Shi Lin, Lyons Mark, Duncan Michael, Chen Sitong, Chen Zhenxiang, Guo Wei, Han Dong
School of Physical Education and Sport Training, Shanghai University of Sport, Shanghai, China.
Sport and Human Performance Research Centre, University of Limerick, Limerick, Ireland.
J Hum Kinet. 2022 Nov 8;84:174-183. doi: 10.2478/hukin-2022-0094. eCollection 2022 Oct.
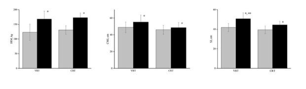
The aim of this study was to investigate the differences in neuromuscular performance between variable resistance training and constant resistance training within complex training. Twenty-one well-trained collegiate basketball players were randomly assigned to either an experimental group (variable resistance training) or a control group (constant resistance training) and completed a twice weekly training program over an 8-week period. Training programs were the same except that the experimental group included variable resistance via elastic bands (40% of the total load). Maximum strength, vertical jump, horizontal jump, and sprint performance were assessed pre- and post-intervention. Both groups demonstrated significant increases in the back squat 1RM (experimental group +36.5% and control group +32.3%, both p < 0.001), countermovement jump (experimental group +12.9%, p = 0.002 and control group +5.6%, p = 0.02), and squat jump performance (experimental group +21.4% and control group +12.9%, both p < 0.001), whereas standing broad jump performance improved only in the experimental group (+2.9%, p = 0.029). Additionally, the experimental group showed significant improvement in the squat jump (p = 0.014) compared with the control group. However, no statistically significant differences were found between groups for countermovement jump (p = 0.06) and sprint performance at 10 m (p = 0.153) and 20 m (p = 0.076). We may conclude that both training modalities showed similar improvements in maximum strength. Performing variable resistance training within a complex training program is more efficient to enhance selective power performance in well-trained collegiate basketball players.
本研究的目的是调查复合训练中可变阻力训练和恒定阻力训练之间神经肌肉性能的差异。21名训练有素的大学篮球运动员被随机分配到实验组(可变阻力训练)或对照组(恒定阻力训练),并在8周内完成每周两次的训练计划。训练计划相同,只是实验组通过弹力带增加可变阻力(占总负荷的40%)。在干预前后评估最大力量、垂直跳跃、水平跳跃和短跑成绩。两组的后深蹲1RM均显著增加(实验组增加36.5%,对照组增加32.3%,p均<0.001),反向移动跳跃(实验组增加12.9%,p = 0.002;对照组增加5.6%,p = 0.02),以及深蹲跳成绩(实验组增加21.4%,对照组增加12.9%,p均<0.001),而立定跳远成绩仅在实验组有所提高(增加2.9%,p = 0.029)。此外,与对照组相比,实验组的深蹲跳成绩有显著改善(p = 0.014)。然而,两组在反向移动跳跃(p = 0.06)以及10米(p = 0.153)和20米(p = 0.076)短跑成绩方面没有发现统计学上的显著差异。我们可以得出结论,两种训练方式在最大力量方面都有相似的提高。在复合训练计划中进行可变阻力训练对提高训练有素的大学篮球运动员的选择性力量表现更有效。