• 文献检索
  • 文档翻译
  • 深度研究
  • 学术资讯
  • Suppr Zotero 插件Zotero 插件
  • 邀请有礼
  • 套餐&价格
  • 历史记录
应用&插件
Suppr Zotero 插件Zotero 插件浏览器插件Mac 客户端Windows 客户端微信小程序
定价
高级版会员购买积分包购买API积分包
服务
文献检索文档翻译深度研究API 文档MCP 服务
关于我们
关于 Suppr公司介绍联系我们用户协议隐私条款
关注我们

Suppr 超能文献

核心技术专利:CN118964589B侵权必究
粤ICP备2023148730 号-1Suppr @ 2026

文献检索

告别复杂PubMed语法,用中文像聊天一样搜索,搜遍4000万医学文献。AI智能推荐,让科研检索更轻松。

立即免费搜索

文件翻译

保留排版,准确专业,支持PDF/Word/PPT等文件格式,支持 12+语言互译。

免费翻译文档

深度研究

AI帮你快速写综述,25分钟生成高质量综述,智能提取关键信息,辅助科研写作。

立即免费体验

芸豆的功能成分概况及血糖生成指数

Functional components profile and glycemic index of kidney beans.

作者信息

Xu Shengshu, Qin Likang, Mazhar Muhammad, Zhu Yong

机构信息

School of Liquor and Food Engineering, Guizhou University, Guiyang, China.

College of Life Sciences, Guizhou University, Guiyang, China.

出版信息

Front Nutr. 2022 Nov 2;9:1044427. doi: 10.3389/fnut.2022.1044427. eCollection 2022.

DOI:10.3389/fnut.2022.1044427
PMID:36407530
原文链接:https://pmc.ncbi.nlm.nih.gov/articles/PMC9667044/
Abstract

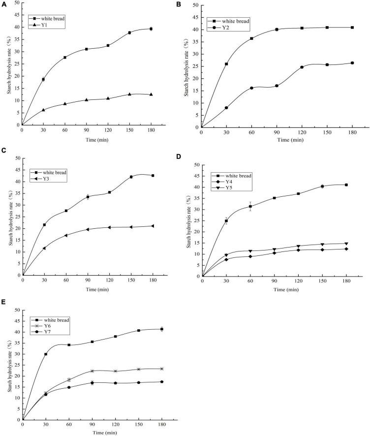
Low glycemic index (GI) diet has been considered as a strategy for type II diabetes patients. In the present study, the phenolics profile, α-amylase inhibitor activities, starch composition as well as the glycemic index of seven varieties of kidney beans were studied. An enzymatic inhibitory reaction model was employed to determine the α-amylase inhibitor activity, and the digestion model coupled with the 3, 5-dinitrosalicylic acid colorimetry method was adopted to evaluate the starch composition and glycemic index. The results showed that gallic acid was dominant in kidney beans, and the colored beans contained more phenolics than the white ones. In addition, the α-amylase inhibitor activities of kidney beans ranged from 1.659 ± 0.050 to 4.162 ± 0.049 U/g DW, among which the Y2 variety was the top-ranked. Furthermore, kidney beans starch demonstrated brilliant resistance to digestion with the contribution of resistant starch to total starch between 70.90 ± 0.39% and 83.12 ± 0.42%. Eventually, these kidney beans were categorized as low GI foods, which ranged from 32.47 ± 0.13 to 52.99 ± 0.56, the resistant starch makes dominant contribution to the low GI. These results indicate that kidney beans can be served as ingredients in functional low GI foods.

摘要

低血糖指数(GI)饮食已被视为II型糖尿病患者的一种策略。在本研究中,对七个品种芸豆的酚类物质概况、α-淀粉酶抑制活性、淀粉组成以及血糖指数进行了研究。采用酶抑制反应模型测定α-淀粉酶抑制活性,并采用消化模型结合3,5-二硝基水杨酸比色法评估淀粉组成和血糖指数。结果表明,没食子酸在芸豆中占主导地位,花芸豆比白芸豆含有更多的酚类物质。此外,芸豆的α-淀粉酶抑制活性范围为1.659±0.050至4.162±0.049 U/g干重,其中Y2品种排名第一。此外,芸豆淀粉表现出很强的抗消化性,抗性淀粉占总淀粉的比例在70.90±0.39%至83.12±0.42%之间。最终,这些芸豆被归类为低GI食物,其GI值范围为32.47±0.13至52.99±0.56,抗性淀粉对低GI起主要作用。这些结果表明,芸豆可作为功能性低GI食物的成分。

https://cdn.ncbi.nlm.nih.gov/pmc/blobs/e284/9667044/f1abc6597586/fnut-09-1044427-g003.jpg
https://cdn.ncbi.nlm.nih.gov/pmc/blobs/e284/9667044/0878eb414651/fnut-09-1044427-g001.jpg
https://cdn.ncbi.nlm.nih.gov/pmc/blobs/e284/9667044/623f645071ff/fnut-09-1044427-g002.jpg
https://cdn.ncbi.nlm.nih.gov/pmc/blobs/e284/9667044/f1abc6597586/fnut-09-1044427-g003.jpg
https://cdn.ncbi.nlm.nih.gov/pmc/blobs/e284/9667044/0878eb414651/fnut-09-1044427-g001.jpg
https://cdn.ncbi.nlm.nih.gov/pmc/blobs/e284/9667044/623f645071ff/fnut-09-1044427-g002.jpg
https://cdn.ncbi.nlm.nih.gov/pmc/blobs/e284/9667044/f1abc6597586/fnut-09-1044427-g003.jpg

相似文献

1
Functional components profile and glycemic index of kidney beans.芸豆的功能成分概况及血糖生成指数
Front Nutr. 2022 Nov 2;9:1044427. doi: 10.3389/fnut.2022.1044427. eCollection 2022.
2
Phenolic profile, alpha-amylase inhibitory activity, and glycemic index of adzuki beans.小豆的酚类成分、α-淀粉酶抑制活性及血糖生成指数
Front Nutr. 2022 Dec 22;9:1063602. doi: 10.3389/fnut.2022.1063602. eCollection 2022.
3
Effect of domestic cooking on the starch digestibility, predicted glycemic indices, polyphenol contents and alpha amylase inhibitory properties of beans (Phaseolis vulgaris) and breadfruit (Treculia africana).家庭烹饪对豆类(菜豆)和面包果(非洲星苹果)的淀粉消化率、预测血糖指数、多酚含量和α-淀粉酶抑制特性的影响。
Int J Biol Macromol. 2018 Jan;106:200-206. doi: 10.1016/j.ijbiomac.2017.08.005. Epub 2017 Aug 9.
4
The inhibitory effects of hull polysaccharides and tannins of field beans (Vicia faba L.) on the digestion of amino acids, starch and lipid and on digestive enzyme activities in young chicks.蚕豆(Vicia faba L.)种皮多糖和单宁对雏鸡氨基酸、淀粉和脂质消化及消化酶活性的抑制作用。
Br J Nutr. 1991 Mar;65(2):199-216. doi: 10.1079/bjn19910081.
5
Phytic acid content may affect starch digestibility and glycemic index value of rice (Oryza sativa L.).植酸含量可能会影响大米(Oryza sativa L.)的淀粉消化率和血糖生成指数值。
J Sci Food Agric. 2020 Mar 15;100(4):1598-1607. doi: 10.1002/jsfa.10168. Epub 2019 Dec 23.
6
Minimal Effective Dose of Beans Required to Elicit a Significantly Lower Glycemic Response Than Commonly Consumed Starchy Foods: Predictions Based on In Vitro Digestion and Carbohydrate Analysis.产生低于常见淀粉类食物的显著血糖反应所需的豆类最小有效剂量:基于体外消化和碳水化合物分析的预测。
Nutrients. 2023 Oct 24;15(21):4495. doi: 10.3390/nu15214495.
7
In vitro starch digestibility and predicted glycemic index of corn tortilla, black beans, and tortilla-bean mixture: effect of cold storage.玉米饼、黑豆及玉米饼 - 豆混合物的体外淀粉消化率及预测血糖生成指数:冷藏的影响
J Agric Food Chem. 2005 Feb 23;53(4):1281-5. doi: 10.1021/jf048652k.
8
Potato phenolics impact starch digestion and glucose transport in model systems but translation to phenolic rich potato chips results in only modest modification of glycemic response in humans.马铃薯酚类物质会影响模型体系中淀粉的消化和葡萄糖的转运,但富含酚类物质的马铃薯片在人体中的转化仅使血糖反应得到适度改善。
Nutr Res. 2018 Apr;52:57-70. doi: 10.1016/j.nutres.2018.02.001. Epub 2018 Feb 12.
9
Evaluation of and Glycemic Index of common staples made from varieties of White Yam ().不同品种白薯蓣制成的常见主食的血糖生成指数及评估
Front Nutr. 2022 Sep 9;9:983212. doi: 10.3389/fnut.2022.983212. eCollection 2022.
10
Understanding In Vivo Mastication Behaviour and In Vitro Starch and Protein Digestibility of Pulsed Electric Field-Treated Black Beans after Cooking.了解脉冲电场处理后的黑豆烹饪后的体内咀嚼行为以及体外淀粉和蛋白质消化率。
Foods. 2021 Oct 22;10(11):2540. doi: 10.3390/foods10112540.

引用本文的文献

1
A review on the role of functional foods and derivatives for diabetes management.功能性食品及其衍生物在糖尿病管理中的作用综述。
J Food Sci Technol. 2025 May;62(5):799-809. doi: 10.1007/s13197-025-06234-x. Epub 2025 Feb 19.
2
Probiotic-Enriched Ice Cream with Fermented White Kidney Bean Homogenate: Survival, Antioxidant Activity, and Potential for Future Health Benefits.富含发酵白芸豆匀浆的益生菌冰淇淋:生存能力、抗氧化活性和未来健康益处的潜力。
Molecules. 2024 Jul 7;29(13):3222. doi: 10.3390/molecules29133222.
3
New Insights into the Latest Advancement in α-Amylase Inhibitors of Plant Origin with Anti-Diabetic Effects.

本文引用的文献

1
International tables of glycemic index and glycemic load values 2021: a systematic review.2021 年国际血糖指数和血糖负荷值表:系统评价。
Am J Clin Nutr. 2021 Nov 8;114(5):1625-1632. doi: 10.1093/ajcn/nqab233.
2
Evaluation of Various Starchy Foods: A Systematic Review and Meta-Analysis on Chemical Properties Affecting the Glycemic Index Values Based on In Vitro and In Vivo Experiments.各种淀粉类食物的评估:基于体外和体内实验对影响血糖指数值的化学性质的系统评价和荟萃分析。
Foods. 2021 Feb 8;10(2):364. doi: 10.3390/foods10020364.
3
Polyphenols in Common Beans (Phaseolus vulgaris L.): Chemistry, Analysis, and Factors Affecting Composition.
植物源α-淀粉酶抑制剂抗糖尿病作用最新进展的新见解
Plants (Basel). 2023 Aug 14;12(16):2944. doi: 10.3390/plants12162944.
4
Nutritional and nutraceutical potential of rice bean () -a legume with hidden potential.饭豆()的营养与营养保健潜力——一种具有潜藏潜力的豆类
Front Nutr. 2023 Jun 9;10:1126544. doi: 10.3389/fnut.2023.1126544. eCollection 2023.
5
The Interplay of Dietary Fibers and Intestinal Microbiota Affects Type 2 Diabetes by Generating Short-Chain Fatty Acids.膳食纤维与肠道微生物群的相互作用通过产生短链脂肪酸影响2型糖尿病。
Foods. 2023 Feb 28;12(5):1023. doi: 10.3390/foods12051023.
6
Credibility assessment of cold adaptive MP1 and N26 on growth, rhizosphere dynamics, nutrient status, and yield of the kidney bean cultivated in Indian Central Himalaya.对冷适应性MP1和N26在印度中部喜马拉雅地区种植的菜豆生长、根际动态、养分状况及产量方面的可信度评估。
Front Plant Sci. 2023 Jan 30;14:1042053. doi: 10.3389/fpls.2023.1042053. eCollection 2023.
7
Phenolic profile, alpha-amylase inhibitory activity, and glycemic index of adzuki beans.小豆的酚类成分、α-淀粉酶抑制活性及血糖生成指数
Front Nutr. 2022 Dec 22;9:1063602. doi: 10.3389/fnut.2022.1063602. eCollection 2022.
普通菜豆(菜豆属)中的多酚:化学、分析及影响成分的因素
Compr Rev Food Sci Food Saf. 2018 Nov;17(6):1518-1539. doi: 10.1111/1541-4337.12391. Epub 2018 Oct 11.
4
analysis of antidiabetic potential of phenolic compounds from blue corn ( L.) and black bean ( L.).蓝玉米(L.)和黑豆(L.)中酚类化合物的抗糖尿病潜力分析。
Heliyon. 2020 Mar 27;6(3):e03632. doi: 10.1016/j.heliyon.2020.e03632. eCollection 2020 Mar.
5
Anti-obesity effects of α-amylase inhibitor enriched-extract from white common beans (Phaseolus vulgaris L.) associated with the modulation of gut microbiota composition in high-fat diet-induced obese rats.富含白芸豆(Phaseolus vulgaris L.)α-淀粉酶抑制剂的提取物对高脂肪饮食诱导肥胖大鼠肠道微生物组成的调节作用及其抗肥胖效果。
Food Funct. 2020 Feb 26;11(2):1624-1634. doi: 10.1039/c9fo01813a.
6
Effectiveness and therapeutic value of phytochemicals in acute pancreatitis: A review.植物化学物质在急性胰腺炎中的疗效和治疗价值:综述。
Pancreatology. 2019 Jun;19(4):481-487. doi: 10.1016/j.pan.2019.04.010. Epub 2019 May 3.
7
Polyphenol-Rich Dry Common Beans (Phaseolus vulgaris L.) and Their Health Benefits.富含多酚的干普通豆(菜豆属)及其健康益处。
Int J Mol Sci. 2017 Nov 4;18(11):2331. doi: 10.3390/ijms18112331.
8
Effect of domestic cooking on the starch digestibility, predicted glycemic indices, polyphenol contents and alpha amylase inhibitory properties of beans (Phaseolis vulgaris) and breadfruit (Treculia africana).家庭烹饪对豆类(菜豆)和面包果(非洲星苹果)的淀粉消化率、预测血糖指数、多酚含量和α-淀粉酶抑制特性的影响。
Int J Biol Macromol. 2018 Jan;106:200-206. doi: 10.1016/j.ijbiomac.2017.08.005. Epub 2017 Aug 9.
9
Phytochemicals in whole grain wheat and their health-promoting effects.全谷物小麦中的植物化学物质及其促进健康的作用。
Mol Nutr Food Res. 2017 Jul;61(7). doi: 10.1002/mnfr.201600852. Epub 2017 Mar 17.
10
Phenolic Composition and Antioxidant and Antiproliferative Activities of the Extracts of Twelve Common Bean ( L.) Endemic Ecotypes of Southern Italy before and after Cooking.意大利南部12种常见菜豆地方生态型烹饪前后提取物的酚类成分、抗氧化及抗增殖活性
Oxid Med Cell Longev. 2016;2016:1398298. doi: 10.1155/2016/1398298. Epub 2016 Dec 25.