Ruangapirom Lucksica, Sutivijit Nannapat, Teerapakpinyo Chinachote, Mutirangura Apiwat, Doungkamchan Chatchanan
Department of Anatomy, Faculty of Medicine, Chulalongkorn University, Bangkok 10330, Thailand.
Doctor of Medicine Program, Faculty of Medicine, Chulalongkorn University, Bangkok 10330, Thailand.
Vaccines (Basel). 2022 Sep 22;10(10):1597. doi: 10.3390/vaccines10101597.
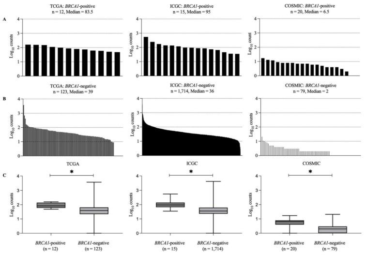
Personalized neoantigen-based cancer vaccines have been shown to be safe and immunogenic in cancer patients; however, the manufacturing process can be costly and bring about delays in treatment. Using off-the-shelf cancer vaccines targeting shared neoantigens may circumvent these problems. Unique mutational signatures and similar phenotypes found among -mutated breast cancer make it an ideal candidate for discovering shared neoantigens within the group. We obtained genome sequencing data of breast cancer samples with or without somatic mutations (-positive and -negative, respectively) from the three public cancer databases; The Cancer Genome Atlas (TCGA), International Cancer Genome Consortium (ICGC), and Catalogue of Somatic Mutations in Cancer (COSMIC); and from three studies with whole genome/exome sequencing data of samples with germline mutations. Data were analyzed separately within the same database/cohort. We found H1047R, E545K, E542K, and N345K recurrently in -negative groups across all databases, whereas recurrent somatic mutations in -positive groups were discordant among databases. For germline -mutated breast cancer, R175H was unanimously the most frequent mutation among the three germline cohorts. Our study provides lists of potential shared neoantigens among -related breast cancer, which may be used in developing off-the-shelf neoantigen-based vaccines.
基于个性化新抗原的癌症疫苗已被证明在癌症患者中是安全且具有免疫原性的;然而,其生产过程可能成本高昂并导致治疗延迟。使用针对共享新抗原的现成癌症疫苗可能会规避这些问题。在三阴性乳腺癌中发现的独特突变特征和相似表型使其成为在该组中发现共享新抗原的理想候选者。我们从三个公共癌症数据库,即癌症基因组图谱(TCGA)、国际癌症基因组联盟(ICGC)和癌症体细胞突变目录(COSMIC),以及三项具有种系BRCA1/2突变样本的全基因组/外显子组测序数据的研究中,获取了有或没有体细胞BRCA1/2突变(分别为BRCA1/2阳性和阴性)的乳腺癌样本的基因组测序数据。数据在同一数据库/队列中分别进行分析。我们在所有数据库的BRCA1/2阴性组中反复发现H1047R、E545K、E542K和N345K,而BRCA1/2阳性组中的反复体细胞突变在各数据库之间不一致。对于种系BRCA1/2突变的乳腺癌,R175H在三个种系队列中一致是最常见的突变。我们的研究提供了三阴性相关乳腺癌中潜在共享新抗原的列表,可用于开发基于现成新抗原的疫苗。