Suppr超能文献

钩端螺旋体病感染合并急性肾损伤的长期预后

Long-Term Outcome of Leptospirosis Infection with Acute Kidney Injury.

作者信息

Chang Chih-Hsiang, Sun Wei-Chiao, Chang Su-Wei, Lee Cheng-Chia, Fan Pei-Chun, Yang Huang-Yu, Yang Chih-Wei

机构信息

Kidney Research Center, Department of Nephrology, Chang Gung Memorial Hospital, Linkou Branch, Taoyuan 333, Taiwan.

Postgraduate Institute of Clinical Medical Science, College of Medicine, Chang Gung University, Taoyuan 333, Taiwan.

出版信息

Biomedicines. 2022 Sep 20;10(10):2338. doi: 10.3390/biomedicines10102338.

Abstract

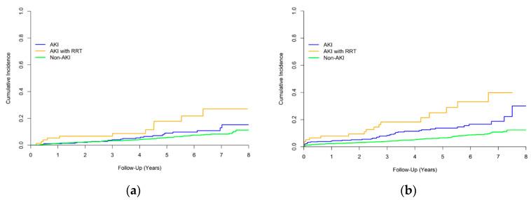
Acute kidney injury (AKI) is associated with long-term mortality and morbidity outcomes. Severe leptospirosis usually results in AKI and multiple organ failure, but is associated with favorable short-term outcomes, if treatment is initiated early. However, information on long-term outcomes after leptospirosis-associated AKI is limited. The effects of leptospirosis on resulting chronic kidney disease (CKD), as well as mortality, were evaluated in this study. We studied 2145 patients with leptospirosis from the National Health Insurance Research Database over an 8-year follow-up period. Patient demographics and characteristics were analyzed for AKI and dialysis. The risk factors for renal outcomes were analyzed using multivariate logistic regression. In total, 443 (20.6%) patients had AKI. Among them, 77 (3.6%) patients received replacement therapy (AKI-RRT group). Long-term mortality was higher in the AKI-RRT group than in the AKI group and non-AKI group, based on a multivariate logistic regression model. Similarly, the incidence rate of CKD was highest in the AKI-RRT group, followed by the AKI and non-AKI groups. Leptospirosis, complicated with AKI, may play a critical role in the long-term outcomes, resulting in CKD. The severity of AKI determines the incidence of CKD. Additional prospective investigations for the early detection of AKI in leptospirosis are warranted.

摘要

急性肾损伤(AKI)与长期死亡率和发病率结局相关。严重钩端螺旋体病通常会导致AKI和多器官功能衰竭,但如果早期开始治疗,则与良好的短期结局相关。然而,关于钩端螺旋体病相关性AKI后的长期结局的信息有限。本研究评估了钩端螺旋体病对所致慢性肾脏病(CKD)以及死亡率的影响。我们在8年的随访期内研究了来自国民健康保险研究数据库的2145例钩端螺旋体病患者。分析了患者的人口统计学特征和AKI及透析的特点。使用多因素逻辑回归分析肾脏结局的危险因素。共有443例(20.6%)患者发生AKI。其中,77例(3.6%)患者接受了替代治疗(AKI-RRT组)。基于多因素逻辑回归模型,AKI-RRT组的长期死亡率高于AKI组和非AKI组。同样,CKD的发病率在AKI-RRT组中最高,其次是AKI组和非AKI组。钩端螺旋体病合并AKI可能在长期结局中起关键作用,导致CKD。AKI的严重程度决定了CKD的发病率。有必要对钩端螺旋体病中AKI的早期检测进行更多前瞻性研究。

https://cdn.ncbi.nlm.nih.gov/pmc/blobs/c15b/9598535/d9e1467640b7/biomedicines-10-02338-g001.jpg

文献AI研究员

20分钟写一篇综述,助力文献阅读效率提升50倍。

立即体验

用中文搜PubMed

大模型驱动的PubMed中文搜索引擎

马上搜索

文档翻译

学术文献翻译模型,支持多种主流文档格式。

立即体验