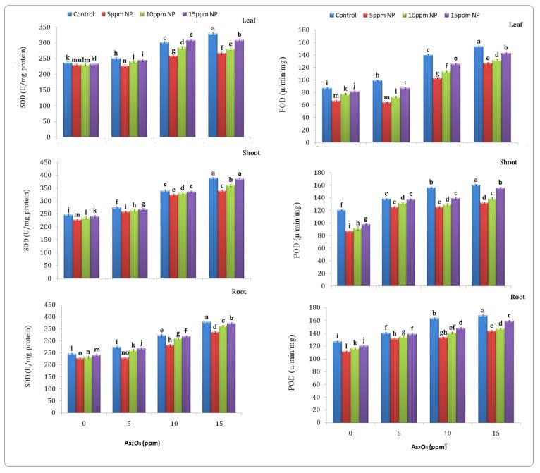
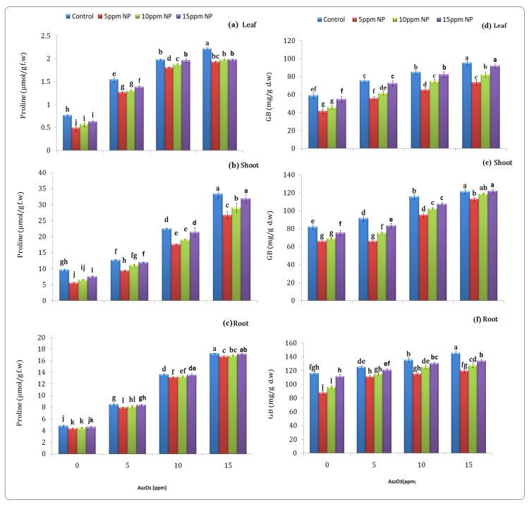
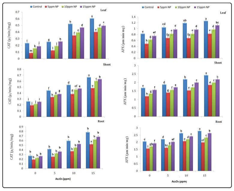
Nanoparticle (NP) application is most effective in decreasing metalloid toxicity. The current study aimed to evaluate the effect of synthesized iron oxide nanoparticles (FeO NPs) against arsenic (As) stress on rice ( L.) seedlings. Different concentrations of As (5, 10 and 15 ppm) and synthesized FeO NPs solution (5, 10 and 15 ppm) alone and in combination were applied to rice seedlings. The results showed that As at 15 ppm significantly decreased the growth of rice, which was increased by the low level of As. Results indicated that synthesized FeO NP-treated plants showed maximum chlorophyll land protein content as compared with arsenic treatment alone. The antioxidant enzymes such as SOD, POD, CAT, MDA and APX and stress modulators (Glycine betain and proline) also showed decreased content in plants as compared with As stress. Subsequently, synthesized FeO NPs reduced the stress associated parameters due to limited passage of arsenic inside the plant. Furthermore, reduction in HO and MDA content confirmed that the addition of synthesized FeO NPs under As stress protected rice seedlings against arsenic toxicity, hence enhanced growth was notice and it had beneficial effects on the plant. Results highlighted that FeO NPs protect rice seedlings against arsenic stress by reducing As accumulation, act as a nano adsorbent and restricting arsenic uptake in rice plants. Hence, our study confirms the significance of synthesized FeO NPs in alleviating As toxicity in rice plants.

摘要

纳米颗粒(NP)的应用在降低类金属毒性方面最为有效。当前的研究旨在评估合成的氧化铁纳米颗粒(FeO NPs)对水稻(L.)幼苗砷(As)胁迫的影响。将不同浓度的As(5、10和15 ppm)以及单独和组合使用的合成FeO NPs溶液(5、10和15 ppm)施用于水稻幼苗。结果表明,15 ppm的As显著降低了水稻的生长,而低水平的As则促进了生长。结果表明,与单独的砷处理相比,合成FeO NP处理的植物显示出最高的叶绿素和蛋白质含量。与As胁迫相比,超氧化物歧化酶(SOD)、过氧化物酶(POD)、过氧化氢酶(CAT)、丙二醛(MDA)和抗坏血酸过氧化物酶(APX)等抗氧化酶以及胁迫调节剂(甘氨酸甜菜碱和脯氨酸)在植物中的含量也有所降低。随后,由于砷在植物体内的吸收受限,合成的FeO NPs降低了与胁迫相关的参数。此外,HO和MDA含量的降低证实,在As胁迫下添加合成的FeO NPs可保护水稻幼苗免受砷毒性,因此观察到生长增强,并且对植物有有益影响。结果突出表明,FeO NPs通过减少As积累来保护水稻幼苗免受砷胁迫,充当纳米吸附剂并限制水稻植株对砷的吸收。因此,我们的研究证实了合成FeO NPs在减轻水稻植株As毒性方面的重要性。

https://cdn.ncbi.nlm.nih.gov/pmc/blobs/0ec9/9606974/ea2e0cacfd1b/toxics-10-00618-g001.jpg

文献AI研究员

20分钟写一篇综述,助力文献阅读效率提升50倍。

立即体验

用中文搜PubMed

大模型驱动的PubMed中文搜索引擎

马上搜索

文档翻译

学术文献翻译模型,支持多种主流文档格式。

立即体验