Huang Tsung-Yu, Tsai Yao-Hung, Lee Ching-Yu, Hsu Wei-Hsiu, Hsiao Cheng-Ting, Huang Yao-Kuang, Li Yen-Yao, Chen Jiun-Liang, Kuo Shu-Fang, Hsiao Jo-Chun, Li Hsing-Jung, Hung Chien-Hui, Peng Kuo-Ti
Division of Infectious Diseases, Department of Internal Medicine, Chang Gung Memorial Hospital, Chiayi 61363, Taiwan.
College of Medicine, Chang Gung University, Taoyuan 33303, Taiwan.
Antibiotics (Basel). 2022 Dec 8;11(12):1782. doi: 10.3390/antibiotics11121782.
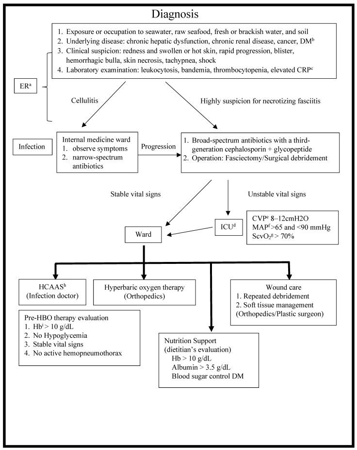
necrotizing fasciitis (NF) causes high rates of amputation and mortality, even after aggressive surgical debridement and antibacterial therapy. This study investigated the effects of rational use of antibiotics and education by infectious disease (ID) physicians on NF treatment outcomes.
Retrospective review for conducted for four years (period I, without an ID physician, December 2001 to December 2005) and 15 years (period II, with an ID physician, January 2006 to March 2021). In period II, the hospital-wide computerized antimicrobial approval system (HCAAS) was also implemented. A pretest-posttest time series analysis compared the two periods. Differences in clinical outcomes, demographics, comorbidities, signs and symptoms, laboratory findings, antibiotic susceptibility, and antibiotic regimens were compared between the two periods.
There were 19 patients in period I and 53 patients in period II. Patients had a lower rate of amputation or mortality in period II (35.8%) compared with period I (63.2%). Forty-four patients (61.1%) had polymicrobial infections. In the emergency room, the rate of misdiagnosis decreased from 47.4% in period I to 28.3% in period II, while effective empiric antibiotic usage increased from 21.1% in period I to 66.0% in period II. After the ID physician's adjustment, 69.4% received monotherapy in period II compared to 33.3% in period I.
Because NF had a high mortality rate and was often polymicrobial, choosing an antibiotic regimen was difficult. Using the HCAAS by an experienced ID physician can improve rational antibiotic usage and clinical outcomes in NF.
坏死性筋膜炎(NF)即使经过积极的手术清创和抗菌治疗,截肢率和死亡率仍很高。本研究调查了合理使用抗生素以及传染病(ID)科医生的指导对NF治疗结果的影响。
进行了为期四年的回顾性研究(第一阶段,没有ID科医生参与,2001年12月至2005年12月)和为期15年的回顾性研究(第二阶段,有ID科医生参与,2006年1月至2021年3月)。在第二阶段,还实施了全院范围的计算机化抗菌药物审批系统(HCAAS)。采用前后测时间序列分析对两个阶段进行比较。比较两个阶段在临床结果、人口统计学、合并症、体征和症状、实验室检查结果、抗生素敏感性和抗生素治疗方案方面的差异。
第一阶段有19例患者,第二阶段有53例患者。与第一阶段(63.2%)相比,第二阶段患者的截肢或死亡率较低(35.8%)。44例患者(61.1%)发生了混合菌感染。在急诊室,误诊率从第一阶段的47.4%降至第二阶段的28.3%,而有效的经验性抗生素使用率从第一阶段的21.1%增至第二阶段的66.0%。在ID科医生调整后,第二阶段69.4%的患者接受了单一疗法,而第一阶段为33.3%。
由于NF死亡率高且常为混合菌感染,选择抗生素治疗方案很困难。由经验丰富的ID科医生使用HCAAS可以提高NF患者抗生素的合理使用和临床治疗效果。