Suppr超能文献

利用基于结构和基于配体的分子建模以及机器学习发现新型强效赖氨酸特异性组蛋白去甲基化酶-1(LSD-1)抑制剂

Discovery of new potent lysine specific histone demythelase-1 inhibitors (LSD-1) using structure based and ligand based molecular modelling and machine learning.

作者信息

Alabed Shada J, Zihlif Malek, Taha Mutasem

机构信息

Department of Pharmacy, Faculty of Pharmacy, Al-Zaytoonah University of Jordan Amman Jordan

Department of Pharmacology, Faculty of Medicine, University of Jordan Amman Jordan

出版信息

RSC Adv. 2022 Dec 15;12(55):35873-35895. doi: 10.1039/d2ra05102h. eCollection 2022 Dec 12.

Abstract

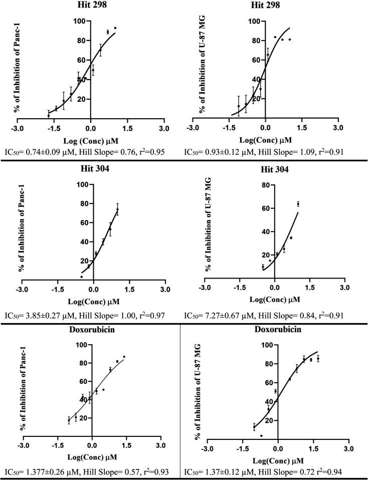
Lysine-specific histone demethylase 1 (LSD-1) is an epigenetic enzyme that oxidatively cleaves methyl groups from monomethyl and dimethyl Lys4 of histone H3 and is highly overexpressed in different types of cancer. Therefore, it has been widely recognized as a promising therapeutic target for cancer therapy. Towards this end, we employed various Computer Aided Drug Design (CADD) approaches including pharmacophore modelling and machine learning. Pharmacophores generated by structure-based (SB) (either crystallographic-based or docking-based) and ligand-based (LB) (either supervised or unsupervised) modelling methods were allowed to compete within the context of genetic algorithm/machine learning and were assessed by Shapley additive explanation values (SHAP) to end up with three successful pharmacophores that were used to screen the National Cancer Institute (NCI) database. Seventy-five NCI hits were tested for their LSD-1 inhibitory properties against neuroblastoma SH-SY5Y cells, pancreatic carcinoma Panc-1 cells, glioblastoma U-87 MG cells and in enzymatic assay, culminating in 3 nanomolar LSD-1 inhibitors of novel chemotypes.

摘要

赖氨酸特异性组蛋白去甲基化酶1(LSD-1)是一种表观遗传酶,可氧化切割组蛋白H3单甲基化和二甲基化赖氨酸4上的甲基,并且在不同类型的癌症中高度过表达。因此,它已被广泛认为是癌症治疗的一个有前景的治疗靶点。为此,我们采用了各种计算机辅助药物设计(CADD)方法,包括药效团建模和机器学习。通过基于结构的(SB)(基于晶体学或基于对接)和基于配体的(LB)(有监督或无监督)建模方法生成的药效团,在遗传算法/机器学习的背景下进行竞争,并通过Shapley附加解释值(SHAP)进行评估,最终得到三个成功的药效团,用于筛选美国国立癌症研究所(NCI)数据库。测试了75种NCI命中化合物对神经母细胞瘤SH-SY5Y细胞、胰腺癌Panc-1细胞、胶质母细胞瘤U-87 MG细胞的LSD-1抑制特性,并进行了酶活性测定,最终得到了新型化学类型的3纳摩尔LSD-1抑制剂。

https://cdn.ncbi.nlm.nih.gov/pmc/blobs/1702/9751883/c293278e9472/d2ra05102h-f1.jpg

文献AI研究员

20分钟写一篇综述,助力文献阅读效率提升50倍。

立即体验

用中文搜PubMed

大模型驱动的PubMed中文搜索引擎

马上搜索

文档翻译

学术文献翻译模型,支持多种主流文档格式。

立即体验