Faculty of Fisheries, Zhejiang Ocean University, Zhoushan 316022, China.
Key Laboratory of Sustainable Development of Marine Fisheries, Ministry of Agriculture and Rural Affairs, Yellow Sea Fisheries Research Institute, Chinese Academy of Fishery Sciences, Qingdao 266071, China.
Int J Environ Res Public Health. 2022 Dec 16;19(24):16945. doi: 10.3390/ijerph192416945.
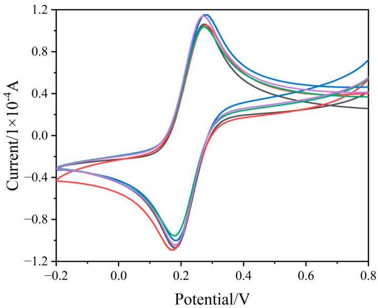
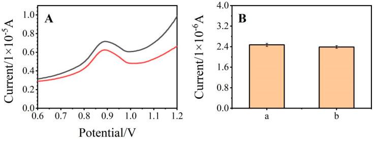
As the concept of green development spreads worldwide, environmental protection awareness for production and life has been continuously strengthened. Antibiotic residues in aquaculture wastewaters aggravate environmental pollution and threaten human health. Therefore, the detection of residual antibiotics in wastewater is crucial. In this paper, a new, simple, and low-cost method based on the glassy carbon electrode electrochemical sensor for the detection of sulfadiazine in aquaculture wastewater was developed without using complex materials to modify the electrode surface, to detect sulfadiazine which electrochemically oxidizes directly. The electrochemical performance of the sensor was studied and optimized with differential pulse voltammetry and cyclic voltammetry in the three-electrode system. The optimal electrolyte was acetic acid-sodium acetate buffer, and the optimal pH was 4.0. Finally, based on the optimized conditions, the newly established method showed satisfactory results for detecting sulfadiazine in aquaculture wastewater. The concentration of sulfadiazine and the peak current intensity showed a linear relationship in the range of 20 to 300 μmol/L, and the limit of detection was 6.14 μmol/L, the recovery rate of standard addition was 87-95%, with satisfactory reproducibility and low interference.
随着绿色发展理念在全球范围内的传播,生产生活中的环保意识不断增强。养殖废水中的抗生素残留加剧了环境污染,威胁着人类健康。因此,对废水中残留抗生素的检测至关重要。本文提出了一种新的、简单的、基于玻碳电极电化学传感器的低成本检测养殖废水中磺胺嘧啶的方法,无需使用复杂的材料对电极表面进行修饰,即可直接电化学氧化检测磺胺嘧啶。在三电极体系中,通过差分脉冲伏安法和循环伏安法对传感器的电化学性能进行了研究和优化。最佳电解质为乙酸-乙酸钠缓冲液,最佳 pH 值为 4.0。最后,在优化条件下,该新方法对养殖废水中磺胺嘧啶的检测结果令人满意。磺胺嘧啶的浓度与峰电流强度在 20 至 300 μmol/L 的范围内呈线性关系,检测限为 6.14 μmol/L,标准加入的回收率为 87-95%,具有良好的重现性和低干扰性。