Ambrosio Maria Rosaria, Mosca Giusy, Migliaccio Teresa, Liguoro Domenico, Nele Gisella, Schonauer Fabrizio, D'Andrea Francesco, Liotti Federica, Prevete Nella, Melillo Rosa Marina, Reale Carla, Ambrosino Concetta, Miele Claudia, Beguinot Francesco, D'Esposito Vittoria, Formisano Pietro
URT "Genomic of Diabetes", Institute for Experimental Endocrinology and Oncology "G. Salvatore", National Research Council (IEOS-CNR), Via Pansini 5, 80131 Naples, Italy.
Department of Translational Medicine, University of Naples "Federico II", Via Pansini 5, 80131 Naples, Italy.
Cancers (Basel). 2022 Nov 3;14(21):5421. doi: 10.3390/cancers14215421.
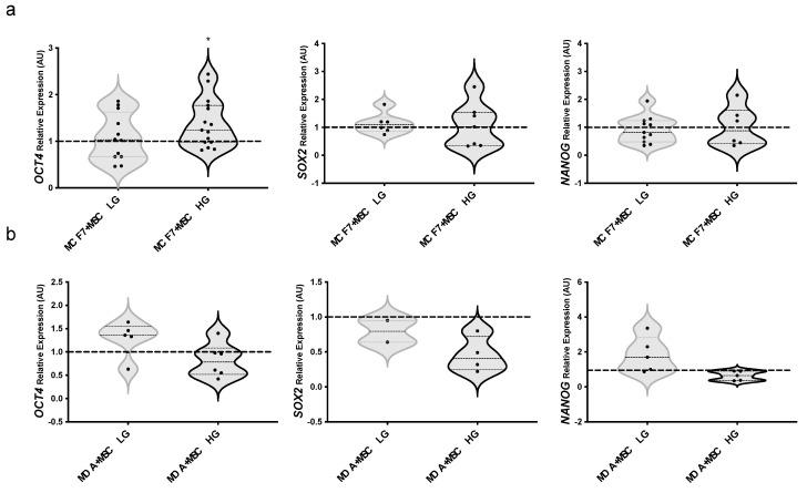
Adiposity and diabetes affect breast cancer (BC) progression. We addressed whether glucose may affect the interaction between mammary adipose tissue-derived mesenchymal stromal/stem cells (MAT-MSCs) and BC cells. Two-dimensional co-cultures and spheroids were established in 25 mM or 5.5 mM glucose (High Glucose-HG or Low Glucose-LG) by using MAT-MSCs and MCF7 or MDA-MB231 BC cells. Gene expression was measured by qPCR, while protein levels were measured by cytofluorimetry and ELISA. CD44/CD24 BC stem-like sub-population was quantified by cytofluorimetry. An in vivo zebrafish model was assessed by injecting spheroid-derived labeled cells. MAT-MSCs co-cultured with BC cells showed an inflammatory/senescent phenotype with increased abundance of IL-6, IL-8, VEGF and p16, accompanied by altered levels of CDKN2A and . BC cells reduced multipotency and increased fibrotic features modulating OCT4, SOX2, NANOG, αSMA and FAP in MAT-MSCs. Of note, these co-culture-mediated changes in MAT-MSCs were partially reverted in LG. Only in HG, MAT-MSCs increased CD44/CD24 MCF7 sub-population and promoted their ability to form mammospheres. Injection in zebrafish embryos of HG spheroid-derived MCF7 and MAT-MSCs was followed by a significant cellular migration and caudal dissemination. Thus, MAT-MSCs enhance the aggressiveness of BC cells in a HG environment.
肥胖和糖尿病会影响乳腺癌(BC)的进展。我们研究了葡萄糖是否会影响乳腺脂肪组织来源的间充质基质/干细胞(MAT-MSCs)与BC细胞之间的相互作用。通过使用MAT-MSCs和MCF7或MDA-MB231 BC细胞,在25 mM或5.5 mM葡萄糖(高葡萄糖-HG或低葡萄糖-LG)条件下建立二维共培养体系和球体。通过qPCR测量基因表达,通过细胞荧光分析和ELISA测量蛋白质水平。通过细胞荧光分析对CD44/CD24 BC干细胞样亚群进行定量。通过注射球体来源的标记细胞评估体内斑马鱼模型。与BC细胞共培养的MAT-MSCs表现出炎症/衰老表型,IL-6、IL-8、VEGF和p16的丰度增加,同时CDKN2A和 水平发生改变。BC细胞降低了MAT-MSCs的多能性并增加了调节OCT4、SOX2、NANOG、αSMA和FAP的纤维化特征。值得注意的是,MAT-MSCs中这些共培养介导的变化在LG中部分得到逆转。仅在HG中,MAT-MSCs增加了CD44/CD24 MCF7亚群并促进了它们形成乳腺球的能力。将HG球体来源的MCF7和MAT-MSCs注射到斑马鱼胚胎中后,细胞出现显著的迁移和向尾部分散。因此,MAT-MSCs在HG环境中增强了BC细胞的侵袭性。