Suppr超能文献

鸽子在避障过程中的间隙选择和转向。

Gap selection and steering during obstacle avoidance in pigeons.

机构信息

Department of Biology, University of Oxford, 11A Mansfield Road, Oxford OX1 3SZ, UK.

出版信息

J Exp Biol. 2023 Jan 15;226(2). doi: 10.1242/jeb.244215. Epub 2023 Jan 23.

Abstract

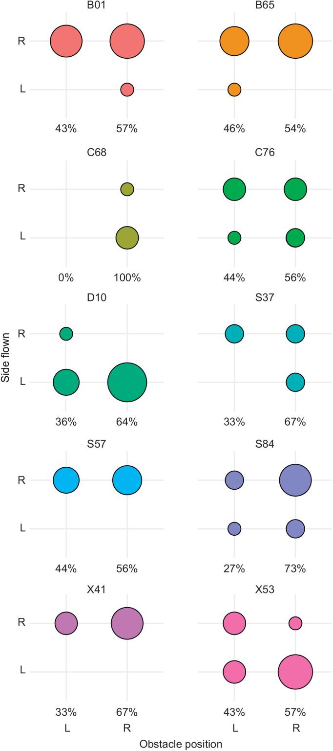
The ability of birds to fly through cluttered environments has inspired biologists interested in understanding its underlying mechanisms, and engineers interested in applying its underpinning principles. To analyse this problem empirically, we break it down into two distinct, but related, questions: How do birds select which gaps to aim for? And how do they steer through them? We answered these questions using a combined experimental and modelling approach, in which we released pigeons (Columbia livia domestica) inside a large hall with an open exit separated from the release point by a curtain creating two vertical gaps - one of which was obstructed by an obstacle. We tracked the birds using a high-speed motion capture system, and found that their gap choice seemed to be biased by their intrinsic handedness, rather than determined by extrinsic cues such as the size of the gap or its alignment with the destination. We modelled the pigeons' steering behaviour algorithmically by simulating their flight trajectories under a set of six candidate guidance laws, including those used previously to model target-oriented flight behaviours in birds. We found that their flights were best modelled by delayed proportional navigation commanding turning in proportion to the angular rate of the line-of-sight from the pigeon to the midpoint of the gap. Our results are consistent with this being a two-phase behaviour, in which the pigeon heads forward from the release point before steering towards the midpoint of whichever gap it chooses to aim for under closed-loop guidance. Our findings have implications for the sensorimotor mechanisms that underlie clutter negotiation in birds, uniting this with other kinds of target-oriented behaviours including aerial pursuit.

摘要

鸟类能够在杂乱的环境中飞行,这激发了生物学家对理解其潜在机制的兴趣,也激发了工程师对应用其潜在原理的兴趣。为了从经验上分析这个问题,我们将其分解为两个不同但相关的问题:鸟类如何选择要瞄准的间隙?它们如何通过这些间隙?我们使用结合了实验和建模的方法来回答这些问题,在该方法中,我们将鸽子(Columbia livia domestica)释放到一个大厅内,该大厅有一个开阔的出口,出口与释放点之间用幕布隔开,形成两个垂直间隙——其中一个被障碍物挡住。我们使用高速运动捕捉系统跟踪鸟类,发现它们的间隙选择似乎受到内在惯用手的影响,而不是由间隙的大小或与目的地的对齐等外在线索决定。我们通过模拟鸽子在六组候选制导律下的飞行轨迹,以算法方式对其转向行为进行建模,这些制导律包括以前用于模拟鸟类目标导向飞行行为的制导律。我们发现,根据视线从鸽子到间隙中点的角速率成比例进行延迟比例导航的指令,最能模拟它们的飞行。我们的结果与这是一种两阶段行为一致,在这种行为中,鸽子在闭环制导下朝着它选择瞄准的间隙中点前进,然后转向。我们的发现对鸟类在杂乱环境中导航的感觉运动机制有影响,将其与包括空中追逐在内的其他目标导向行为联系起来。

https://cdn.ncbi.nlm.nih.gov/pmc/blobs/6ff4/10086542/64bee64df50d/jexbio-226-244215-g1.jpg

文献AI研究员

20分钟写一篇综述,助力文献阅读效率提升50倍。

立即体验

用中文搜PubMed

大模型驱动的PubMed中文搜索引擎

马上搜索

文档翻译

学术文献翻译模型,支持多种主流文档格式。

立即体验