Suppr超能文献

二甲双胍或二肽基肽酶 4 抑制剂对免疫检查点抑制剂治疗转移性非小细胞肺癌的临床结局的影响。

The effect of metformin or dipeptidyl peptidase 4 inhibitors on clinical outcomes in metastatic non-small cell lung cancer treated with immune checkpoint inhibitors.

机构信息

Department of Internal Medicine, Seoul National University Bundang Hospital, Seongnam, Republic of Korea.

Seoul National University College of Medicine, Seoul, Republic of Korea.

出版信息

Thorac Cancer. 2023 Jan;14(1):52-60. doi: 10.1111/1759-7714.14711. Epub 2022 Nov 9.

Abstract

BACKGROUND

Preclinical data have shown the immunomodulatory effects of metformin and dipeptidyl peptidase 4 (DPP4) inhibitors in patients with diabetes. However, its clinical impact remains unclear in lung cancer.

METHODS

Between 2017 and 2021, 466 patients received ICI monotherapy. Patients were categorized into concurrent (MET; metformin or combination of metformin and DPP4 inhibitor) and without concomitant (NMET; nonmetformin/DPP4 inhibitors) administration of metformin and DPP4 inhibitors groups at least 8 weeks before and during ICI therapy. The primary objectives were the objective response rate (ORR) and progression-free survival (PFS). The second objective was to evaluate the overall survival (OS) and the occurrence of immune-related adverse events (irAEs).

RESULTS

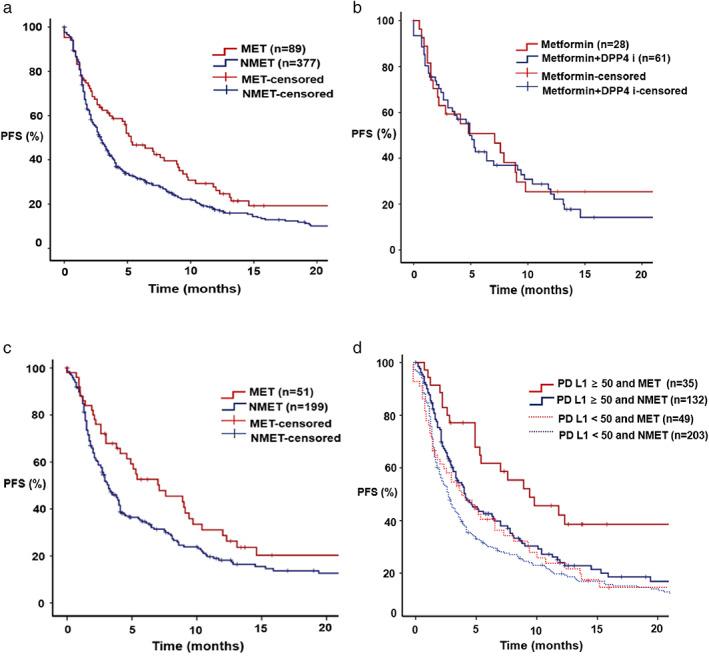
Among 466 patients, 89 (19.0%) and 377 (81%) were categorized into the MET and NMET groups, respectively. MET group had a significantly higher ORR (MET group: 24.7% vs. NMET group: 14.8%, p = 0.025) and longer PFS than those in the NMET group (MET group 5.1 month vs. NMET group 2.8 months, p = 0.018). After patients were stratified based on the prior line of therapy and PD L1 expression status, the PFS of the second-line therapy and PD L1 ≥50 was significantly higher in the MET than in the NMET group. The proportion of patients experiencing all-grade irAEs was numerically higher in the MET group (19.1%) than in the NMET group (14.3%), without statistical significance (p = 0.382).

CONCLUSIONS

Concurrent use of metformin and DPP4 inhibitors with ICIs significantly improved the clinical outcomes without increasing the incidence of irAEs in NSCLC.

摘要

背景

临床前数据表明,二甲双胍和二肽基肽酶 4(DPP4)抑制剂对糖尿病患者具有免疫调节作用。然而,其在肺癌中的临床影响尚不清楚。

方法

在 2017 年至 2021 年间,466 例患者接受了 ICI 单药治疗。患者被分为同时使用(MET;二甲双胍或二甲双胍和 DPP4 抑制剂联合使用)和不使用(NMET;非二甲双胍/DPP4 抑制剂)二甲双胍和 DPP4 抑制剂组,在 ICI 治疗前至少 8 周开始使用。主要目的是客观缓解率(ORR)和无进展生存期(PFS)。第二个目的是评估总生存期(OS)和免疫相关不良事件(irAEs)的发生情况。

结果

在 466 例患者中,89 例(19.0%)和 377 例(81%)被分为 MET 组和 NMET 组。MET 组的 ORR 明显更高(MET 组:24.7% vs. NMET 组:14.8%,p=0.025),PFS 也明显长于 NMET 组(MET 组 5.1 个月 vs. NMET 组 2.8 个月,p=0.018)。在根据先前的治疗线和 PD-L1 表达状态对患者进行分层后,MET 组的二线治疗和 PD-L1≥50 的 PFS 明显高于 NMET 组。MET 组发生所有级别 irAEs 的患者比例(19.1%)高于 NMET 组(14.3%),但差异无统计学意义(p=0.382)。

结论

在 NSCLC 中,与 ICIs 同时使用二甲双胍和 DPP4 抑制剂可显著改善临床结果,而不会增加 irAEs 的发生率。

https://cdn.ncbi.nlm.nih.gov/pmc/blobs/85d1/9807448/1f8e2d74689c/TCA-14-52-g002.jpg

文献AI研究员

20分钟写一篇综述,助力文献阅读效率提升50倍。

立即体验

用中文搜PubMed

大模型驱动的PubMed中文搜索引擎

马上搜索

文档翻译

学术文献翻译模型,支持多种主流文档格式。

立即体验