Psychology, University of Pittsburgh, USA; Center for Neural Basis of Cognition, University of Pittsburgh, USA.
Center for Neural Basis of Cognition, University of Pittsburgh, USA; Psychiatry, University of Pittsburgh, USA; Bioengineering, University of Pittsburgh, USA.
Dev Cogn Neurosci. 2022 Dec;58:101162. doi: 10.1016/j.dcn.2022.101162. Epub 2022 Oct 14.
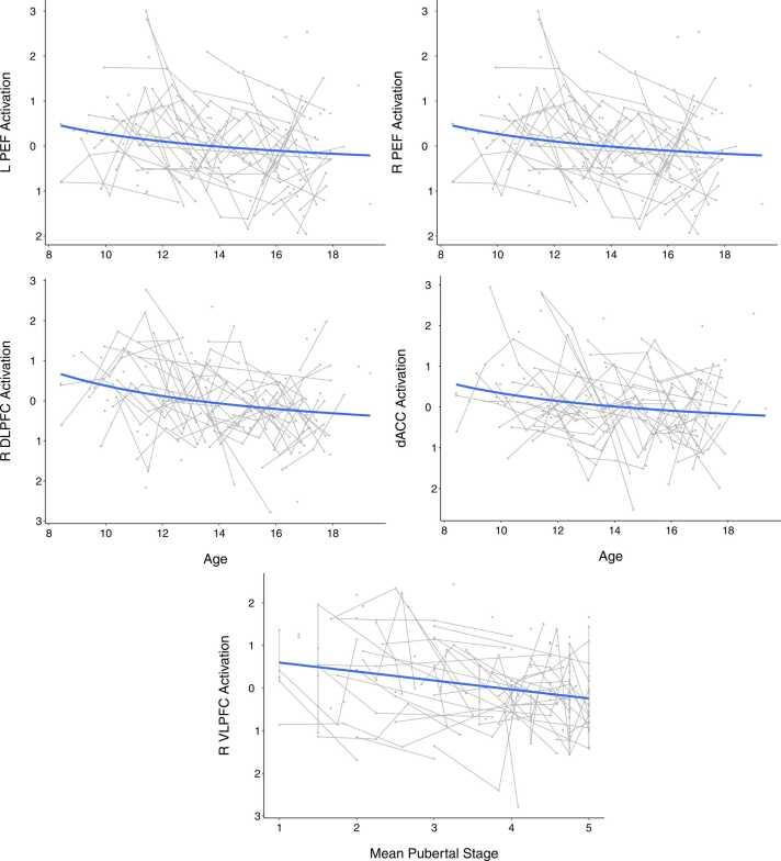
Inhibitory control improves into young adulthood after specialization of relevant brain systems during adolescence. However, the biological mechanisms supporting this unique transition are not well understood. Given that adolescence is defined by puberty, we examined relative contributions of chronological age and pubertal maturation to inhibitory control development. 105 8-19-year-olds completed 1-5 longitudinal visits (227 visits total) in which pubertal development was assessed via self-reported Tanner stage and inhibitory control was assessed with an in-scanner antisaccade task. As expected, percentage and latency of correct antisaccade responses improved with age and pubertal stage. When controlling for pubertal stage, chronological age was distinctly associated with correct response rate. In contrast, pubertal stage was uniquely associated with antisaccade latency even when controlling for age. Chronological age was associated with fMRI task activation in several regions including the right dorsolateral prefrontal cortex, while puberty was associated with right ventrolateral prefrontal cortex (VLPFC) activation. Furthermore, task-related connectivity between VLPFC and cingulate was associated with both pubertal stage and response latency. These results suggest that while age-related developmental processes may support maturation of brain systems underlying the ability to inhibit a response, puberty may play a larger role in the effectiveness of generating cognitive control responses.
抑制控制在青春期相关大脑系统专业化后会进入青年期。然而,支持这种独特转变的生物学机制尚不清楚。鉴于青春期的定义是青春期,我们研究了年龄和青春期成熟度对抑制控制发展的相对贡献。105 名 8-19 岁的参与者完成了 1-5 次纵向访问(共 227 次访问),其中通过自我报告的 Tanner 阶段评估青春期发育,通过眼动仪中的反扫视任务评估抑制控制。正如预期的那样,正确反扫视反应的百分比和潜伏期随着年龄和青春期阶段的发展而提高。当控制青春期阶段时,年龄与正确反应率明显相关。相比之下,即使控制年龄,青春期阶段也与反扫视潜伏期有独特的关联。年龄与包括右侧背外侧前额叶皮层在内的几个区域的 fMRI 任务激活有关,而青春期与右侧腹外侧前额叶皮层(VLPFC)激活有关。此外,VLPFC 和扣带之间的与任务相关的连通性与青春期阶段和反应潜伏期都有关。这些结果表明,虽然与年龄相关的发育过程可能支持抑制反应能力的大脑系统成熟,但青春期可能在产生认知控制反应的有效性方面发挥更大的作用。