• 文献检索
  • 文档翻译
  • 深度研究
  • 学术资讯
  • Suppr Zotero 插件Zotero 插件
  • 邀请有礼
  • 套餐&价格
  • 历史记录
应用&插件
Suppr Zotero 插件Zotero 插件浏览器插件Mac 客户端Windows 客户端微信小程序
定价
高级版会员购买积分包购买API积分包
服务
文献检索文档翻译深度研究API 文档MCP 服务
关于我们
关于 Suppr公司介绍联系我们用户协议隐私条款
关注我们

Suppr 超能文献

核心技术专利:CN118964589B侵权必究
粤ICP备2023148730 号-1Suppr @ 2026

文献检索

告别复杂PubMed语法,用中文像聊天一样搜索,搜遍4000万医学文献。AI智能推荐,让科研检索更轻松。

立即免费搜索

文件翻译

保留排版,准确专业,支持PDF/Word/PPT等文件格式,支持 12+语言互译。

免费翻译文档

深度研究

AI帮你快速写综述,25分钟生成高质量综述,智能提取关键信息,辅助科研写作。

立即免费体验

肥胖患者中枢5-羟色胺/去甲肾上腺素转运体可用性与治疗效果

Central Serotonin/Noradrenaline Transporter Availability and Treatment Success in Patients with Obesity.

作者信息

Griebsch Nora-Isabell, Kern Johanna, Hansen Jonas, Rullmann Michael, Luthardt Julia, Helfmeyer Stephanie, Dekorsy Franziska J, Soeder Marvin, Hankir Mohammed K, Zientek Franziska, Becker Georg-Alexander, Patt Marianne, Meyer Philipp M, Dietrich Arne, Blüher Matthias, Ding Yu-Shin, Hilbert Anja, Sabri Osama, Hesse Swen

机构信息

Department of Nuclear Medicine, University of Leipzig, 04103 Leipzig, Germany.

Integrated Research and Treatment Center Adiposity Diseases, 04103 Leipzig, Germany.

出版信息

Brain Sci. 2022 Oct 26;12(11):1437. doi: 10.3390/brainsci12111437.

DOI:10.3390/brainsci12111437
PMID:36358364
原文链接:https://pmc.ncbi.nlm.nih.gov/articles/PMC9688491/
Abstract

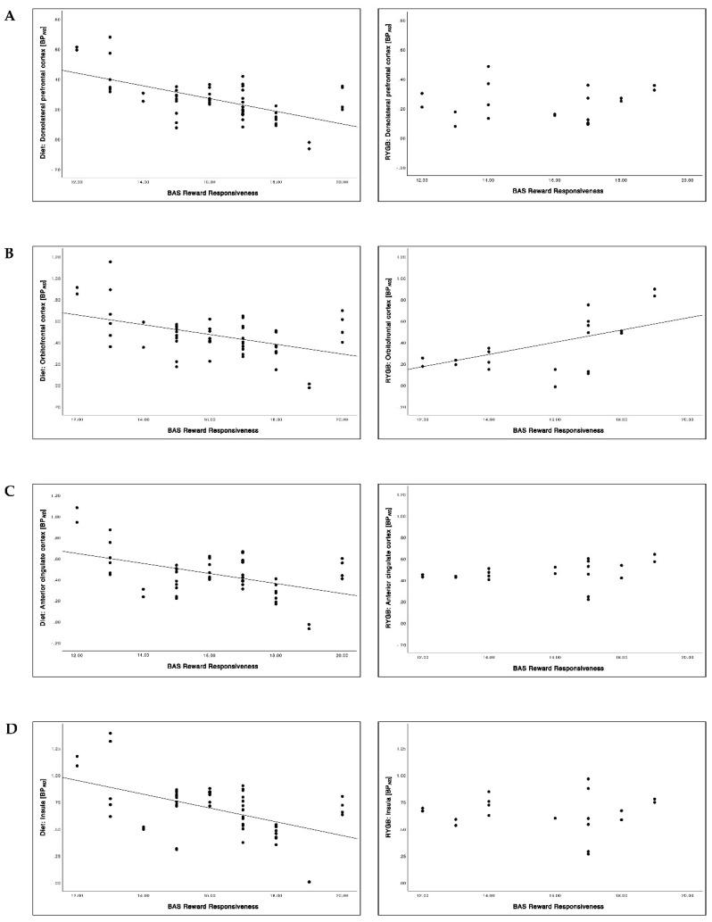
Serotonin (5-hydroxytryptamine, 5-HT) as well as noradrenaline (NA) are key modulators of various fundamental brain functions including the control of appetite. While manipulations that alter brain serotoninergic signaling clearly affect body weight, studies implicating 5-HT transporters and NA transporters (5-HTT and NAT, respectively) as a main drug treatment target for human obesity have not been conclusive. The aim of this positron emission tomography (PET) study was to investigate how these central transporters are associated with changes of body weight after 6 months of dietary intervention or Roux-en-Y gastric bypass (RYGB) surgery in order to assess whether 5-HTT as well as NAT availability can predict weight loss and consequently treatment success. The study population consisted of two study cohorts using either the 5-HTT-selective radiotracer [11C]DASB to measure 5-HTT availability or the NAT-selective radiotracer [11C]MRB to assess NAT availability. Each group included non-obesity healthy participants, patients with severe obesity (body mass index, BMI, >35 kg/m2) following a conservative dietary program (diet) and patients undergoing RYGB surgery within a 6-month follow-up. Overall, changes in BMI were not associated with changes of both 5-HTT and NAT availability, while 5-HTT availability in the dorsal raphe nucleus (DRN) prior to intervention was associated with substantial BMI reduction after RYGB surgery and inversely related with modest BMI reduction after diet. Taken together, the data of our study indicate that 5-HTT and NAT are involved in the pathomechanism of obesity and have the potential to serve as predictors of treatment outcomes.

摘要

血清素(5-羟色胺,5-HT)以及去甲肾上腺素(NA)是包括食欲控制在内的各种基本脑功能的关键调节因子。虽然改变脑血清素能信号的操作明显影响体重,但将5-HT转运体和NA转运体(分别为5-HTT和NAT)作为人类肥胖主要药物治疗靶点的研究尚无定论。本正电子发射断层扫描(PET)研究的目的是调查在6个月的饮食干预或Roux-en-Y胃旁路术(RYGB)后,这些中枢转运体如何与体重变化相关联,以评估5-HTT以及NAT的可用性是否能够预测体重减轻以及治疗效果。研究人群包括两个研究队列,一个使用5-HTT选择性放射性示踪剂[11C]DASB来测量5-HTT的可用性,另一个使用NAT选择性放射性示踪剂[11C]MRB来评估NAT的可用性。每组包括非肥胖健康参与者、遵循保守饮食计划(节食)的重度肥胖患者(体重指数,BMI,>35 kg/m2)以及在6个月随访期内接受RYGB手术的患者。总体而言,BMI的变化与5-HTT和NAT可用性的变化均无关联,而干预前中缝背核(DRN)中的5-HTT可用性与RYGB手术后BMI的显著降低相关,与节食后BMI的适度降低呈负相关。综上所述,我们的研究数据表明,5-HTT和NAT参与了肥胖的发病机制,并且有可能作为治疗结果的预测指标。

https://cdn.ncbi.nlm.nih.gov/pmc/blobs/f440/9688491/b95ab642c730/brainsci-12-01437-g009.jpg
https://cdn.ncbi.nlm.nih.gov/pmc/blobs/f440/9688491/520b975f8a11/brainsci-12-01437-g001.jpg
https://cdn.ncbi.nlm.nih.gov/pmc/blobs/f440/9688491/f88d9372592d/brainsci-12-01437-g002.jpg
https://cdn.ncbi.nlm.nih.gov/pmc/blobs/f440/9688491/7b860dfe7c21/brainsci-12-01437-g003.jpg
https://cdn.ncbi.nlm.nih.gov/pmc/blobs/f440/9688491/897ab136fa33/brainsci-12-01437-g004.jpg
https://cdn.ncbi.nlm.nih.gov/pmc/blobs/f440/9688491/fb1ce822c1f6/brainsci-12-01437-g005.jpg
https://cdn.ncbi.nlm.nih.gov/pmc/blobs/f440/9688491/1945c4f71bed/brainsci-12-01437-g006.jpg
https://cdn.ncbi.nlm.nih.gov/pmc/blobs/f440/9688491/04f383105a83/brainsci-12-01437-g007.jpg
https://cdn.ncbi.nlm.nih.gov/pmc/blobs/f440/9688491/bd1bedeab49c/brainsci-12-01437-g008.jpg
https://cdn.ncbi.nlm.nih.gov/pmc/blobs/f440/9688491/b95ab642c730/brainsci-12-01437-g009.jpg
https://cdn.ncbi.nlm.nih.gov/pmc/blobs/f440/9688491/520b975f8a11/brainsci-12-01437-g001.jpg
https://cdn.ncbi.nlm.nih.gov/pmc/blobs/f440/9688491/f88d9372592d/brainsci-12-01437-g002.jpg
https://cdn.ncbi.nlm.nih.gov/pmc/blobs/f440/9688491/7b860dfe7c21/brainsci-12-01437-g003.jpg
https://cdn.ncbi.nlm.nih.gov/pmc/blobs/f440/9688491/897ab136fa33/brainsci-12-01437-g004.jpg
https://cdn.ncbi.nlm.nih.gov/pmc/blobs/f440/9688491/fb1ce822c1f6/brainsci-12-01437-g005.jpg
https://cdn.ncbi.nlm.nih.gov/pmc/blobs/f440/9688491/1945c4f71bed/brainsci-12-01437-g006.jpg
https://cdn.ncbi.nlm.nih.gov/pmc/blobs/f440/9688491/04f383105a83/brainsci-12-01437-g007.jpg
https://cdn.ncbi.nlm.nih.gov/pmc/blobs/f440/9688491/bd1bedeab49c/brainsci-12-01437-g008.jpg
https://cdn.ncbi.nlm.nih.gov/pmc/blobs/f440/9688491/b95ab642c730/brainsci-12-01437-g009.jpg

相似文献

1
Central Serotonin/Noradrenaline Transporter Availability and Treatment Success in Patients with Obesity.肥胖患者中枢5-羟色胺/去甲肾上腺素转运体可用性与治疗效果
Brain Sci. 2022 Oct 26;12(11):1437. doi: 10.3390/brainsci12111437.
2
Central Noradrenergic Neurotransmission and Weight Loss 6 Months After Gastric Bypass Surgery in Patients with Severe Obesity.严重肥胖患者胃旁路手术后6个月的中枢去甲肾上腺素能神经传递与体重减轻
Obes Surg. 2021 Nov;31(11):4868-4876. doi: 10.1007/s11695-021-05657-7. Epub 2021 Aug 19.
3
Central serotonin transporter availability in highly obese individuals compared with non-obese controls: A [(11)C] DASB positron emission tomography study.与非肥胖对照组相比,高度肥胖个体的中枢5-羟色胺转运体可用性:一项[(11)C]DASB正电子发射断层扫描研究。
Eur J Nucl Med Mol Imaging. 2016 Jun;43(6):1096-104. doi: 10.1007/s00259-015-3243-y. Epub 2015 Nov 18.
4
Noradrenaline transporter availability on [C]MRB PET predicts weight loss success in highly obese adults.[C]MRB PET 示踪剂检测去甲肾上腺素转运体可预测重度肥胖成年人的减肥成功。
Eur J Nucl Med Mol Imaging. 2018 Jul;45(9):1618-1625. doi: 10.1007/s00259-018-4002-7. Epub 2018 Apr 7.
5
The effect of serum BDNF levels on central serotonin transporter availability in obese versus non-obese adults: A [(11)C]DASB positron emission tomography study.血清脑源性神经营养因子水平对肥胖与非肥胖成年人中枢5-羟色胺转运体可用性的影响:一项[(11)C]DASB正电子发射断层扫描研究。
Neuropharmacology. 2016 Nov;110(Pt A):530-536. doi: 10.1016/j.neuropharm.2016.04.030. Epub 2016 Apr 22.
6
Laparoscopic Roux-en-Y gastric bypass in adolescents with severe obesity (AMOS): a prospective, 5-year, Swedish nationwide study.腹腔镜 Roux-en-Y 胃旁路手术治疗青少年严重肥胖症(AMOS):一项前瞻性、5 年、瑞典全国性研究。
Lancet Diabetes Endocrinol. 2017 Mar;5(3):174-183. doi: 10.1016/S2213-8587(16)30424-7. Epub 2017 Jan 6.
7
Central noradrenaline transporter availability is linked with HPA axis responsiveness and copeptin in human obesity and non-obese controls.中枢去甲肾上腺素转运体的可用性与人类肥胖和非肥胖对照者的 HPA 轴反应性和 copeptin 相关。
Stress. 2019 Jan;22(1):93-102. doi: 10.1080/10253890.2018.1511698. Epub 2018 Oct 29.
8
Serotonin transporter gene promoter methylation status correlates with in vivo prefrontal 5-HTT availability and reward function in human obesity.血清素转运体基因启动子甲基化状态与人类肥胖症患者体内前额叶5-羟色胺转运体可用性及奖赏功能相关。
Transl Psychiatry. 2017 Jul 4;7(7):e1167. doi: 10.1038/tp.2017.133.
9
Central 5-HT neurotransmission modulates weight loss following gastric bypass surgery in obese individuals.中枢5-羟色胺神经传递调节肥胖个体胃旁路手术后的体重减轻。
J Neurosci. 2015 Apr 8;35(14):5884-9. doi: 10.1523/JNEUROSCI.3348-14.2015.
10
Surgery for weight loss in adults.成人减肥手术。
Cochrane Database Syst Rev. 2014 Aug 8;2014(8):CD003641. doi: 10.1002/14651858.CD003641.pub4.

引用本文的文献

1
5-HT Receptor Stimulation in Obesity Treatment: Orthosteric Agonists vs. Allosteric Modulators.5-羟色胺受体刺激在肥胖治疗中的应用:正构激动剂与变构调节剂。
Nutrients. 2023 Mar 17;15(6):1449. doi: 10.3390/nu15061449.

本文引用的文献

1
Central Noradrenergic Neurotransmission and Weight Loss 6 Months After Gastric Bypass Surgery in Patients with Severe Obesity.严重肥胖患者胃旁路手术后6个月的中枢去甲肾上腺素能神经传递与体重减轻
Obes Surg. 2021 Nov;31(11):4868-4876. doi: 10.1007/s11695-021-05657-7. Epub 2021 Aug 19.
2
Amino Acid Metabolites and Slow Weight Loss in the Early Postoperative Period after Sleeve Gastrectomy.袖状胃切除术后早期氨基酸代谢产物与体重缓慢减轻
J Clin Med. 2020 Jul 23;9(8):2348. doi: 10.3390/jcm9082348.
3
Weight Regain Following Roux-en-Y Gastric Bypass: Etiology and Surgical Treatment.
Roux-en-Y胃旁路术后体重反弹:病因及手术治疗
Isr Med Assoc J. 2019 Dec;21(12):823-828.
4
Obesity: global epidemiology and pathogenesis.肥胖症:全球流行病学和发病机制。
Nat Rev Endocrinol. 2019 May;15(5):288-298. doi: 10.1038/s41574-019-0176-8.
5
Noradrenaline transporter availability on [C]MRB PET predicts weight loss success in highly obese adults.[C]MRB PET 示踪剂检测去甲肾上腺素转运体可预测重度肥胖成年人的减肥成功。
Eur J Nucl Med Mol Imaging. 2018 Jul;45(9):1618-1625. doi: 10.1007/s00259-018-4002-7. Epub 2018 Apr 7.
6
Depression and obesity: evidence of shared biological mechanisms.抑郁和肥胖:存在共同的生物学机制的证据。
Mol Psychiatry. 2019 Jan;24(1):18-33. doi: 10.1038/s41380-018-0017-5. Epub 2018 Feb 16.
7
Hunger, ghrelin and the gut.饥饿、胃饥饿素与肠道。
Brain Res. 2018 Aug 15;1693(Pt B):154-158. doi: 10.1016/j.brainres.2018.01.024. Epub 2018 Jan 31.
8
The role of central dopamine and serotonin in human obesity: lessons learned from molecular neuroimaging studies.中枢多巴胺和 5-羟色胺在人类肥胖中的作用:分子神经影像学研究的启示。
Metabolism. 2018 Aug;85:325-339. doi: 10.1016/j.metabol.2017.09.007. Epub 2017 Sep 29.
9
Serotonin transporter gene promoter methylation status correlates with in vivo prefrontal 5-HTT availability and reward function in human obesity.血清素转运体基因启动子甲基化状态与人类肥胖症患者体内前额叶5-羟色胺转运体可用性及奖赏功能相关。
Transl Psychiatry. 2017 Jul 4;7(7):e1167. doi: 10.1038/tp.2017.133.
10
Comparison of brain serotonin transporter using [I-123]-ADAM between obese and non-obese young adults without an eating disorder.使用[I-123]-ADAM对无饮食失调的肥胖和非肥胖年轻成年人的脑血清素转运体进行比较。
PLoS One. 2017 Feb 9;12(2):e0170886. doi: 10.1371/journal.pone.0170886. eCollection 2017.