Suppr超能文献

双能 X 射线吸收法进行身体成分评估:诊断脂肪水肿的有用工具。

Body Composition Assessment by Dual-Energy X-Ray Absorptiometry: A Useful Tool for the Diagnosis of Lipedema.

机构信息

Angiology Division, Heart and Vessels Department, Lausanne University Hospital, University of Lausanne, Lausanne, Switzerland,

Endocrinology, Diabetology and Metabolism Division, Medicine Department, Lausanne University Hospital, University of Lausanne, Lausanne, Switzerland.

出版信息

Obes Facts. 2022;15(6):762-773. doi: 10.1159/000527138. Epub 2022 Oct 28.

Abstract

INTRODUCTION

Lipedema is a poorly known condition. Diagnosis is based almost exclusively on clinical criteria, which may be subjective and not always reliable. This study aimed to investigate regional body composition (BC) by dual-energy X-ray absorptiometry (DXA) in patients with lipedema and healthy controls and to determine cut-off values of fat mass (FM) indices to provide an additional tool for the diagnosis and staging of this condition.

METHODS

This study is a single-center case-control study performed at Lausanne University Hospital, Switzerland. Women with clinically diagnosed lipedema underwent regional BC assessment by DXA. The control group without clinical lipedema was matched for age and body mass index (BMI) at a ratio of 1:2 and underwent similar examination. Regional FM (legs, arms, legs and arms, trunk, android and gynoid FM) was measured in (kg) and divided by FM index (FMI) (kg/m2) and total FM (kg). The trunk/legs and android/gynoid ratios were calculated. For all indices of FM distribution showing a significant difference between cases and controls, we defined the receiver operating characteristic (ROC) curves, calculating the area under the curve (AUC), sensitivity, specificity, and Youden's index. Types and stages of lipedema were compared in terms of FM indices. Correlation analyses between all FM distribution indices and lipedema stages were performed.

RESULTS

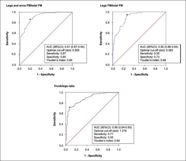
We included 222 women (74 with lipedema and 148 controls). Overall, the mean age was 41 years (standard deviation [SD] 11), and mean BMI was 30.9 kg/m2 (SD 7.6). A statistically significant difference was observed for all DXA-derived indices of FM distribution between groups, except for arm FM indices. The ROC curve analysis of leg FM/total FM, as a potential indicator of lipedema, resulted in an AUC of 0.90 (95% confidence interval 0.86-0.94). According to Youden's index, optimal cut-off value identifying lipedema was 0.384. Sensitivity and specificity were 0.95 and 0.73, respectively. We found no significant differences between lipedema types and stages in terms of FM indices, nor significant correlations between the latter and lipedema stages.

DISCUSSION/CONCLUSION: BC assessment by DXA, and particularly calculation of the leg FM/total FM index, is a simple tool that may help clinicians rule out lipedema in doubtful cases.

摘要

简介

脂肪营养不良是一种鲜为人知的疾病。诊断几乎完全基于临床标准,这些标准可能具有主观性,并不总是可靠的。本研究旨在通过双能 X 射线吸收法(DXA)检测脂肪营养不良患者和健康对照组的局部体成分(BC),并确定脂肪质量(FM)指数的截断值,为该疾病的诊断和分期提供额外的工具。

方法

这是一项在瑞士洛桑大学医院进行的单中心病例对照研究。临床诊断为脂肪营养不良的女性接受 DXA 进行局部 BC 评估。无临床脂肪营养不良的对照组按年龄和体重指数(BMI)以 1:2 的比例匹配,并进行类似的检查。测量腿部、手臂、腿部和手臂、躯干、安卓和女性 FM 的局部 FM(kg),并将其除以 FM 指数(FMI)(kg/m2)和总 FM(kg)。计算躯干/腿部和安卓/女性 FM 比值。对于在病例和对照组之间显示出显著差异的所有 FM 分布指数,我们定义了接收者操作特征(ROC)曲线,计算曲线下面积(AUC)、灵敏度、特异性和 Youden 指数。根据 FM 指数比较脂肪营养不良的类型和阶段。对所有 FM 分布指数与脂肪营养不良阶段之间的相关性进行分析。

结果

我们纳入了 222 名女性(74 名脂肪营养不良患者和 148 名对照组)。总体而言,平均年龄为 41 岁(标准差 [SD] 11),平均 BMI 为 30.9 kg/m2(SD 7.6)。除手臂 FM 指数外,两组之间所有基于 DXA 的 FM 分布指数均存在统计学显著差异。腿部 FM/总 FM 的 ROC 曲线分析作为脂肪营养不良的潜在指标,其 AUC 为 0.90(95%置信区间 0.86-0.94)。根据 Youden 指数,确定脂肪营养不良的最佳截断值为 0.384。灵敏度和特异性分别为 0.95 和 0.73。我们没有发现脂肪营养不良类型和阶段在 FM 指数方面存在显著差异,也没有发现后者与脂肪营养不良阶段之间存在显著相关性。

讨论/结论:DXA 进行 BC 评估,特别是计算腿部 FM/总 FM 指数,是一种简单的工具,可以帮助临床医生排除可疑病例中的脂肪营养不良。

https://cdn.ncbi.nlm.nih.gov/pmc/blobs/e83f/9801362/0b1cc01c656f/ofa-0015-0762-g01.jpg

文献AI研究员

20分钟写一篇综述,助力文献阅读效率提升50倍。

立即体验

用中文搜PubMed

大模型驱动的PubMed中文搜索引擎

马上搜索

文档翻译

学术文献翻译模型,支持多种主流文档格式。

立即体验