• 文献检索
  • 文档翻译
  • 深度研究
  • 学术资讯
  • Suppr Zotero 插件Zotero 插件
  • 邀请有礼
  • 套餐&价格
  • 历史记录
应用&插件
Suppr Zotero 插件Zotero 插件浏览器插件Mac 客户端Windows 客户端微信小程序
定价
高级版会员购买积分包购买API积分包
服务
文献检索文档翻译深度研究API 文档MCP 服务
关于我们
关于 Suppr公司介绍联系我们用户协议隐私条款
关注我们

Suppr 超能文献

核心技术专利:CN118964589B侵权必究
粤ICP备2023148730 号-1Suppr @ 2026

文献检索

告别复杂PubMed语法,用中文像聊天一样搜索,搜遍4000万医学文献。AI智能推荐,让科研检索更轻松。

立即免费搜索

文件翻译

保留排版,准确专业,支持PDF/Word/PPT等文件格式,支持 12+语言互译。

免费翻译文档

深度研究

AI帮你快速写综述,25分钟生成高质量综述,智能提取关键信息,辅助科研写作。

立即免费体验

基于低成本SYBR Green的逆转录定量聚合酶链反应检测法,使用世界卫生组织推荐的引物在印度尼西亚环境中检测严重急性呼吸综合征冠状病毒2。

Low-cost SYBR Green-based RT-qPCR assay for detecting SARS-CoV-2 in an Indonesian setting using WHO-recommended primers.

作者信息

Rahmasari Ratika, Raekiansyah Muhareva, Azallea Syifa Naura, Nethania Marvella, Bilqisthy Navany, Rozaliyani Anna, Bowolaksono Anom, Sauriasari Rani

机构信息

Microbiology and Biotechnology Laboratory, Faculty of Pharmacy, Universitas Indonesia, Depok 16424, West Java, Indonesia.

Helix Laboratory & Clinic, Indonesia.

出版信息

Heliyon. 2022 Oct 29;8(11):e11130. doi: 10.1016/j.heliyon.2022.e11130. eCollection 2022 Nov.

DOI:10.1016/j.heliyon.2022.e11130
PMID:36339747
原文链接:https://pmc.ncbi.nlm.nih.gov/articles/PMC9617658/
Abstract

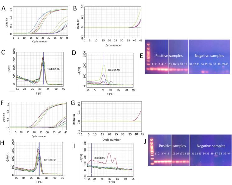
Severe acute respiratory syndrome coronavirus 2 (SARS-CoV-2) is the causative agent for the ongoing coronavirus disease 2019 (COVID-19) pandemic. For laboratory diagnosis, low-cost detection of SARS-CoV-2 is urgently needed, particularly in developing countries with limited resources. Probe- or TaqMan-based real-time reverse transcription polymerase chain reaction (RT-qPCR) is currently the gold standard for diagnosing infected individuals, as recommended by the World Health Organization (WHO). However, this assay is expensive, making it difficult to use for diagnosis on a large scale. Therefore, in this study, we develop and validate an alternative approach for RT-qPCR diagnosis by employing the DNA intercalating dye SYBR Green. We evaluate and use two WHO-recommended primers, namely CCDC-N and HKU-ORF1b-nsp14. The compatibility of the two primers was tested with Indonesian SARS-CoV-2 genome sequences retrieved from the GISAID database and using bioinformatic tools. Using -transcribed RNA, optimization, sensitivity, and linearity of the two assays targeting the N and Nsp-14 genes were carried out. For further evaluation, we used clinical samples from patients and performed the SYBR Green-based RT-qPCR assay protocol in parallel with TaqMan-based commercial assay. Our results show that our methodology performs similarly to the broadly used TaqMan-based detection method in terms of specificity and sensitivity and thus offers an alternative assay for the detection of SARS-CoV-2 RNA for diagnostic purposes.

摘要

严重急性呼吸综合征冠状病毒2(SARS-CoV-2)是正在流行的2019冠状病毒病(COVID-19)的病原体。对于实验室诊断,迫切需要低成本检测SARS-CoV-2,特别是在资源有限的发展中国家。基于探针或TaqMan的实时逆转录聚合酶链反应(RT-qPCR)是世界卫生组织(WHO)推荐的目前诊断感染者的金标准。然而,该检测方法成本高昂,难以大规模用于诊断。因此,在本研究中,我们开发并验证了一种采用DNA嵌入染料SYBR Green进行RT-qPCR诊断的替代方法。我们评估并使用了两种WHO推荐的引物,即CCDC-N和HKU-ORF1b-nsp14。使用从GISAID数据库检索的印度尼西亚SARS-CoV-2基因组序列并利用生物信息学工具测试了这两种引物的兼容性。使用转录RNA,对靶向N基因和Nsp-14基因的两种检测方法进行了优化、灵敏度和线性分析。为了进一步评估,我们使用了患者的临床样本,并与基于TaqMan的商业检测方法并行进行基于SYBR Green的RT-qPCR检测方案。我们的结果表明,我们的方法在特异性和灵敏度方面与广泛使用的基于TaqMan的检测方法表现相似,因此为诊断目的检测SARS-CoV-2 RNA提供了一种替代检测方法。

https://cdn.ncbi.nlm.nih.gov/pmc/blobs/2cc5/9636443/2d4858fc351a/gr6.jpg
https://cdn.ncbi.nlm.nih.gov/pmc/blobs/2cc5/9636443/6cc4e9acc79c/gr1.jpg
https://cdn.ncbi.nlm.nih.gov/pmc/blobs/2cc5/9636443/851a40f7cdb0/gr2.jpg
https://cdn.ncbi.nlm.nih.gov/pmc/blobs/2cc5/9636443/a5516772551d/gr3.jpg
https://cdn.ncbi.nlm.nih.gov/pmc/blobs/2cc5/9636443/bf986d143b40/gr4.jpg
https://cdn.ncbi.nlm.nih.gov/pmc/blobs/2cc5/9636443/252e65308135/gr5.jpg
https://cdn.ncbi.nlm.nih.gov/pmc/blobs/2cc5/9636443/2d4858fc351a/gr6.jpg
https://cdn.ncbi.nlm.nih.gov/pmc/blobs/2cc5/9636443/6cc4e9acc79c/gr1.jpg
https://cdn.ncbi.nlm.nih.gov/pmc/blobs/2cc5/9636443/851a40f7cdb0/gr2.jpg
https://cdn.ncbi.nlm.nih.gov/pmc/blobs/2cc5/9636443/a5516772551d/gr3.jpg
https://cdn.ncbi.nlm.nih.gov/pmc/blobs/2cc5/9636443/bf986d143b40/gr4.jpg
https://cdn.ncbi.nlm.nih.gov/pmc/blobs/2cc5/9636443/252e65308135/gr5.jpg
https://cdn.ncbi.nlm.nih.gov/pmc/blobs/2cc5/9636443/2d4858fc351a/gr6.jpg

相似文献

1
Low-cost SYBR Green-based RT-qPCR assay for detecting SARS-CoV-2 in an Indonesian setting using WHO-recommended primers.基于低成本SYBR Green的逆转录定量聚合酶链反应检测法,使用世界卫生组织推荐的引物在印度尼西亚环境中检测严重急性呼吸综合征冠状病毒2。
Heliyon. 2022 Oct 29;8(11):e11130. doi: 10.1016/j.heliyon.2022.e11130. eCollection 2022 Nov.
2
Development and validation of cost-effective SYBR Green-based RT-qPCR and its evaluation in a sample pooling strategy for detecting SARS-CoV-2 infection in the Indonesian setting.开发和验证具有成本效益的 SYBR Green 实时 RT-qPCR,并在印度尼西亚的样本混合策略中评估其检测 SARS-CoV-2 感染的效果。
Sci Rep. 2024 Jan 20;14(1):1817. doi: 10.1038/s41598-024-52250-w.
3
Lower cost alternatives for molecular diagnosis of COVID-19: conventional RT-PCR and SYBR Green-based RT-qPCR.用于 COVID-19 分子诊断的低成本替代方法:常规 RT-PCR 和基于 SYBR Green 的 RT-qPCR。
Braz J Microbiol. 2020 Sep;51(3):1117-1123. doi: 10.1007/s42770-020-00347-5. Epub 2020 Aug 7.
4
Evaluation of SYBR Green real time PCR for detecting SARS-CoV-2 from clinical samples.实时荧光定量 SYBR Green PCR 法检测临床样本中 SARS-CoV-2 方法的评价。
J Virol Methods. 2021 Mar;289:114035. doi: 10.1016/j.jviromet.2020.114035. Epub 2020 Dec 4.
5
In silico evaluation of the impact of Omicron variant of concern sublineage BA.4 and BA.5 on the sensitivity of RT-qPCR assays for SARS-CoV-2 detection using whole genome sequencing.基于全基因组测序的奥密克戎变异株 BA.4 和 BA.5 对 SARS-CoV-2 检测 RT-qPCR 检测方法敏感性影响的计算机评估。
J Med Virol. 2023 Jan;95(1):e28241. doi: 10.1002/jmv.28241. Epub 2022 Nov 8.
6
Comparison of analytical sensitivity and efficiency for SARS-CoV-2 primer sets by TaqMan-based and SYBR Green-based RT-qPCR.基于 TaqMan 和 SYBR Green 的 RT-qPCR 法检测 SARS-CoV-2 引物的分析灵敏度和效率比较。
Appl Microbiol Biotechnol. 2022 Mar;106(5-6):2207-2218. doi: 10.1007/s00253-022-11822-4. Epub 2022 Feb 26.
7
A DNA intercalating dye-based RT-qPCR alternative to diagnose SARS-CoV-2.一种基于 DNA 插入染料的 RT-qPCR 替代方法,用于诊断 SARS-CoV-2。
RNA Biol. 2021 Dec;18(12):2218-2225. doi: 10.1080/15476286.2021.1926648. Epub 2021 May 26.
8
Deepening of In Silico Evaluation of SARS-CoV-2 Detection RT-qPCR Assays in the Context of New Variants.在新变种背景下对严重急性呼吸综合征冠状病毒2(SARS-CoV-2)检测逆转录定量聚合酶链反应(RT-qPCR)检测方法进行深入的计算机模拟评估
Genes (Basel). 2021 Apr 13;12(4):565. doi: 10.3390/genes12040565.
9
Development and validation of an in-house, low-cost SARS-CoV-2 detection assay.开发和验证一种内部、低成本的 SARS-CoV-2 检测方法。
J Infect Public Health. 2021 Sep;14(9):1139-1143. doi: 10.1016/j.jiph.2021.07.009. Epub 2021 Jul 15.
10
Detection and Quantification of SARS-CoV-2 by Real-Time RT-PCR Assay.通过实时逆转录聚合酶链反应检测和定量严重急性呼吸综合征冠状病毒2
Methods Mol Biol. 2022;2452:75-98. doi: 10.1007/978-1-0716-2111-0_6.

引用本文的文献

1
Development of an identity test for COVID-19 mRNA vaccines using SARS-CoV-2 NAT standard.利用严重急性呼吸综合征冠状病毒2核酸检测标准开发新冠mRNA疫苗身份验证测试。
Biosaf Health. 2025 Jul 16;7(4):224-227. doi: 10.1016/j.bsheal.2025.07.007. eCollection 2025 Aug.
2
High Concordance Between SYBR Green and TaqMan PCR for SARS-CoV-2 Detection in Nasopharyngeal and Saliva Samples.用于检测鼻咽和唾液样本中新型冠状病毒的SYBR Green法与TaqMan PCR法具有高度一致性。
Viruses. 2025 Aug 18;17(8):1130. doi: 10.3390/v17081130.
3
Detection and Quantification of Soil-Borne Wheat Mosaic Virus, Soil-Borne Cereal Mosaic Virus and Japanese Soil-Borne Wheat Mosaic Virus by ELISA and One-Step SYBR Green Real-Time Quantitative RT-PCR.

本文引用的文献

1
Covid-19: Indonesia becomes Asia's new pandemic epicentre as delta variant spreads.新冠疫情:随着德尔塔变种毒株传播,印度尼西亚成为亚洲新的疫情中心。
BMJ. 2021 Jul 16;374:n1815. doi: 10.1136/bmj.n1815.
2
Genome-Wide Analysis of Codon Usage Patterns of SARS-CoV-2 Virus Reveals Global Heterogeneity of COVID-19.全基因组分析揭示了 SARS-CoV-2 病毒密码子使用模式的全球异质性,表明 COVID-19 具有全球差异性。
Biomolecules. 2021 Jun 18;11(6):912. doi: 10.3390/biom11060912.
3
SARS-CoV-2: Possible recombination and emergence of potentially more virulent strains.
酶联免疫吸附测定法和一步 SYBR Green 实时荧光定量 RT-PCR 检测和定量土壤传播小麦花叶病毒、土壤传播禾谷类花叶病毒和日本土传小麦花叶病毒。
Viruses. 2024 Oct 8;16(10):1579. doi: 10.3390/v16101579.
4
A one-step low-cost molecular test for SARS-CoV-2 detection suitable for community testing using minimally processed saliva.一种用于检测新型冠状病毒的一步式低成本分子检测方法,适用于使用最少处理的唾液进行社区检测。
Biol Methods Protoc. 2024 May 22;9(1):bpae035. doi: 10.1093/biomethods/bpae035. eCollection 2024.
5
Development and validation of cost-effective SYBR Green-based RT-qPCR and its evaluation in a sample pooling strategy for detecting SARS-CoV-2 infection in the Indonesian setting.开发和验证具有成本效益的 SYBR Green 实时 RT-qPCR,并在印度尼西亚的样本混合策略中评估其检测 SARS-CoV-2 感染的效果。
Sci Rep. 2024 Jan 20;14(1):1817. doi: 10.1038/s41598-024-52250-w.
SARS-CoV-2:可能的重组和潜在更具毒性株的出现。
PLoS One. 2021 May 25;16(5):e0251368. doi: 10.1371/journal.pone.0251368. eCollection 2021.
4
Comparison of SARS-CoV-2 indirect and direct RT-qPCR detection methods.SARS-CoV-2 间接和直接 RT-qPCR 检测方法的比较。
Virol J. 2021 May 17;18(1):99. doi: 10.1186/s12985-021-01574-4.
5
A DNA intercalating dye-based RT-qPCR alternative to diagnose SARS-CoV-2.一种基于 DNA 插入染料的 RT-qPCR 替代方法,用于诊断 SARS-CoV-2。
RNA Biol. 2021 Dec;18(12):2218-2225. doi: 10.1080/15476286.2021.1926648. Epub 2021 May 26.
6
A new SYBR Green real-time PCR to detect SARS-CoV-2.一种用于检测 SARS-CoV-2 的新型 SYBR Green 实时 PCR 方法。
Sci Rep. 2021 Jan 26;11(1):2224. doi: 10.1038/s41598-021-81245-0.
7
Evaluation of SYBR Green real time PCR for detecting SARS-CoV-2 from clinical samples.实时荧光定量 SYBR Green PCR 法检测临床样本中 SARS-CoV-2 方法的评价。
J Virol Methods. 2021 Mar;289:114035. doi: 10.1016/j.jviromet.2020.114035. Epub 2020 Dec 4.
8
Mutations on COVID-19 diagnostic targets.新冠病毒诊断靶标突变。
Genomics. 2020 Nov;112(6):5204-5213. doi: 10.1016/j.ygeno.2020.09.028. Epub 2020 Sep 20.
9
Analytical sensitivity and efficiency comparisons of SARS-CoV-2 RT-qPCR primer-probe sets.SARS-CoV-2 RT-qPCR 引物探针组合的分析灵敏度和效率比较。
Nat Microbiol. 2020 Oct;5(10):1299-1305. doi: 10.1038/s41564-020-0761-6. Epub 2020 Jul 10.
10
Performance Assessment of SARS-CoV-2 PCR Assays Developed by WHO Referral Laboratories.世界卫生组织指定实验室研发的新型冠状病毒聚合酶链式反应检测方法的性能评估
J Clin Med. 2020 Jun 16;9(6):1871. doi: 10.3390/jcm9061871.