Suppr超能文献

老年高血压患者的老年营养风险指数与中风风险之间的关联:一项纵向队列研究。

Association between the geriatric nutritional risk index and the risk of stroke in elderly patients with hypertension: A longitudinal and cohort study.

作者信息

Cai Xintian, Hu Junli, Wen Wen, Wang Mengru, Zhu Qing, Liu Shasha, Yang Wenbo, Dang Yujie, Hong Jing, Li Nanfang

机构信息

Hypertension Center, Xinjiang Hypertension Institute, NHC Key Laboratory of Hypertension Clinical Research, Key Laboratory of Xinjiang Uygur Autonomous Region, Xinjiang Clinical Medical Research Center for Hypertension Diseases, People's Hospital of Xinjiang Uygur Autonomous Region, Urumqi, China.

出版信息

Front Nutr. 2022 Dec 6;9:1048206. doi: 10.3389/fnut.2022.1048206. eCollection 2022.

Abstract

OBJECTIVE

We aimed to investigate the association between the GNRI and the risk of stroke in elderly patients with hypertension.

METHODS

A total of 5312 elderly hypertensive patients free of history of stroke were included. Multivariate Cox models were used to calculate hazard ratios (HRs) and their 95% confidence intervals (CIs) for stroke and its subtypes.

RESULTS

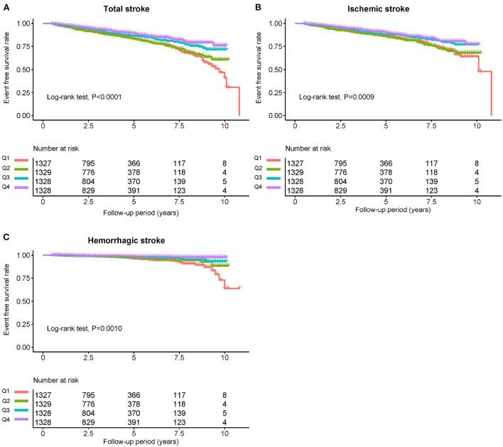
The average time of follow-up was 3.8 years, and the median time was 3.2 years. We identified 640 individuals with stroke, of whom 526 had an ischemic stroke (IS) and 114 had a hemorrhagic stroke (HS). After adjusting for confounding variables, compared with participants in the lowest quartile of the GNRI, those in the third and fourth quartiles were associated with a decreased risk of stroke (adjusted HR 0.72, 95% CI 0.58-0.90, and adjusted HR 0.58, 95% CI 0.46-0.74, respectively, P for trend < 0.001). Similar results were found for IS and HS. Moreover, there were L-shaped associations of GNRI with new-onset HS (P for non-linearity = 0.034). Multiple sensitivity analyses and stratified analyses did not materially change the results.

CONCLUSIONS

In summary, we found that a lower GNRI was associated with a higher risk of incident stroke in elderly hypertensive patients. Additional prospective data collection is required to confirm our findings.

摘要

目的

我们旨在研究老年高血压患者中肾小球滤过率营养指数(GNRI)与中风风险之间的关联。

方法

共纳入5312例无中风病史的老年高血压患者。采用多变量Cox模型计算中风及其亚型的风险比(HRs)及其95%置信区间(CIs)。

结果

平均随访时间为3.8年,中位时间为3.2年。我们确定了640例中风患者,其中526例为缺血性中风(IS),114例为出血性中风(HS)。在调整混杂变量后,与GNRI最低四分位数的参与者相比,第三和第四四分位数的参与者中风风险降低(调整后的HR分别为0.72,95%CI为0.58 - 0.90;调整后的HR为0.58,95%CI为0.46 - 0.74,趋势P<0.001)。IS和HS也有类似结果。此外,GNRI与新发HS呈L形关联(非线性P = 0.034)。多项敏感性分析和分层分析并未实质性改变结果。

结论

总之,我们发现较低的GNRI与老年高血压患者发生中风的较高风险相关。需要额外的前瞻性数据收集来证实我们的发现。

https://cdn.ncbi.nlm.nih.gov/pmc/blobs/f2cd/9763600/e1553938b22e/fnut-09-1048206-g0001.jpg

文献AI研究员

20分钟写一篇综述,助力文献阅读效率提升50倍。

立即体验

用中文搜PubMed

大模型驱动的PubMed中文搜索引擎

马上搜索

文档翻译

学术文献翻译模型,支持多种主流文档格式。

立即体验