• 文献检索
  • 文档翻译
  • 深度研究
  • 学术资讯
  • Suppr Zotero 插件Zotero 插件
  • 邀请有礼
  • 套餐&价格
  • 历史记录
应用&插件
Suppr Zotero 插件Zotero 插件浏览器插件Mac 客户端Windows 客户端微信小程序
定价
高级版会员购买积分包购买API积分包
服务
文献检索文档翻译深度研究API 文档MCP 服务
关于我们
关于 Suppr公司介绍联系我们用户协议隐私条款
关注我们

Suppr 超能文献

核心技术专利:CN118964589B侵权必究
粤ICP备2023148730 号-1Suppr @ 2026

文献检索

告别复杂PubMed语法,用中文像聊天一样搜索,搜遍4000万医学文献。AI智能推荐,让科研检索更轻松。

立即免费搜索

文件翻译

保留排版,准确专业,支持PDF/Word/PPT等文件格式,支持 12+语言互译。

免费翻译文档

深度研究

AI帮你快速写综述,25分钟生成高质量综述,智能提取关键信息,辅助科研写作。

立即免费体验

极端大雾条件下热成像性能分析:在自动驾驶中的应用

Analysis of Thermal Imaging Performance under Extreme Foggy Conditions: Applications to Autonomous Driving.

作者信息

Rivera Velázquez Josué Manuel, Khoudour Louahdi, Saint Pierre Guillaume, Duthon Pierre, Liandrat Sébastien, Bernardin Frédéric, Fiss Sharon, Ivanov Igor, Peleg Raz

机构信息

Cerema Occitanie, Research Team "Intelligent Transport Systems", 1 Avenue du Colonel Roche, 31400 Toulouse, France.

Cerema Centre-Est, Research Team "Intelligent Transport Systems", 8-10, Rue Bernard Palissy, 63017 Clermont-Ferrand, France.

出版信息

J Imaging. 2022 Nov 9;8(11):306. doi: 10.3390/jimaging8110306.

DOI:10.3390/jimaging8110306
PMID:36354879
原文链接:https://pmc.ncbi.nlm.nih.gov/articles/PMC9699133/
Abstract

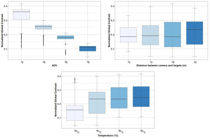
Object detection is recognized as one of the most critical research areas for the perception of self-driving cars. Current vision systems combine visible imaging, LIDAR, and/or RADAR technology, allowing perception of the vehicle's surroundings. However, harsh weather conditions mitigate the performances of these systems. Under these circumstances, thermal imaging becomes the complementary solution to current systems not only because it makes it possible to detect and recognize the environment in the most extreme conditions, but also because thermal images are compatible with detection and recognition algorithms, such as those based on artificial neural networks. In this paper, an analysis of the resilience of thermal sensors in very unfavorable fog conditions is presented. The goal was to study the operational limits, i.e., the very degraded fog situation beyond which a thermal camera becomes unreliable. For the analysis, the mean pixel intensity and the contrast were used as indicators. Results showed that the angle of view (AOV) of a thermal camera is a determining parameter for object detection in foggy conditions. Additionally, results show that cameras with AOVs 18° and 30° are suitable for object detection, even under thick fog conditions (from 13 m meteorological optical range). These results were extended using object detection software, with which it is shown that, for the pedestrian, a detection rate ≥90% was achieved using the images from the 18° and 30° cameras.

摘要

目标检测被认为是自动驾驶汽车感知领域最关键的研究领域之一。当前的视觉系统结合了可见光成像、激光雷达和/或雷达技术,能够感知车辆周围环境。然而,恶劣天气条件会降低这些系统的性能。在这种情况下,热成像成为当前系统的补充解决方案,这不仅是因为它能够在最极端条件下检测和识别环境,还因为热图像与检测和识别算法兼容,比如基于人工神经网络的算法。本文对在非常不利的雾天条件下热传感器的弹性进行了分析。目标是研究其操作极限,即热成像相机变得不可靠的非常恶劣的雾天情况。在分析中,平均像素强度和对比度被用作指标。结果表明,热成像相机的视角(AOV)是雾天条件下目标检测的一个决定性参数。此外,结果表明,视角为18°和30°的相机即使在浓雾条件下(气象光学视程为13米)也适合目标检测。使用目标检测软件对这些结果进行了扩展,结果表明,对于行人,使用18°和30°相机拍摄的图像实现了≥90%的检测率。

https://cdn.ncbi.nlm.nih.gov/pmc/blobs/5fc5/9699133/5b741e7f630d/jimaging-08-00306-g025.jpg
https://cdn.ncbi.nlm.nih.gov/pmc/blobs/5fc5/9699133/2c1d4af0d73d/jimaging-08-00306-g005.jpg
https://cdn.ncbi.nlm.nih.gov/pmc/blobs/5fc5/9699133/b78309b9bdff/jimaging-08-00306-g006.jpg
https://cdn.ncbi.nlm.nih.gov/pmc/blobs/5fc5/9699133/66b66db8ee2b/jimaging-08-00306-g007.jpg
https://cdn.ncbi.nlm.nih.gov/pmc/blobs/5fc5/9699133/acefa0f09557/jimaging-08-00306-g008.jpg
https://cdn.ncbi.nlm.nih.gov/pmc/blobs/5fc5/9699133/296e76c6a818/jimaging-08-00306-g009.jpg
https://cdn.ncbi.nlm.nih.gov/pmc/blobs/5fc5/9699133/2ab5e2ca10fb/jimaging-08-00306-g010.jpg
https://cdn.ncbi.nlm.nih.gov/pmc/blobs/5fc5/9699133/6e17aded37c7/jimaging-08-00306-g011.jpg
https://cdn.ncbi.nlm.nih.gov/pmc/blobs/5fc5/9699133/1e66eea08a84/jimaging-08-00306-g012.jpg
https://cdn.ncbi.nlm.nih.gov/pmc/blobs/5fc5/9699133/82263127395c/jimaging-08-00306-g013.jpg
https://cdn.ncbi.nlm.nih.gov/pmc/blobs/5fc5/9699133/0b291bab57f2/jimaging-08-00306-g014.jpg
https://cdn.ncbi.nlm.nih.gov/pmc/blobs/5fc5/9699133/e3ed0d1f83f2/jimaging-08-00306-g015.jpg
https://cdn.ncbi.nlm.nih.gov/pmc/blobs/5fc5/9699133/38604e5b012f/jimaging-08-00306-g016.jpg
https://cdn.ncbi.nlm.nih.gov/pmc/blobs/5fc5/9699133/a706ae1eacc9/jimaging-08-00306-g017.jpg
https://cdn.ncbi.nlm.nih.gov/pmc/blobs/5fc5/9699133/6ecaea7929c5/jimaging-08-00306-g018.jpg
https://cdn.ncbi.nlm.nih.gov/pmc/blobs/5fc5/9699133/57efb73917a8/jimaging-08-00306-g019.jpg
https://cdn.ncbi.nlm.nih.gov/pmc/blobs/5fc5/9699133/58f19eb27826/jimaging-08-00306-g020.jpg
https://cdn.ncbi.nlm.nih.gov/pmc/blobs/5fc5/9699133/9d512ff2888f/jimaging-08-00306-g021.jpg
https://cdn.ncbi.nlm.nih.gov/pmc/blobs/5fc5/9699133/646566aa397b/jimaging-08-00306-g022.jpg
https://cdn.ncbi.nlm.nih.gov/pmc/blobs/5fc5/9699133/0a4f5562d1d2/jimaging-08-00306-g023.jpg
https://cdn.ncbi.nlm.nih.gov/pmc/blobs/5fc5/9699133/71515d40bf7c/jimaging-08-00306-g024.jpg
https://cdn.ncbi.nlm.nih.gov/pmc/blobs/5fc5/9699133/5b741e7f630d/jimaging-08-00306-g025.jpg
https://cdn.ncbi.nlm.nih.gov/pmc/blobs/5fc5/9699133/2c1d4af0d73d/jimaging-08-00306-g005.jpg
https://cdn.ncbi.nlm.nih.gov/pmc/blobs/5fc5/9699133/b78309b9bdff/jimaging-08-00306-g006.jpg
https://cdn.ncbi.nlm.nih.gov/pmc/blobs/5fc5/9699133/66b66db8ee2b/jimaging-08-00306-g007.jpg
https://cdn.ncbi.nlm.nih.gov/pmc/blobs/5fc5/9699133/acefa0f09557/jimaging-08-00306-g008.jpg
https://cdn.ncbi.nlm.nih.gov/pmc/blobs/5fc5/9699133/296e76c6a818/jimaging-08-00306-g009.jpg
https://cdn.ncbi.nlm.nih.gov/pmc/blobs/5fc5/9699133/2ab5e2ca10fb/jimaging-08-00306-g010.jpg
https://cdn.ncbi.nlm.nih.gov/pmc/blobs/5fc5/9699133/6e17aded37c7/jimaging-08-00306-g011.jpg
https://cdn.ncbi.nlm.nih.gov/pmc/blobs/5fc5/9699133/1e66eea08a84/jimaging-08-00306-g012.jpg
https://cdn.ncbi.nlm.nih.gov/pmc/blobs/5fc5/9699133/82263127395c/jimaging-08-00306-g013.jpg
https://cdn.ncbi.nlm.nih.gov/pmc/blobs/5fc5/9699133/0b291bab57f2/jimaging-08-00306-g014.jpg
https://cdn.ncbi.nlm.nih.gov/pmc/blobs/5fc5/9699133/e3ed0d1f83f2/jimaging-08-00306-g015.jpg
https://cdn.ncbi.nlm.nih.gov/pmc/blobs/5fc5/9699133/38604e5b012f/jimaging-08-00306-g016.jpg
https://cdn.ncbi.nlm.nih.gov/pmc/blobs/5fc5/9699133/a706ae1eacc9/jimaging-08-00306-g017.jpg
https://cdn.ncbi.nlm.nih.gov/pmc/blobs/5fc5/9699133/6ecaea7929c5/jimaging-08-00306-g018.jpg
https://cdn.ncbi.nlm.nih.gov/pmc/blobs/5fc5/9699133/57efb73917a8/jimaging-08-00306-g019.jpg
https://cdn.ncbi.nlm.nih.gov/pmc/blobs/5fc5/9699133/58f19eb27826/jimaging-08-00306-g020.jpg
https://cdn.ncbi.nlm.nih.gov/pmc/blobs/5fc5/9699133/9d512ff2888f/jimaging-08-00306-g021.jpg
https://cdn.ncbi.nlm.nih.gov/pmc/blobs/5fc5/9699133/646566aa397b/jimaging-08-00306-g022.jpg
https://cdn.ncbi.nlm.nih.gov/pmc/blobs/5fc5/9699133/0a4f5562d1d2/jimaging-08-00306-g023.jpg
https://cdn.ncbi.nlm.nih.gov/pmc/blobs/5fc5/9699133/71515d40bf7c/jimaging-08-00306-g024.jpg
https://cdn.ncbi.nlm.nih.gov/pmc/blobs/5fc5/9699133/5b741e7f630d/jimaging-08-00306-g025.jpg

相似文献

1
Analysis of Thermal Imaging Performance under Extreme Foggy Conditions: Applications to Autonomous Driving.极端大雾条件下热成像性能分析:在自动驾驶中的应用
J Imaging. 2022 Nov 9;8(11):306. doi: 10.3390/jimaging8110306.
2
3D Object Detection with SLS-Fusion Network in Foggy Weather Conditions.雾天条件下基于SLS融合网络的3D目标检测
Sensors (Basel). 2021 Oct 9;21(20):6711. doi: 10.3390/s21206711.
3
3D object detection through fog and occlusion: passive integral imaging vs active (LiDAR) sensing.通过雾和遮挡进行3D目标检测:被动积分成像与主动(激光雷达)传感
Opt Express. 2023 Jan 2;31(1):479-491. doi: 10.1364/OE.478125.
4
Deep Multimodal Detection in Reduced Visibility Using Thermal Depth Estimation for Autonomous Driving.使用热景深估计进行自主驾驶的低能见度下深度多模态检测。
Sensors (Basel). 2022 Jul 6;22(14):5084. doi: 10.3390/s22145084.
5
Deep Camera-Radar Fusion with an Attention Framework for Autonomous Vehicle Vision in Foggy Weather Conditions.用于雾天条件下自动驾驶车辆视觉的具有注意力框架的深度相机-雷达融合
Sensors (Basel). 2023 Jul 9;23(14):6255. doi: 10.3390/s23146255.
6
Object Detection in Adverse Weather for Autonomous Driving through Data Merging and YOLOv8.通过数据融合和YOLOv8实现自动驾驶在恶劣天气下的目标检测
Sensors (Basel). 2023 Oct 14;23(20):8471. doi: 10.3390/s23208471.
7
Sensor and Sensor Fusion Technology in Autonomous Vehicles: A Review.自动驾驶车辆中的传感器与传感器融合技术:综述。
Sensors (Basel). 2021 Mar 18;21(6):2140. doi: 10.3390/s21062140.
8
Analysis of the Influence of Foggy Weather Environment on the Detection Effect of Machine Vision Obstacles.分析雾天环境对机器视觉障碍物检测效果的影响。
Sensors (Basel). 2020 Jan 8;20(2):349. doi: 10.3390/s20020349.
9
Speed choice and driving performance in simulated foggy conditions.模拟雾天条件下的速度选择与驾驶表现。
Accid Anal Prev. 2011 May;43(3):698-705. doi: 10.1016/j.aap.2010.10.014. Epub 2010 Dec 15.
10
Empirical Analysis of Autonomous Vehicle's LiDAR Detection Performance Degradation for Actual Road Driving in Rain and Fog.针对雨雾天实际道路行驶中自动驾驶车辆激光雷达检测性能衰减的实证分析。
Sensors (Basel). 2023 Mar 9;23(6):2972. doi: 10.3390/s23062972.

引用本文的文献

1
Multi-sensor fusion and segmentation for autonomous vehicle multi-object tracking using deep Q networks.使用深度Q网络的自动驾驶车辆多目标跟踪的多传感器融合与分割
Sci Rep. 2024 Dec 28;14(1):31130. doi: 10.1038/s41598-024-82356-0.
2
Improved Thermal Infrared Image Super-Resolution Reconstruction Method Base on Multimodal Sensor Fusion.基于多模态传感器融合的改进型热红外图像超分辨率重建方法
Entropy (Basel). 2023 Jun 9;25(6):914. doi: 10.3390/e25060914.
3
The Future of Mine Safety: A Comprehensive Review of Anti-Collision Systems Based on Computer Vision in Underground Mines.

本文引用的文献

1
3D Object Detection with SLS-Fusion Network in Foggy Weather Conditions.雾天条件下基于SLS融合网络的3D目标检测
Sensors (Basel). 2021 Oct 9;21(20):6711. doi: 10.3390/s21206711.
未来矿山安全:基于计算机视觉的地下矿山防撞系统综述
Sensors (Basel). 2023 Apr 26;23(9):4294. doi: 10.3390/s23094294.
4
3D Object Detection for Self-Driving Cars Using Video and LiDAR: An Ablation Study.自动驾驶汽车中基于视频和激光雷达的 3D 对象检测:消融研究。
Sensors (Basel). 2023 Mar 17;23(6):3223. doi: 10.3390/s23063223.