Departmento de Biodiversidad y Biología Evolutiva, Museo Nacional de Ciencias Naturales (CSIC), 28006 Madrid, Spain.
Centro de Biología Celular y Molecular, Facultad de Ciencias Exactas, Físicas y Naturales, Universidad Nacional de Córdoba (FCEFyN-UNC), Córdoba X5016GCA, Argentina.
Int J Mol Sci. 2022 Dec 3;23(23):15247. doi: 10.3390/ijms232315247.
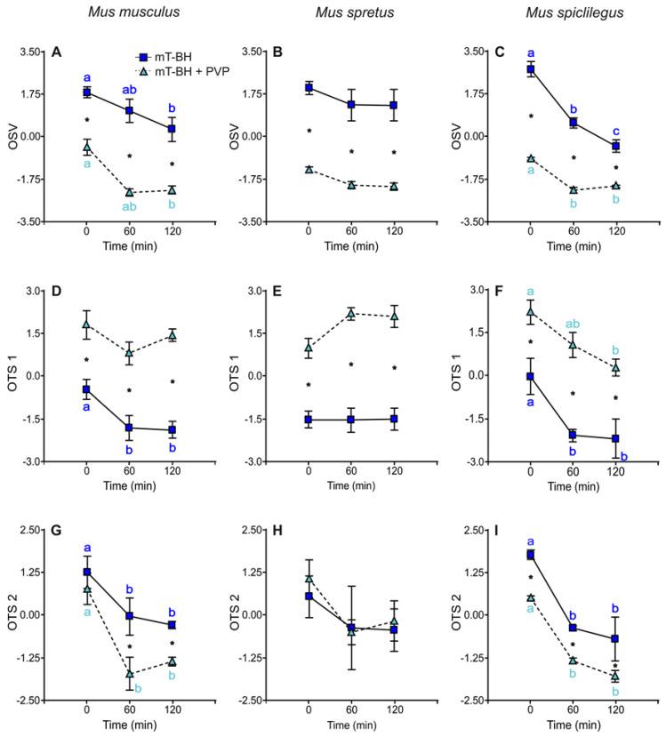
In order to sustain motility and prepare for fertilization, sperm require energy. The characterization of sperm ATP production and usage in mouse species revealed substantial differences in metabolic pathways that can be differentially affected by capacitation. Moreover, spermatozoa encounter different environments with varying viscoelastic properties in the female reproductive tract. Here, we examine whether viscosity affects sperm ATP levels and kinematics during capacitation in vitro. Sperm from three mouse species (, , ) were incubated under capacitating conditions in a modified Tyrode's medium containing bicarbonate, glucose, pyruvate, lactate, and bovine serum albumin (mT-BH) or in a bicarbonate-free medium as a non-capacitating control. Viscosity was increased with the inclusion of polyvinylpyrrolidone. ATP was measured with a bioluminescence kit, and kinematics were examined with a computer-aided sperm analysis system. In sperm, ATP declined during capacitation, but no differences were found between non-capacitating and capacitating sperm. In contrast, in and , ATP levels decreased in capacitating sperm. Increasing viscosity in the medium did not modify the timing or proportion of cells undergoing capacitation but did result in additional time- and concentration-dependent decreases in ATP in and under capacitating conditions. Additionally, increased viscosity altered both velocity and trajectory descriptors. The limited impact of capacitation and higher viscosity on sperm ATP and kinematics could be related to the low intensity of postcopulatory sexual selection in this species. Responses seen in the other two species could be linked to the ability of their sperm to perform better under enhanced selective pressures.
为了维持活力并为受精做准备,精子需要能量。对小鼠物种精子 ATP 产生和利用的特征描述揭示了代谢途径的显著差异,这些差异可能会因获能而不同。此外,精子在雌性生殖道中会遇到具有不同粘弹性的不同环境。在这里,我们研究了在体外获能过程中粘度是否会影响精子的 ATP 水平和运动学。将来自三种小鼠物种(、和)的精子在含有碳酸氢盐、葡萄糖、丙酮酸、乳酸和牛血清白蛋白的改良 Tyrode 培养基(mT-BH)或不含碳酸氢盐的培养基中进行非获能对照孵育。通过添加聚乙烯吡咯烷酮来增加粘度。使用生物发光试剂盒测量 ATP,使用计算机辅助精子分析系统检查运动学。在精子中,ATP 在获能过程中下降,但非获能和获能精子之间没有差异。相比之下,在和精子中,ATP 水平在获能精子中下降。在培养基中增加粘度不会改变细胞获能的时间或比例,但会导致在获能条件下和精子中的 ATP 进一步时间和浓度依赖性下降。此外,增加粘度会改变速度和轨迹描述符。在这种物种中,获能和更高粘度对精子 ATP 和运动学的影响有限,这可能与该物种中交配后性选择的强度较低有关。在其他两个物种中观察到的反应可能与它们的精子在增强的选择压力下表现更好的能力有关。