• 文献检索
  • 文档翻译
  • 深度研究
  • 学术资讯
  • Suppr Zotero 插件Zotero 插件
  • 邀请有礼
  • 套餐&价格
  • 历史记录
应用&插件
Suppr Zotero 插件Zotero 插件浏览器插件Mac 客户端Windows 客户端微信小程序
定价
高级版会员购买积分包购买API积分包
服务
文献检索文档翻译深度研究API 文档MCP 服务
关于我们
关于 Suppr公司介绍联系我们用户协议隐私条款
关注我们

Suppr 超能文献

核心技术专利:CN118964589B侵权必究
粤ICP备2023148730 号-1Suppr @ 2026

文献检索

告别复杂PubMed语法,用中文像聊天一样搜索,搜遍4000万医学文献。AI智能推荐,让科研检索更轻松。

立即免费搜索

文件翻译

保留排版,准确专业,支持PDF/Word/PPT等文件格式,支持 12+语言互译。

免费翻译文档

深度研究

AI帮你快速写综述,25分钟生成高质量综述,智能提取关键信息,辅助科研写作。

立即免费体验

水杨酸浓度和处理时间对玉米( Zea mays )外源叶面喷施后直接和系统化学防御反应的影响

Effects of Salicylic Acid Concentration and Post-Treatment Time on the Direct and Systemic Chemical Defense Responses in Maize ( L.) Following Exogenous Foliar Application.

机构信息

Key Laboratory of Agro-Environment in the Tropics, Ministry of Agriculture, South China Agricultural University, Guangzhou 510642, China.

Guangdong Provincial Key Laboratory of Eco-Circular Agriculture, South China Agricultural University, Guangzhou 510642, China.

出版信息

Molecules. 2022 Oct 15;27(20):6917. doi: 10.3390/molecules27206917.

DOI:10.3390/molecules27206917
PMID:36296509
原文链接:https://pmc.ncbi.nlm.nih.gov/articles/PMC9610573/
Abstract

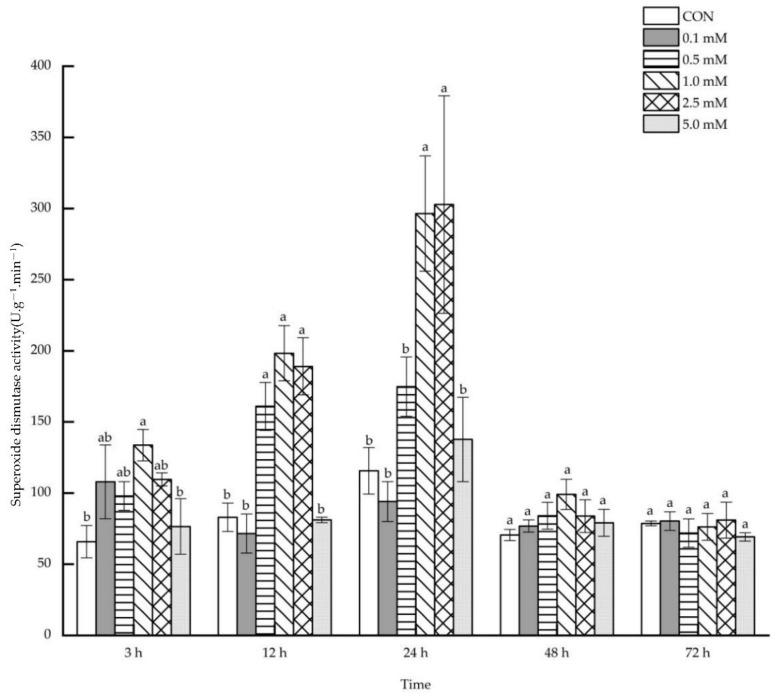
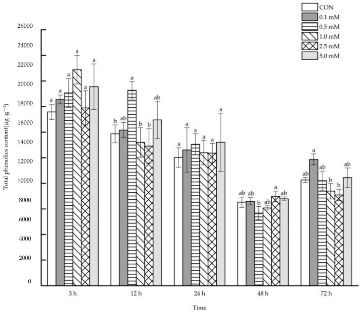
Salicylic acid (SA) plays a critical role in allergic reactions of plants to pathogens and acquired systemic resistance. Thus far, although some research has been conducted on the direct effects of different concentrations of SA on the chemical defense response of treated plant parts (leaves) after at multiple post-treatments times, few research has reported on the systematic effects of non-treated parts (roots). Therefore, we examined direct and systemic effects of SA concentration and time following foliar application on chemical defense responses in maize variety 5422 with two fully expanded leaves. In the experiments, maize leaves were treated with different SA concentrations of 0.1, 0.5, 1.0, 2.5, 5.0 mM, and then, the presence of defense chemicals and enzymes in treated leaves and non-treated roots was measured at different time points of 3, 12, 24, 48, 72 h following SA foliar application. The results showed that direct and systemic effects of SA treatment to the leaf on chemical defense responses were related to SA concentration and time of measurement after spraying SA. In treated leaves, total phenolics content increased directly by 28.65% at the time point of 12 h following foliar application of 0.5 mM SA. DIMBOA (2,4-dihydroxy-7-methoxy-2H, 1, 4-benzoxazin-3 (4H)-one) content was directly enhanced by 80.56551.05% after 372 h following 0.55.0 mM SA treatments. Polyphenol oxidase and superoxide dismutase activities were directly enhanced after 1272 h following 0.55.0 mM SA treatments, whereas peroxidase and catalase activities were increased after 324 h following application of 1.05.0 mM SA. In non-treated roots, DIMBOA content and polyphenol oxidase activity were enhanced systematically after 348 h following 1.05.0 mM SA foliar treatments. Superoxide dismutase activities were enhanced after 324 h following 0.5~2.5 mM SA applications, but total phenolics content, peroxidase and catalase activity decreased in some particular concentrations or at the different times of measurement in the SA treatment. It can be concluded that SA foliar application at 1.0 and 2.5 mM produces strong chemical defense responses in maize, with the optimal induction time being 24 h following the foliar application.

摘要

水杨酸(SA)在植物对病原体的过敏反应和获得的系统抗性中起着关键作用。到目前为止,尽管已经有一些研究对不同浓度的 SA 对处理后的植物部分(叶片)的化学防御反应的直接影响进行了研究,但很少有研究报道非处理部分(根)的系统效应。因此,我们研究了叶面喷施 SA 后不同浓度和时间对玉米品种 5422 两片完全展开叶片的化学防御反应的直接和系统效应。在实验中,用 0.1、0.5、1.0、2.5、5.0mM 的不同 SA 浓度处理玉米叶片,然后在叶面喷施 SA 后 3、12、24、48、72h 测量处理叶片和非处理根中防御化学物质和酶的存在。结果表明,SA 处理叶片对化学防御反应的直接和系统效应与 SA 喷雾后测量的 SA 浓度和时间有关。在处理叶片中,0.5mM SA 叶面喷施 12h 时总酚含量直接增加 28.65%。DIMBOA(2,4-二羟基-7-甲氧基-2H,1,4-苯并恶嗪-3(4H)-酮)含量在 0.5-5.0mM SA 处理后 3-72h 内直接提高 80.56-551.05%。多酚氧化酶和超氧化物歧化酶活性在 0.5-5.0mM SA 处理后 12-72h 内直接增强,而过氧化物酶和过氧化氢酶活性在 1.0-5.0mM SA 处理后 3-24h 内增强。在未处理的根中,0.5-2.5mM SA 叶面处理后 3-48h 内 DIMBOA 含量和多酚氧化酶活性系统增强。超氧化物歧化酶活性在 0.5-2.5mM SA 处理后 3-24h 内增强,但在 SA 处理的某些特定浓度或不同测量时间,总酚含量、过氧化物酶和过氧化氢酶活性下降。综上所述,1.0 和 2.5mM 的 SA 叶面喷施在玉米中产生强烈的化学防御反应,最佳诱导时间为叶面喷施后 24h。

https://cdn.ncbi.nlm.nih.gov/pmc/blobs/a1a6/9610573/23739325858f/molecules-27-06917-g012.jpg
https://cdn.ncbi.nlm.nih.gov/pmc/blobs/a1a6/9610573/896721e336be/molecules-27-06917-g001.jpg
https://cdn.ncbi.nlm.nih.gov/pmc/blobs/a1a6/9610573/c6beffd36ba2/molecules-27-06917-g002.jpg
https://cdn.ncbi.nlm.nih.gov/pmc/blobs/a1a6/9610573/8ae5f25f58bc/molecules-27-06917-g003.jpg
https://cdn.ncbi.nlm.nih.gov/pmc/blobs/a1a6/9610573/8e61fcfb1c44/molecules-27-06917-g004.jpg
https://cdn.ncbi.nlm.nih.gov/pmc/blobs/a1a6/9610573/3081458448c1/molecules-27-06917-g005.jpg
https://cdn.ncbi.nlm.nih.gov/pmc/blobs/a1a6/9610573/5d145e37c535/molecules-27-06917-g006.jpg
https://cdn.ncbi.nlm.nih.gov/pmc/blobs/a1a6/9610573/9c3935e810ee/molecules-27-06917-g007.jpg
https://cdn.ncbi.nlm.nih.gov/pmc/blobs/a1a6/9610573/aecea18fe875/molecules-27-06917-g008.jpg
https://cdn.ncbi.nlm.nih.gov/pmc/blobs/a1a6/9610573/2ac1c7137c0f/molecules-27-06917-g009.jpg
https://cdn.ncbi.nlm.nih.gov/pmc/blobs/a1a6/9610573/fd78fadba243/molecules-27-06917-g010.jpg
https://cdn.ncbi.nlm.nih.gov/pmc/blobs/a1a6/9610573/26b77e44e78a/molecules-27-06917-g011.jpg
https://cdn.ncbi.nlm.nih.gov/pmc/blobs/a1a6/9610573/23739325858f/molecules-27-06917-g012.jpg
https://cdn.ncbi.nlm.nih.gov/pmc/blobs/a1a6/9610573/896721e336be/molecules-27-06917-g001.jpg
https://cdn.ncbi.nlm.nih.gov/pmc/blobs/a1a6/9610573/c6beffd36ba2/molecules-27-06917-g002.jpg
https://cdn.ncbi.nlm.nih.gov/pmc/blobs/a1a6/9610573/8ae5f25f58bc/molecules-27-06917-g003.jpg
https://cdn.ncbi.nlm.nih.gov/pmc/blobs/a1a6/9610573/8e61fcfb1c44/molecules-27-06917-g004.jpg
https://cdn.ncbi.nlm.nih.gov/pmc/blobs/a1a6/9610573/3081458448c1/molecules-27-06917-g005.jpg
https://cdn.ncbi.nlm.nih.gov/pmc/blobs/a1a6/9610573/5d145e37c535/molecules-27-06917-g006.jpg
https://cdn.ncbi.nlm.nih.gov/pmc/blobs/a1a6/9610573/9c3935e810ee/molecules-27-06917-g007.jpg
https://cdn.ncbi.nlm.nih.gov/pmc/blobs/a1a6/9610573/aecea18fe875/molecules-27-06917-g008.jpg
https://cdn.ncbi.nlm.nih.gov/pmc/blobs/a1a6/9610573/2ac1c7137c0f/molecules-27-06917-g009.jpg
https://cdn.ncbi.nlm.nih.gov/pmc/blobs/a1a6/9610573/fd78fadba243/molecules-27-06917-g010.jpg
https://cdn.ncbi.nlm.nih.gov/pmc/blobs/a1a6/9610573/26b77e44e78a/molecules-27-06917-g011.jpg
https://cdn.ncbi.nlm.nih.gov/pmc/blobs/a1a6/9610573/23739325858f/molecules-27-06917-g012.jpg

相似文献

1
Effects of Salicylic Acid Concentration and Post-Treatment Time on the Direct and Systemic Chemical Defense Responses in Maize ( L.) Following Exogenous Foliar Application.水杨酸浓度和处理时间对玉米( Zea mays )外源叶面喷施后直接和系统化学防御反应的影响
Molecules. 2022 Oct 15;27(20):6917. doi: 10.3390/molecules27206917.
2
Effects of Exogenous Salicylic Acid Application to Aboveground Part on the Defense Responses in Bt () and Non-Bt Corn ( L.) Seedlings.地上部分施用外源水杨酸对Bt()和非Bt玉米(L.)幼苗防御反应的影响
Plants (Basel). 2022 Aug 20;11(16):2162. doi: 10.3390/plants11162162.
3
Responses of leaf gas exchange attributes, photosynthetic pigments and antioxidant enzymes in NaCl-stressed cotton (Gossypium hirsutum L.) seedlings to exogenous glycine betaine and salicylic acid.NaCl 胁迫下外源甜菜碱和水杨酸对棉花(Gossypium hirsutum L.)幼苗叶片气体交换特性、光合色素和抗氧化酶的响应。
BMC Plant Biol. 2020 Sep 21;20(1):434. doi: 10.1186/s12870-020-02624-9.
4
Combined seed and foliar pre-treatments with exogenous methyl jasmonate and salicylic acid mitigate drought-induced stress in maize.外源茉莉酸甲酯和水杨酸联合浸种和叶面处理可缓解玉米干旱胁迫。
PLoS One. 2020 May 1;15(5):e0232269. doi: 10.1371/journal.pone.0232269. eCollection 2020.
5
Antioxidant activity and induction of mechanisms of resistance to stresses related to the inoculation with Azospirillum brasilense.巴西固氮螺菌接种相关的抗氧化活性及抗逆机制诱导
Arch Microbiol. 2018 Oct;200(8):1191-1203. doi: 10.1007/s00203-018-1535-x. Epub 2018 Jun 7.
6
Influence of salicylic acid pretreatment on seeds germination and some defence mechanisms of Zea mays plants under copper stress.水杨酸预处理对铜胁迫下玉米种子萌发及某些防御机制的影响
Plant Physiol Biochem. 2018 Jan;122:19-30. doi: 10.1016/j.plaphy.2017.11.007. Epub 2017 Nov 14.
7
Treatment with salicylic acid decreases the effect of cadmium on photosynthesis in maize plants.水杨酸处理可降低镉对玉米植株光合作用的影响。
J Plant Physiol. 2008 Jun 16;165(9):920-31. doi: 10.1016/j.jplph.2006.11.014. Epub 2007 Oct 25.
8
Alleviating salinity stress in canola (Brassica napus L.) through exogenous application of salicylic acid.通过外源施用水杨酸缓解油菜(甘蓝型油菜)盐胁迫。
BMC Plant Biol. 2024 Jun 27;24(1):611. doi: 10.1186/s12870-024-05314-y.
9
Jasmonic Acid and Salicylic Acid improved resistance against Spodoptera frugiperda Infestation in maize by modulating growth and regulating redox homeostasis.茉莉酸和水杨酸通过调节生长和调节氧化还原稳态提高了玉米对草地贪夜蛾侵害的抗性。
Sci Rep. 2024 Jul 22;14(1):16823. doi: 10.1038/s41598-024-67151-1.
10
Salicylic acid confers enhanced resistance to Glomerella leaf spot in apple.水杨酸可增强苹果对炭疽叶枯病的抗性。
Plant Physiol Biochem. 2016 Sep;106:64-72. doi: 10.1016/j.plaphy.2016.04.047. Epub 2016 Apr 26.

引用本文的文献

1
Differential Effects of Chitosan-Salicylic Acid Nanocomposite and Salicylic Acid on Cucumber Mosaic Virus in Cucumber.壳聚糖-水杨酸纳米复合材料和水杨酸对黄瓜中黄瓜花叶病毒的不同影响
Polymers (Basel). 2025 Aug 11;17(16):2195. doi: 10.3390/polym17162195.
2
Bacteriostatic Activity and Resistance Mechanism of Extract Against in Pepper.辣椒提取物对[具体对象未给出]的抑菌活性及抗性机制
Plants (Basel). 2025 Feb 20;14(5):651. doi: 10.3390/plants14050651.
3
A Switch from Latent to Typical Infection during -Tobacco Interactions: Predicted and True Molecular Players.

本文引用的文献

1
A ménage à trois: salicylic acid, growth inhibition, and immunity.三者的组合:水杨酸、生长抑制与免疫。
Trends Plant Sci. 2022 May;27(5):460-471. doi: 10.1016/j.tplants.2021.11.008. Epub 2021 Dec 4.
2
The protective effect of exogenous salicylic and gallic acids ameliorates the adverse effects of ionizing radiation stress in wheat seedlings by modulating the antioxidant defence system.外源水杨酸和没食子酸通过调节抗氧化防御系统来减轻电离辐射胁迫对小麦幼苗的不利影响。
Plant Physiol Biochem. 2021 Nov;168:526-545. doi: 10.1016/j.plaphy.2021.10.020. Epub 2021 Oct 19.
3
Improvement in salt tolerance of Iris pseudacorus L. in constructed wetland by exogenous application of salicylic acid and calcium chloride.
烟草相互作用期间潜伏感染向典型感染的转变:预测和真实的分子参与者。
Int J Mol Sci. 2023 Aug 27;24(17):13283. doi: 10.3390/ijms241713283.
4
Effects of foliage-applied exogenous γ-aminobutyric acid on seedling growth of two rice varieties under salt stress.叶面喷施外源 γ-氨基丁酸对盐胁迫下两个水稻品种幼苗生长的影响。
PLoS One. 2023 Feb 23;18(2):e0281846. doi: 10.1371/journal.pone.0281846. eCollection 2023.
水杨酸和氯化钙对人工湿地鸢尾耐盐性的改善作用。
J Environ Manage. 2021 Dec 15;300:113703. doi: 10.1016/j.jenvman.2021.113703. Epub 2021 Sep 9.
4
Crosstalk of plant growth regulators protects photosynthetic performance from arsenic damage by modulating defense systems in rice.植物生长调节剂通过调节水稻防御系统来保护光合作用免受砷损伤的互作。
Ecotoxicol Environ Saf. 2021 Oct 1;222:112535. doi: 10.1016/j.ecoenv.2021.112535. Epub 2021 Jul 26.
5
Modulation of the toxic effects of zinc oxide nanoparticles by exogenous salicylic acid pretreatment in Chenopodium murale L.外源水杨酸预处理对墙生藜中氧化锌纳米颗粒毒性效应的调节作用
Environ Sci Pollut Res Int. 2021 Dec;28(46):65644-65654. doi: 10.1007/s11356-021-15566-y. Epub 2021 Jul 28.
6
Application of exogenous salicylic acid reduces disease severity of Plasmodiophora brassicae in pakchoi (Brassica campestris ssp. chinensis Makino).外源水杨酸的应用降低了小白菜(白菜亚种中国白菜)中芸薹根肿菌的发病程度。
PLoS One. 2021 Jun 24;16(6):e0248648. doi: 10.1371/journal.pone.0248648. eCollection 2021.
7
Crosstalk between phytohormones and secondary metabolites in the drought stress tolerance of crop plants: A review.作物干旱胁迫耐受性中植物激素和次生代谢物的相互作用:综述。
Physiol Plant. 2021 Jun;172(2):1106-1132. doi: 10.1111/ppl.13328. Epub 2021 Jan 21.
8
Foliar Applied Acetylsalicylic Acid Induced Growth and Key-Biochemical Changes in Chickpea (Cicer arietinum L.) Under Drought Stress.干旱胁迫下叶面喷施乙酰水杨酸对鹰嘴豆(Cicer arietinum L.)生长及关键生化变化的影响
Dose Response. 2020 Oct 15;18(4):1559325820956801. doi: 10.1177/1559325820956801. eCollection 2020 Oct-Dec.
9
Stories of Salicylic Acid: A Plant Defense Hormone.水杨酸的故事:一种植物防御激素。
Trends Plant Sci. 2020 Jun;25(6):549-565. doi: 10.1016/j.tplants.2020.01.004. Epub 2020 Feb 12.
10
Salicylic Acid Biosynthesis in Plants.植物中水杨酸的生物合成
Front Plant Sci. 2020 Apr 17;11:338. doi: 10.3389/fpls.2020.00338. eCollection 2020.