Suppr超能文献

综合组学方法揭示大豆共生固氮过程中耐受性的分子机制。

Integrated Omic Approaches Reveal Molecular Mechanisms of Tolerance during Soybean and Interactions.

作者信息

Arraes Fabricio B M, Vasquez Daniel D N, Tahir Muhammed, Pinheiro Daniele H, Faheem Muhammed, Freitas-Alves Nayara S, Moreira-Pinto Clídia E, Moreira Valdeir J V, Paes-de-Melo Bruno, Lisei-de-Sa Maria E, Morgante Carolina V, Mota Ana P Z, Lourenço-Tessutti Isabela T, Togawa Roberto C, Grynberg Priscila, Fragoso Rodrigo R, de Almeida-Engler Janice, Larsen Martin R, Grossi-de-Sa Maria F

机构信息

Postgraduate Program in Cellular and Molecular Biology (PPGBCM), Federal University of Rio Grande do Sul (UFRGS), Porto Alegre 91501-970, RS, Brazil.

Embrapa Genetic Resources and Biotechnology, Plant-Pest Molecular Interaction Laboratory (LIMPP) and Bioinformatics Laboratory, Brasilia 70770-917, DF, Brazil.

出版信息

Plants (Basel). 2022 Oct 17;11(20):2744. doi: 10.3390/plants11202744.

Abstract

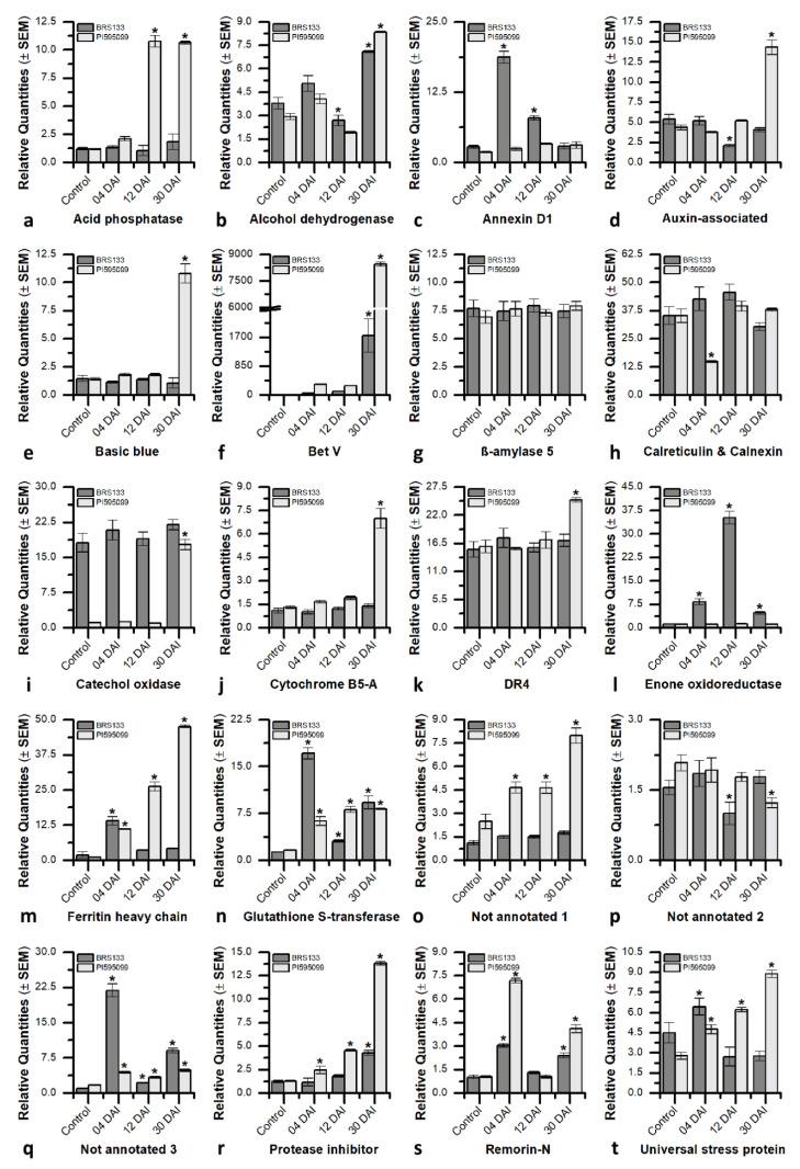
The root-knot nematode (RKN), , is a devastating soybean pathogen worldwide. The use of resistant cultivars is the most effective method to prevent economic losses caused by RKNs. To elucidate the mechanisms involved in resistance to RKN, we determined the proteome and transcriptome profiles from roots of susceptible (BRS133) and highly tolerant (PI 595099) genotypes 4, 12, and 30 days after RKN infestation. After in silico analysis, we described major defense molecules and mechanisms considered constitutive responses to nematode infestation, such as mTOR, PI3K-Akt, relaxin, and thermogenesis. The integrated data allowed us to identify protein families and metabolic pathways exclusively regulated in tolerant soybean genotypes. Among them, we highlighted the phenylpropanoid pathway as an early, robust, and systemic defense process capable of controlling reproduction. Associated with this metabolic pathway, 29 differentially expressed genes encoding 11 different enzymes were identified, mainly from the flavonoid and derivative pathways. Based on differential expression in transcriptomic and proteomic data, as well as in the expression profile by RT-qPCR, and previous studies, we selected and overexpressed the gene in transgenic tobacco to assess its protective effect against . Transgenic plants of the T generation showed up to 58% reduction in the reproduction factor. Finally, data suggest that overexpression can be effective against the plant parasitic nematode , but its mechanism of action remains unclear. These findings will help develop new engineered soybean genotypes with higher performance in response to RKN infections.

摘要

根结线虫(RKN)是一种在全球范围内对大豆具有毁灭性危害的病原体。使用抗性品种是防止根结线虫造成经济损失的最有效方法。为了阐明抗根结线虫的机制,我们测定了感病(BRS133)和高耐受性(PI 595099)基因型在根结线虫侵染后4天、12天和30天的蛋白质组和转录组图谱。经过计算机分析,我们描述了主要的防御分子和机制,这些被认为是对线虫侵染的组成性反应,如mTOR、PI3K-Akt、松弛素和产热作用。整合的数据使我们能够识别在耐受性大豆基因型中专门调控的蛋白质家族和代谢途径。其中,我们强调苯丙烷类途径是一种能够控制繁殖的早期、强大且系统性的防御过程。与该代谢途径相关,鉴定出29个差异表达基因,编码11种不同的酶,主要来自类黄酮及其衍生物途径。基于转录组和蛋白质组数据中的差异表达,以及RT-qPCR的表达谱和先前的研究,我们在转基因烟草中选择并过表达了该基因,以评估其对根结线虫的保护作用。T代转基因植物的根结线虫繁殖系数降低了58%。最后,数据表明该基因的过表达对植物寄生线虫根结线虫可能有效,但其作用机制仍不清楚。这些发现将有助于培育对根结线虫感染具有更高抗性的新型工程大豆基因型。

https://cdn.ncbi.nlm.nih.gov/pmc/blobs/7fb7/9612212/fa97ea2b76a6/plants-11-02744-g001.jpg

文献AI研究员

20分钟写一篇综述,助力文献阅读效率提升50倍。

立即体验

用中文搜PubMed

大模型驱动的PubMed中文搜索引擎

马上搜索

文档翻译

学术文献翻译模型,支持多种主流文档格式。

立即体验