Suppr超能文献

宏观结构和微观结构的白质改变与临床阿尔茨海默病谱系中的冷漠情绪相关。

Macrostructural and Microstructural White Matter Alterations Are Associated with Apathy across the Clinical Alzheimer's Disease Spectrum.

作者信息

Manca Riccardo, Jones Sarah A, Venneri Annalena

机构信息

Department of Life Sciences, Brunel University London, Uxbridge UB8 3BH, UK.

Rotherham Doncaster and South Humber NHS Foundation Trust, Rotherham DN4 8QN, UK.

出版信息

Brain Sci. 2022 Oct 13;12(10):1383. doi: 10.3390/brainsci12101383.

Abstract

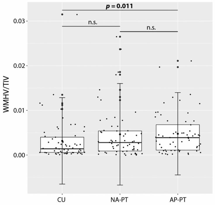
Apathy is the commonest neuropsychiatric symptom in Alzheimer's disease (AD). Previous findings suggest that apathy is caused by a communication breakdown between functional neural networks involved in motivational-affective processing. This study investigated the relationship between white matter (WM) damage and apathy in AD. Sixty-one patients with apathy (AP-PT) and 61 without apathy (NA-PT) were identified from the Alzheimer's Disease Neuroimaging Initiative (ADNI) database and matched for cognitive status, age and education. Sixty-one cognitively unimpaired (CU) participants were also included as controls. Data on cognitive performance, cerebrospinal fluid biomarkers, brain/WM hyperintensity volumes and diffusion tensor imaging indices were compared across groups. No neurocognitive differences were found between patient groups, but the AP-PT group had more severe neuropsychiatric symptoms. Compared with CU participants, only apathetic patients had deficits on the Clock Drawing Test. AP-PT had increased WM damage, both macrostructurally, i.e., larger WM hyperintensity volume, and microstructurally, i.e., increased radial/axial diffusivity and reduced fractional anisotropy in the fornix, cingulum, anterior thalamic radiations and superior longitudinal and uncinate fasciculi. AP-PT showed signs of extensive WM damage, especially in associative tracts in the frontal lobes, fornix and cingulum. Disruption in structural connectivity might affect crucial functional inter-network communication, resulting in motivational deficits and worse cognitive decline.

摘要

冷漠是阿尔茨海默病(AD)最常见的神经精神症状。先前的研究结果表明,冷漠是由参与动机-情感加工的功能性神经网络之间的沟通障碍所致。本研究调查了AD患者白质(WM)损伤与冷漠之间的关系。从阿尔茨海默病神经影像倡议(ADNI)数据库中识别出61名有冷漠症状的患者(AP-PT)和61名无冷漠症状的患者(NA-PT),并根据认知状态、年龄和教育程度进行匹配。还纳入了61名认知未受损(CU)的参与者作为对照。对各组的认知表现、脑脊液生物标志物、脑/WM高强度体积和扩散张量成像指标数据进行了比较。患者组之间未发现神经认知差异,但AP-PT组有更严重的神经精神症状。与CU参与者相比,只有冷漠患者在画钟试验中有缺陷。AP-PT在宏观结构上(即更大的WM高强度体积)和微观结构上(即穹窿、扣带、丘脑前辐射以及上纵束和钩束的径向/轴向扩散率增加和分数各向异性降低)都有更严重的WM损伤。AP-PT表现出广泛WM损伤的迹象,尤其是额叶联想束、穹窿和扣带中的损伤。结构连接性的破坏可能会影响关键的功能网络间通信,导致动机缺陷和更严重的认知衰退。

https://cdn.ncbi.nlm.nih.gov/pmc/blobs/40f1/9599811/e63df5b55ae1/brainsci-12-01383-g001.jpg

文献检索

告别复杂PubMed语法,用中文像聊天一样搜索,搜遍4000万医学文献。AI智能推荐,让科研检索更轻松。

立即免费搜索

文件翻译

保留排版,准确专业,支持PDF/Word/PPT等文件格式,支持 12+语言互译。

免费翻译文档

深度研究

AI帮你快速写综述,25分钟生成高质量综述,智能提取关键信息,辅助科研写作。

立即免费体验