• 文献检索
  • 文档翻译
  • 深度研究
  • 学术资讯
  • Suppr Zotero 插件Zotero 插件
  • 邀请有礼
  • 套餐&价格
  • 历史记录
应用&插件
Suppr Zotero 插件Zotero 插件浏览器插件Mac 客户端Windows 客户端微信小程序
定价
高级版会员购买积分包购买API积分包
服务
文献检索文档翻译深度研究API 文档MCP 服务
关于我们
关于 Suppr公司介绍联系我们用户协议隐私条款
关注我们

Suppr 超能文献

核心技术专利:CN118964589B侵权必究
粤ICP备2023148730 号-1Suppr @ 2026

文献检索

告别复杂PubMed语法,用中文像聊天一样搜索,搜遍4000万医学文献。AI智能推荐,让科研检索更轻松。

立即免费搜索

文件翻译

保留排版,准确专业,支持PDF/Word/PPT等文件格式,支持 12+语言互译。

免费翻译文档

深度研究

AI帮你快速写综述,25分钟生成高质量综述,智能提取关键信息,辅助科研写作。

立即免费体验

常压低氧和高原低氧对认知表现和生理反应的影响:一项交叉研究。

The effects of normobaric and hypobaric hypoxia on cognitive performance and physiological responses: A crossover study.

机构信息

Rehabilitation and Exercise Science Laboratory (RES lab), Department of Business Economics, Health and Social Care, University of Applied Sciences and Arts of Southern Switzerland, Landquart, Switzerland.

International University of Applied Sciences THIM, Landquart, Switzerland.

出版信息

PLoS One. 2022 Nov 10;17(11):e0277364. doi: 10.1371/journal.pone.0277364. eCollection 2022.

DOI:10.1371/journal.pone.0277364
PMID:36355846
原文链接:https://pmc.ncbi.nlm.nih.gov/articles/PMC9648783/
Abstract

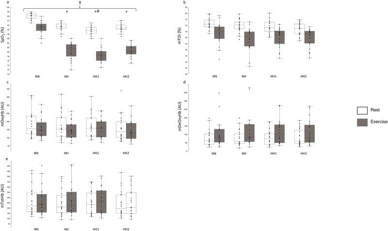
This partially randomised controlled, crossover study sought to investigate the effects of normobaric hypoxia (NH) and hypobaric hypoxia (HH) on cognitive performance, the physiological response at rest and after a 3-min step-test. Twenty healthy participants (10 females and 10 males, 27.6±6.2yrs, 73.6±13.7kg, 175.3±8.9cm) completed a cognitive performance test, followed by the modified Harvard-step protocol, in four environments: normobaric normoxia (NN; PiO2: 146.0±1.5mmHg), NH (PiO2: 100.9±1.3mmHg), HH at the first day of ascent (HH1: PiO2 = 105.6±0.4mmHg) and HH after an overnight stay (HH2: PiO2 = 106.0±0.5mmHg). At rest and/or exercise, SpO2, NIRS, and cardiovascular and perceptual data were collected. The cerebral tissue oxygenation index and the cognitive performance (throughput, accuracy, and reaction time) were not different between the hypoxic conditions (all p>0.05). In NH, SpO2 was higher compared to HH1 (ΔSpO2 NH vs HH1: 1.7±0.5%, p = 0.003) whilst heart rate (ΔHR NH vs HH2: 5.8±2.6 bpm, p = 0.03) and sympathetic activation (ΔSNSi NH vs HH2: 0.8±0.4, p = 0.03) were lower in NH compared to HH2. Heart rate (ΔHR HH1 vs HH2: 6.9±2.6 bpm, p = 0.01) and sympathetic action (ΔSNSi HH1 vs HH2: 0.9±0.4, p = 0.02) were both lower in HH1 compared to HH2. In conclusion, cognitive performance and cerebral oxygenation didn't differ between the hypoxic conditions. SpO2 was only higher in NH compared to HH1. In HH2, heart rate and sympathetic activation were higher compared to both NH and HH1. These conclusions account for a PiO2 between 100-106 mmHg.

摘要

本部分随机对照交叉研究旨在探讨常压低氧(NH)和低海拔低氧(HH)对认知表现、静息和 3 分钟台阶测试后生理反应的影响。20 名健康参与者(10 名女性和 10 名男性,27.6±6.2 岁,73.6±13.7kg,175.3±8.9cm)完成了认知表现测试,随后进行了改良哈佛台阶方案,在四种环境下进行:常压常氧(NN;PiO2:146.0±1.5mmHg)、NH(PiO2:100.9±1.3mmHg)、第一天上升时的 HH1(PiO2=105.6±0.4mmHg)和过夜后 HH2(PiO2=106.0±0.5mmHg)。在休息和/或运动时,收集 SpO2、NIRS、心血管和感知数据。在缺氧条件下,脑组织氧合指数和认知表现(吞吐量、准确性和反应时间)没有差异(所有 p>0.05)。在 NH 中,SpO2 高于 HH1(ΔSpO2 NH vs HH1:1.7±0.5%,p=0.003),而心率(ΔHR NH vs HH2:5.8±2.6bpm,p=0.03)和交感神经激活(ΔSNSi NH vs HH2:0.8±0.4,p=0.03)在 NH 中低于 HH2。与 HH2 相比,心率(ΔHR HH1 vs HH2:6.9±2.6bpm,p=0.01)和交感神经作用(ΔSNSi HH1 vs HH2:0.9±0.4,p=0.02)在 HH1 中均较低。总之,认知表现和脑氧合在缺氧条件下没有差异。与 HH1 相比,NH 中的 SpO2 仅较高。在 HH2 中,与 NH 和 HH1 相比,心率和交感神经激活更高。这些结论适用于 100-106mmHg 的 PiO2。

https://cdn.ncbi.nlm.nih.gov/pmc/blobs/55df/9648783/d8a581d44ec8/pone.0277364.g005.jpg
https://cdn.ncbi.nlm.nih.gov/pmc/blobs/55df/9648783/6878967682f8/pone.0277364.g001.jpg
https://cdn.ncbi.nlm.nih.gov/pmc/blobs/55df/9648783/8efb4eb1bab0/pone.0277364.g002.jpg
https://cdn.ncbi.nlm.nih.gov/pmc/blobs/55df/9648783/e8739ade2549/pone.0277364.g003.jpg
https://cdn.ncbi.nlm.nih.gov/pmc/blobs/55df/9648783/160f0b8ff4a6/pone.0277364.g004.jpg
https://cdn.ncbi.nlm.nih.gov/pmc/blobs/55df/9648783/d8a581d44ec8/pone.0277364.g005.jpg
https://cdn.ncbi.nlm.nih.gov/pmc/blobs/55df/9648783/6878967682f8/pone.0277364.g001.jpg
https://cdn.ncbi.nlm.nih.gov/pmc/blobs/55df/9648783/8efb4eb1bab0/pone.0277364.g002.jpg
https://cdn.ncbi.nlm.nih.gov/pmc/blobs/55df/9648783/e8739ade2549/pone.0277364.g003.jpg
https://cdn.ncbi.nlm.nih.gov/pmc/blobs/55df/9648783/160f0b8ff4a6/pone.0277364.g004.jpg
https://cdn.ncbi.nlm.nih.gov/pmc/blobs/55df/9648783/d8a581d44ec8/pone.0277364.g005.jpg

相似文献

1
The effects of normobaric and hypobaric hypoxia on cognitive performance and physiological responses: A crossover study.常压低氧和高原低氧对认知表现和生理反应的影响:一项交叉研究。
PLoS One. 2022 Nov 10;17(11):e0277364. doi: 10.1371/journal.pone.0277364. eCollection 2022.
2
A Four-Way Comparison of Cardiac Function with Normobaric Normoxia, Normobaric Hypoxia, Hypobaric Hypoxia and Genuine High Altitude.常氧常压、常压低氧、低压低氧和真实高原环境下心脏功能的四向比较
PLoS One. 2016 Apr 21;11(4):e0152868. doi: 10.1371/journal.pone.0152868. eCollection 2016.
3
Effect of 8 days of exercise-heat acclimation on aerobic exercise performance of men in hypobaric hypoxia.8 天的运动-热习服对低氧环境下男子有氧运动能力的影响。
Am J Physiol Regul Integr Comp Physiol. 2020 Jul 1;319(1):R114-R122. doi: 10.1152/ajpregu.00048.2020. Epub 2020 May 20.
4
Cardiorespiratory Response and Power Output During Submaximal Exercise in Normobaric Versus Hypobaric Hypoxia: A Pilot Study Using a Specific Chamber that Controls Environmental Factors.在常压低氧与低压低氧环境下亚极量运动中心肺反应和功率输出的比较:一项采用特定舱室控制环境因素的初步研究。
High Alt Med Biol. 2021 Jun;22(2):201-208. doi: 10.1089/ham.2020.0142. Epub 2021 Feb 16.
5
Comparison of "Live High-Train Low" in normobaric versus hypobaric hypoxia.常压低氧与模拟高原低氧环境下“高住低练”的比较
PLoS One. 2014 Dec 17;9(12):e114418. doi: 10.1371/journal.pone.0114418. eCollection 2014.
6
Independent effects of acute normobaric hypoxia and hypobaric hypoxia on human physiology.急性常压低氧和低气压低氧对人体生理的独立影响。
Sci Rep. 2022 Nov 15;12(1):19570. doi: 10.1038/s41598-022-23698-5.
7
Positive expiratory pressure improves arterial and cerebral oxygenation in acute normobaric and hypobaric hypoxia.呼气末正压可改善急性常压和低压缺氧时的动脉及脑氧合。
Am J Physiol Regul Integr Comp Physiol. 2019 Nov 1;317(5):R754-R762. doi: 10.1152/ajpregu.00025.2019. Epub 2019 Sep 18.
8
Skeletal Muscle mRNA Response to Hypobaric and Normobaric Hypoxia After Normoxic Endurance Exercise.常氧耐力运动后低、常压低氧对骨骼肌 mRNA 反应的影响。
High Alt Med Biol. 2019 Jun;20(2):141-149. doi: 10.1089/ham.2018.0147. Epub 2019 Apr 17.
9
Cardio-respiratory, oxidative stress and acute mountain sickness responses to normobaric and hypobaric hypoxia in prematurely born adults.早产儿在常压低氧和高原低氧环境下的心肺、氧化应激和急性高原病反应。
Eur J Appl Physiol. 2020 Jun;120(6):1341-1355. doi: 10.1007/s00421-020-04366-w. Epub 2020 Apr 8.
10
Similar Supine Heart Rate Variability Changes During 24-h Exposure to Normobaric vs. Hypobaric Hypoxia.24小时常压与低压缺氧暴露期间相似的仰卧心率变异性变化
Front Neurosci. 2021 Dec 9;15:777800. doi: 10.3389/fnins.2021.777800. eCollection 2021.

引用本文的文献

1
From hypoxic pockets to daily routines: linking brain oxygenation and cognitive resilience.从缺氧微环境到日常生活:连接大脑氧合与认知恢复力
Front Aging Neurosci. 2025 Jan 29;17:1534198. doi: 10.3389/fnagi.2025.1534198. eCollection 2025.
2
Effects of Acute Hypoxic Exposure in Simulated Altitude in Healthy Adults on Cognitive Performance: A Systematic Review and Meta-Analysis.健康成年人在模拟海拔高度下急性低氧暴露对认知表现的影响:一项系统评价和荟萃分析
Biology (Basel). 2024 Oct 17;13(10):835. doi: 10.3390/biology13100835.
3
A protocol to simultaneously examine cardiorespiratory, cerebrovascular and neurophysiological responses inside a hypobaric chamber.

本文引用的文献

1
Similar Supine Heart Rate Variability Changes During 24-h Exposure to Normobaric vs. Hypobaric Hypoxia.24小时常压与低压缺氧暴露期间相似的仰卧心率变异性变化
Front Neurosci. 2021 Dec 9;15:777800. doi: 10.3389/fnins.2021.777800. eCollection 2021.
2
From pigeon holes to descending spirals: a paradigm of physiology, cognitive performance and behaviour in extreme environments.从鸽巢到下降螺旋:极端环境下生理学、认知表现及行为的一种范式
Exp Physiol. 2021 Sep;106(9):1863-1864. doi: 10.1113/EP089938. Epub 2021 Aug 4.
3
Hypoxic Hypoxia and Brain Function in Military Aviation: Basic Physiology and Applied Perspectives.
一种在低压舱内同时检查心肺、脑血管和神经生理反应的方案。
PLoS One. 2024 Oct 24;19(10):e0312622. doi: 10.1371/journal.pone.0312622. eCollection 2024.
4
Cardiorespiratory Responses to Exercise in Hypobaric versus Normobaric Hypoxia: A Randomized, Single-Blind, Crossover Study.低氧与常压低氧环境下运动的心肺反应:一项随机、单盲、交叉研究。
Med Sci Sports Exerc. 2025 Mar 1;57(3):632-640. doi: 10.1249/MSS.0000000000003578. Epub 2024 Oct 4.
5
Acute hypoxia impairs posterior cerebral bioenergetics and memory in man.急性缺氧会损害人类大脑后部的生物能量代谢及记忆力。
Exp Physiol. 2023 Dec;108(12):1516-1530. doi: 10.1113/EP091245. Epub 2023 Oct 29.
军事航空中的低氧性缺氧与脑功能:基础生理学与应用视角
Front Physiol. 2021 May 17;12:665821. doi: 10.3389/fphys.2021.665821. eCollection 2021.
4
High-Altitude Adaptation: Mechanistic Insights from Integrated Genomics and Physiology.高海拔适应:综合基因组学和生理学的机制见解。
Mol Biol Evol. 2021 Jun 25;38(7):2677-2691. doi: 10.1093/molbev/msab064.
5
Cognitive Impairment During Combined Normobaric vs. Hypobaric and Normoxic vs. Hypoxic Acute Exposure.急性常压与低压暴露、常氧与低氧联合暴露期间的认知障碍
Aerosp Med Hum Perform. 2020 Nov 1;91(11):845-851. doi: 10.3357/AMHP.5616.2020.
6
CrossTalk proposal: Barometric pressure, independent of , is the forgotten parameter in altitude physiology and mountain medicine.相互影响提议:气压,独立于……,是高原生理学和高山医学中被遗忘的参数。 (注:原文中“independent of”后缺失具体内容)
J Physiol. 2020 Mar;598(5):893-896. doi: 10.1113/JP278673. Epub 2020 Feb 13.
7
CrossTalk opposing view: Barometric pressure, independent of , is not the forgotten parameter in altitude physiology and mountain medicine.相互矛盾的观点:与……无关的气压,并非高原生理学和高山医学中被遗忘的参数。 (你提供的原文中“independent of ”这里有缺失内容,以上译文是基于现有完整部分进行的翻译 )
J Physiol. 2020 Mar;598(5):897-899. doi: 10.1113/JP279160. Epub 2020 Feb 13.
8
Insomnia and Cognitive Performance.失眠与认知表现。
Sleep Med Clin. 2020 Mar;15(1):71-76. doi: 10.1016/j.jsmc.2019.10.002. Epub 2019 Nov 27.
9
Validity and reliability evidence of a point of care assessment of salivary cortisol and -amylase: a pre-registered study.唾液皮质醇和淀粉酶即时检测评估的效度和信度证据:一项预注册研究。
PeerJ. 2020 Jan 8;8:e8366. doi: 10.7717/peerj.8366. eCollection 2020.
10
Partial-body cryotherapy (-135°C) and cold-water immersion (10°C) after muscle damage in females.女性肌肉损伤后进行半身冷冻疗法(-135°C)和冷水浸泡(10°C)。
Scand J Med Sci Sports. 2020 Mar;30(3):485-495. doi: 10.1111/sms.13593. Epub 2019 Nov 27.