Suppr超能文献

扁桃超家族的全基因组分析及其在休眠期对冻害胁迫响应的功能预测

Genome-Wide Analysis of the Almond Superfamily and Its Functional Prediction during Dormancy in Response to Freezing Stress.

作者信息

Yu Zhenfan, Zhang Dongdong, Hu Shaobo, Liu Xingyue, Zeng Bin, Gao Wenwen, He Yawen, Qin Huanxue, Ma Xintong

机构信息

College of Horticulture, Xinjiang Agricultural University, Urumqi 830000, China.

Guangzhou Institute of Forestry and Landscape Architecture, Guangzhou 510000, China.

出版信息

Biology (Basel). 2022 Oct 17;11(10):1520. doi: 10.3390/biology11101520.

Abstract

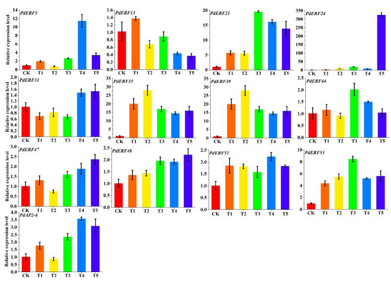
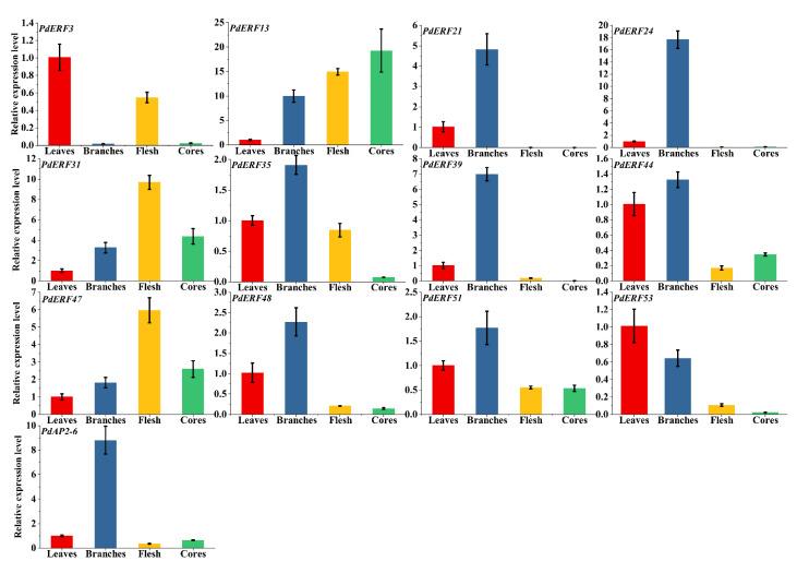
The AP2/ERF transcription factor family is one of the largest transcription factor families in plants and plays an important role in regulating plant growth and development and the response to biotic and abiotic stresses. However, there is no report on the AP2/ERF gene family in almond (). In this study, a total of 136 genes were identified from the almond genome, and their protein physicochemical properties were analyzed. The members were divided into five subgroups: AP2, RAV, ERF, DREB, and Soloist. The members in each subgroup had conserved motif types and exon/intron numbers. members are distributed on eight chromosomes, with 22 pairs of segmental duplications and 28 pairs of tandem duplications. We further explored the colinear relationship between almond and , , , and genes and their evolution. The results of -acting elements showed that /ERF members are widely involved in various processes, such as growth and development, hormone regulation, and stress response. The results based on transcriptome expression patterns showed that genes had significant tissue-specific expression characteristics and were involved in the response of annual dormant branches of almond to low-temperature freezing stress. In addition, the fluorescence quantitative relative expression results of 13 representative genes in four tissues of 'Wanfeng' almond and under six low-temperature freezing treatments of annual dormant branches were consistent with the transcriptome results. It is worth noting that the fluorescence quantitative expression level showed that the gene was extremely significant at -30 °C, suggesting that this gene may play an important role in the response of almond dormancy to ultralow temperature freezing stress. Finally, we identified 7424 and 6971 target genes based on AP2 and ERF/DREB DNA-binding sites, respectively. The GO and KEGG enrichment results showed that these target genes play important roles in protein function and multiple pathways. In summary, we conducted bioinformatics and expression pattern studies on genes, including 13 PdAP2/ERF genes, and performed fluorescence quantitative analysis of annual dormant shoots under different low-temperature freezing stress treatments to understand the tolerance of almond dormancy to freezing stress and suggest future improvements.

摘要

AP2/ERF转录因子家族是植物中最大的转录因子家族之一,在调节植物生长发育以及对生物和非生物胁迫的响应中发挥着重要作用。然而,关于杏仁中AP2/ERF基因家族尚无相关报道。在本研究中,从杏仁基因组中共鉴定出136个基因,并对其蛋白质理化性质进行了分析。这些成员被分为五个亚组:AP2、RAV、ERF、DREB和Soloist。每个亚组中的成员具有保守的基序类型和外显子/内含子数量。成员分布在八条染色体上,有22对片段重复和28对串联重复。我们进一步探究了杏仁与其他物种基因之间的共线性关系及其进化。顺式作用元件的结果表明,AP2/ERF成员广泛参与各种过程,如生长发育、激素调节和胁迫响应。基于转录组表达模式的结果表明,这些基因具有显著的组织特异性表达特征,并参与了杏仁一年生休眠枝条对低温冻害胁迫的响应。此外,‘万丰’杏仁四个组织中13个代表性AP2/ERF基因在一年生休眠枝条六种低温冻害处理下的荧光定量相对表达结果与转录组结果一致。值得注意的是,荧光定量表达水平表明该基因在-30℃时极其显著,这表明该基因可能在杏仁休眠对超低温冻害胁迫的响应中发挥重要作用。最后,我们分别基于AP2和ERF/DREB DNA结合位点鉴定出7424个和6971个靶基因。GO和KEGG富集结果表明,这些靶基因在蛋白质功能和多条途径中发挥重要作用。综上所述,我们对包括13个PdAP2/ERF基因在内的AP2/ERF基因进行了生物信息学和表达模式研究,并对不同低温冻害胁迫处理下的一年生休眠枝条进行了荧光定量分析,以了解杏仁休眠对冻害胁迫的耐受性并提出未来改进方向。

https://cdn.ncbi.nlm.nih.gov/pmc/blobs/1044/9598233/e4a71ef7f4a4/biology-11-01520-g001.jpg

文献AI研究员

20分钟写一篇综述,助力文献阅读效率提升50倍。

立即体验

用中文搜PubMed

大模型驱动的PubMed中文搜索引擎

马上搜索

文档翻译

学术文献翻译模型,支持多种主流文档格式。

立即体验