Department of Theoretical and Applied Sciences (DiSTA), University of Insubria, Via G.B. Vico 46, 21100, Varese, Italy.
Universidad Mayor de San Andrés (UMSA), IIDEPROQ, Calle 30, Cota Cota, La Paz, Bolivia.
Environ Sci Pollut Res Int. 2023 Feb;30(9):24377-24397. doi: 10.1007/s11356-022-23502-x. Epub 2022 Nov 7.
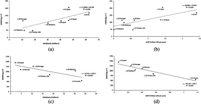
In Bolivia, construction and demolition waste (CDW) is unmanaged. The current research implemented a CDW flow analysis and a cost assessment in the city of La Paz, aiming to compare future recycling scenarios. Lack of data is challenging; therefore, a review of 31 international studies has been conducted. Results report that the waste generation rate (WGR) of concrete residential buildings can be of about 91.9-113.3 kg m for construction and about 867.2-1064.8 kg m for demolition. In addition, positive correlation was found in national WGR with number of inhabitants and the GDP. By these results, it was estimated that about 271,051-349,418 tonnes of CDW are potentially generated yearly in La Paz, about two times more than the CDW projected by local authorities. By the scenarios analysis, it was estimated that 56.1-71.1% of the inert aggregates can be recycled. The cost of the system is estimated between 7.8 and 31.1 USD t, for a total annual cost (20 years horizon) of about 2.3-9 million USD y depending on the management scenario. In the best scenario, an average fee of less than 1% of the current costs of a flat in La Paz can be required, potentially affordable for the local economy. The most attractive scenario involves the source separation of recyclable materials and the hybrid organization of stationary and mobile recycling facilities. Results show that a CDW management can be implemented in La Paz to foster a circular economy in developing cities.
在玻利维亚,建筑和拆除废物(CDW)未得到妥善管理。本研究旨在比较未来的回收方案,因此在拉巴斯市实施了 CDW 流量分析和成本评估,同时还对 31 项国际研究进行了回顾。由于缺乏数据,研究工作面临挑战。研究结果报告称,混凝土住宅建筑的废物产生率(WGR)在施工阶段约为 91.9-113.3 公斤/平方米,在拆除阶段约为 867.2-1064.8 公斤/平方米。此外,还发现国家 WGR 与居民人数和 GDP 呈正相关。根据这些结果,预计拉巴斯每年可能产生约 271,051-349,418 吨 CDW,是当地当局预计的两倍多。通过情景分析,估计约有 56.1-71.1%的惰性骨料可以回收利用。该系统的成本估计在 7.8 至 31.1 美元/吨之间,根据管理方案的不同,20 年的总成本(每年)约为 230 万至 910 万美元。在最佳方案中,可能只需要征收不到拉巴斯目前一套公寓费用 1%的平均费用,这对当地经济来说是可以承受的。最具吸引力的方案涉及可回收材料的源头分类和固定与移动回收设施的混合组织。结果表明,拉巴斯可以实施 CDW 管理,以促进发展中城市的循环经济。