Suppr超能文献

佩兰精油的成分分析及其抑菌活性机制的探索

A Composition Analysis and an Antibacterial Activity Mechanism Exploration of Essential Oil Obtained from Pamp.

机构信息

College of Life Science, Northwest Normal University, Lanzhou 730070, China.

Engineering Technology Research Center of Gansu Characteristic Plant Active Ingredient Products, Lanzhou 730070, China.

出版信息

Molecules. 2022 Oct 27;27(21):7300. doi: 10.3390/molecules27217300.

Abstract

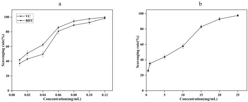
The goal of this work was to use the GC-MS technique to explore the chemical components of Pamp essential oil (AgEo) and to uncover its antibacterial activity, specifically the antibacterial mechanism of this essential oil. There were a total of 63 chemical constituents in the AgEo, monoterpenes (10.2%) and sesquiterpenes (30.14%) were found to be the most common chemical components, with camphor (15.68%) coming in first, followed by germacrene D. (15.29%). AgEo displayed significant reducing power and good scavenging ability on hydroxyl radicals, 2,2-Diphenyl-1-picrylhydrazyl (DPPH) radicals, and 2,2'-Azinobis-(3-ethylbenzthiazoline-6-sulphonate (ABTS) radicals, according to antioxidant data. The diameter of the inhibition zone (DIZ) of AgEo against and was (14.00 ± 1.00) mm and (16.33 ± 1.53) mm, respectively; the minimum inhibitory concentration (MIC) of AgEo against and was 3 μL/mL and 6 μL/mL, respectively; and the minimum bactericidal concentration (MBC) of AgEo against and was 6 μL/mL and 12 μL/mL, respectively. The antibacterial curve revealed that 0.5MIC of AgEo may delay bacterial growth while 2MIC of AgEo could totally suppress bacterial growth. The relative conductivity, alkaline phosphatase (AKP) activity, and protein concentration of the bacterial suspension were all higher after the AgEo treatment than in the control group, and increased as the essential oil concentration was raised. In addition, the cell membrane ruptured and atrophy occurred. The study discovered that AgEo is high in active chemicals and can be used as an antibacterial agent against and , which is critical for AgEo's future research and development.

摘要

本工作旨在采用 GC-MS 技术探索香青兰精油(AgEo)的化学成分,并揭示其抗菌活性,特别是这种精油的抗菌机制。AgEo 中共有 63 种化学成分,其中单萜(10.2%)和倍半萜(30.14%)最为常见,樟脑(15.68%)含量最高,其次是大根香叶烯 D(15.29%)。抗氧化数据显示,AgEo 具有显著的还原能力和良好的羟自由基、2,2-二苯基-1-苦基肼基(DPPH)自由基和 2,2'-联氮-双(3-乙基苯并噻唑啉-6-磺酸)(ABTS)自由基清除能力。AgEo 对 和 的抑菌圈直径(DIZ)分别为(14.00±1.00)mm 和(16.33±1.53)mm;AgEo 对 和 的最小抑菌浓度(MIC)分别为 3μL/mL 和 6μL/mL;AgEo 对 和 的最小杀菌浓度(MBC)分别为 6μL/mL 和 12μL/mL。抗菌曲线表明,AgEo 的 0.5MIC 可能会延迟细菌生长,而 2MIC 可完全抑制细菌生长。AgEo 处理后细菌悬浮液的相对电导率、碱性磷酸酶(AKP)活性和蛋白质浓度均高于对照组,且随着精油浓度的升高而升高。此外,细胞膜破裂,细胞萎缩。研究发现,AgEo 含有高活性化学物质,可作为抗 和 的抗菌剂,这对 AgEo 的未来研究和开发至关重要。

https://cdn.ncbi.nlm.nih.gov/pmc/blobs/779c/9656732/8580bcfdd375/molecules-27-07300-g001.jpg

文献检索

告别复杂PubMed语法,用中文像聊天一样搜索,搜遍4000万医学文献。AI智能推荐,让科研检索更轻松。

立即免费搜索

文件翻译

保留排版,准确专业,支持PDF/Word/PPT等文件格式,支持 12+语言互译。

免费翻译文档

深度研究

AI帮你快速写综述,25分钟生成高质量综述,智能提取关键信息,辅助科研写作。

立即免费体验