• 文献检索
  • 文档翻译
  • 深度研究
  • 学术资讯
  • Suppr Zotero 插件Zotero 插件
  • 邀请有礼
  • 套餐&价格
  • 历史记录
应用&插件
Suppr Zotero 插件Zotero 插件浏览器插件Mac 客户端Windows 客户端微信小程序
定价
高级版会员购买积分包购买API积分包
服务
文献检索文档翻译深度研究API 文档MCP 服务
关于我们
关于 Suppr公司介绍联系我们用户协议隐私条款
关注我们

Suppr 超能文献

核心技术专利:CN118964589B侵权必究
粤ICP备2023148730 号-1Suppr @ 2026

文献检索

告别复杂PubMed语法,用中文像聊天一样搜索,搜遍4000万医学文献。AI智能推荐,让科研检索更轻松。

立即免费搜索

文件翻译

保留排版,准确专业,支持PDF/Word/PPT等文件格式,支持 12+语言互译。

免费翻译文档

深度研究

AI帮你快速写综述,25分钟生成高质量综述,智能提取关键信息,辅助科研写作。

立即免费体验

通过多个航路点对转向进行前瞻性控制。

Prospective control of steering through multiple waypoints.

作者信息

Jansen A J, Fajen Brett R

机构信息

Cognitive Science Department, Rensselaer Polytechnic Institute, Troy, NY, USA.

出版信息

J Vis. 2024 Aug 1;24(8):1. doi: 10.1167/jov.24.8.1.

DOI:10.1167/jov.24.8.1
PMID:39087937
原文链接:https://pmc.ncbi.nlm.nih.gov/articles/PMC11305437/
Abstract

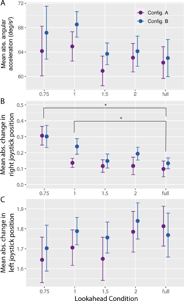
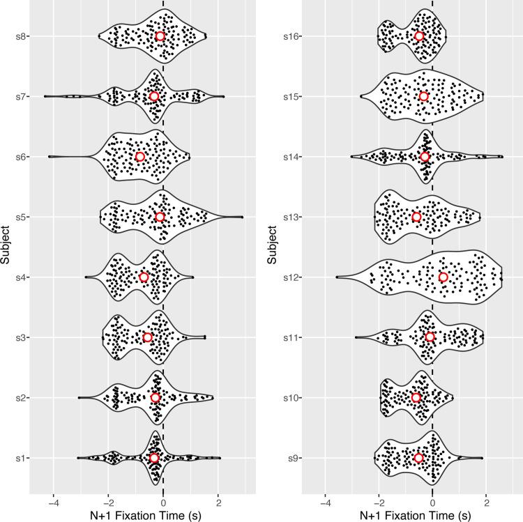
Some locomotor tasks involve steering at high speeds through multiple waypoints within cluttered environments. Although in principle actors could treat each individual waypoint in isolation, skillful performance would seem to require them to adapt their trajectory to the most immediate waypoint in anticipation of subsequent waypoints. To date, there have been few studies of such behavior, and the evidence that does exist is inconclusive about whether steering is affected by multiple future waypoints. The present study was designed to address the need for a clearer understanding of how humans adapt their steering movements in anticipation of future goals. Subjects performed a simulated drone flying task in a forest-like virtual environment that was presented on a monitor while their eye movements were tracked. They were instructed to steer through a series of gates while the distance at which gates first became visible (i.e., lookahead distance) was manipulated between trials. When gates became visible at least 1-1/2 segments in advance, subjects successfully flew through a high percentage of gates, rarely collided with obstacles, and maintained a consistent speed. They also approached the most immediate gate in a way that depended on the angular position of the subsequent gate. However, when the lookahead distance was less than 1-1/2 segments, subjects followed longer paths and flew at slower, more variable speeds. The findings demonstrate that the control of steering through multiple waypoints does indeed depend on information from beyond the most immediate waypoint. Discussion focuses on the possible control strategies for steering through multiple waypoints.

摘要

一些运动任务涉及在杂乱环境中高速转向通过多个路径点。虽然原则上行动者可以孤立地对待每个单独的路径点,但熟练的表现似乎要求他们根据后续路径点来调整轨迹,以预期最接近的路径点。迄今为止,关于这种行为的研究很少,而且现有的证据对于转向是否受多个未来路径点的影响尚无定论。本研究旨在满足更清楚地了解人类如何根据未来目标调整转向运动的需求。受试者在类似森林的虚拟环境中执行模拟无人机飞行任务,该环境呈现在监视器上,同时跟踪他们的眼球运动。他们被指示在一系列门之间转向,同时在试验之间操纵门首次可见的距离(即前瞻距离)。当门提前至少1.5个路段可见时,受试者成功飞过了很高比例的门,很少与障碍物碰撞,并保持了一致的速度。他们还以一种取决于后续门的角位置的方式接近最接近的门。然而,当前瞻距离小于1.5个路段时,受试者沿着更长的路径飞行,速度更慢且变化更大。研究结果表明,通过多个路径点控制转向确实依赖于最接近路径点之外的信息。讨论集中在通过多个路径点转向的可能控制策略上。

https://cdn.ncbi.nlm.nih.gov/pmc/blobs/4e38/11305437/64115b9b95fc/jovi-24-8-1-f009.jpg
https://cdn.ncbi.nlm.nih.gov/pmc/blobs/4e38/11305437/6536f74fe2ef/jovi-24-8-1-f001.jpg
https://cdn.ncbi.nlm.nih.gov/pmc/blobs/4e38/11305437/b1764509be1e/jovi-24-8-1-f002.jpg
https://cdn.ncbi.nlm.nih.gov/pmc/blobs/4e38/11305437/ee98e1629fe6/jovi-24-8-1-f003.jpg
https://cdn.ncbi.nlm.nih.gov/pmc/blobs/4e38/11305437/62b1513432f6/jovi-24-8-1-f004.jpg
https://cdn.ncbi.nlm.nih.gov/pmc/blobs/4e38/11305437/2b56fab1ba8b/jovi-24-8-1-f005.jpg
https://cdn.ncbi.nlm.nih.gov/pmc/blobs/4e38/11305437/cd12029fbde3/jovi-24-8-1-f006.jpg
https://cdn.ncbi.nlm.nih.gov/pmc/blobs/4e38/11305437/075134c939a1/jovi-24-8-1-f007.jpg
https://cdn.ncbi.nlm.nih.gov/pmc/blobs/4e38/11305437/659622caadd1/jovi-24-8-1-f008.jpg
https://cdn.ncbi.nlm.nih.gov/pmc/blobs/4e38/11305437/64115b9b95fc/jovi-24-8-1-f009.jpg
https://cdn.ncbi.nlm.nih.gov/pmc/blobs/4e38/11305437/6536f74fe2ef/jovi-24-8-1-f001.jpg
https://cdn.ncbi.nlm.nih.gov/pmc/blobs/4e38/11305437/b1764509be1e/jovi-24-8-1-f002.jpg
https://cdn.ncbi.nlm.nih.gov/pmc/blobs/4e38/11305437/ee98e1629fe6/jovi-24-8-1-f003.jpg
https://cdn.ncbi.nlm.nih.gov/pmc/blobs/4e38/11305437/62b1513432f6/jovi-24-8-1-f004.jpg
https://cdn.ncbi.nlm.nih.gov/pmc/blobs/4e38/11305437/2b56fab1ba8b/jovi-24-8-1-f005.jpg
https://cdn.ncbi.nlm.nih.gov/pmc/blobs/4e38/11305437/cd12029fbde3/jovi-24-8-1-f006.jpg
https://cdn.ncbi.nlm.nih.gov/pmc/blobs/4e38/11305437/075134c939a1/jovi-24-8-1-f007.jpg
https://cdn.ncbi.nlm.nih.gov/pmc/blobs/4e38/11305437/659622caadd1/jovi-24-8-1-f008.jpg
https://cdn.ncbi.nlm.nih.gov/pmc/blobs/4e38/11305437/64115b9b95fc/jovi-24-8-1-f009.jpg

相似文献

1
Prospective control of steering through multiple waypoints.通过多个航路点对转向进行前瞻性控制。
J Vis. 2024 Aug 1;24(8):1. doi: 10.1167/jov.24.8.1.
2
Coordination of gaze and action during high-speed steering and obstacle avoidance.高速转向和避障过程中的注视与动作协调。
PLoS One. 2024 Mar 8;19(3):e0289855. doi: 10.1371/journal.pone.0289855. eCollection 2024.
3
Visual anticipation of the future path: Predictive gaze and steering.视觉对未来路径的预期:预测性注视与转向。
J Vis. 2021 Aug 2;21(8):25. doi: 10.1167/jov.21.8.25.
4
Humans Use Predictive Gaze Strategies to Target Waypoints for Steering.人类使用预测性注视策略来瞄准转向的目标点。
Sci Rep. 2019 Jun 6;9(1):8344. doi: 10.1038/s41598-019-44723-0.
5
Can gaze control steering?目光能否控制转向?
J Vis. 2023 Jul 3;23(7):12. doi: 10.1167/jov.23.7.12.
6
On the nature of eye-hand coordination in natural steering behavior.自然转向行为中眼手协调的本质。
PLoS One. 2020 Nov 23;15(11):e0242818. doi: 10.1371/journal.pone.0242818. eCollection 2020.
7
Humans use Optokinetic Eye Movements to Track Waypoints for Steering.人类使用视动眼动追踪转向的航点。
Sci Rep. 2020 Mar 6;10(1):4175. doi: 10.1038/s41598-020-60531-3.
8
Prevention of coordinated eye movements and steering impairs driving performance.协调眼球运动和转向的能力受到抑制会损害驾驶性能。
Exp Brain Res. 2005 Jun;163(4):411-20. doi: 10.1007/s00221-004-2192-7. Epub 2005 Apr 20.
9
Eye movements drive steering: reduced eye movement distribution impairs steering and driving performance.眼球运动驱动转向:眼球运动分布减少会损害转向和驾驶性能。
J Mot Behav. 2008 May;40(3):190-202. doi: 10.3200/JMBR.40.3.190-202.
10
Eye movements coordinated with steering benefit performance even when vision is denied.即使在视觉受阻的情况下,与转向协调的眼球运动也有利于驾驶表现。
Exp Brain Res. 2007 Jan;176(3):397-412. doi: 10.1007/s00221-006-0623-3. Epub 2006 Aug 5.

引用本文的文献

1
The illusion of internal models in biological movement.生物运动中内部模型的错觉
Eur J Appl Physiol. 2025 Aug 27. doi: 10.1007/s00421-025-05963-3.
2
Visual control of steering through multiple waypoints.通过多个航路点进行转向的视觉控制。
Sci Rep. 2025 Aug 25;15(1):31261. doi: 10.1038/s41598-025-15880-2.

本文引用的文献

1
Coordination of gaze and action during high-speed steering and obstacle avoidance.高速转向和避障过程中的注视与动作协调。
PLoS One. 2024 Mar 8;19(3):e0289855. doi: 10.1371/journal.pone.0289855. eCollection 2024.
2
Champion-level drone racing using deep reinforcement learning.使用深度强化学习的冠军级无人机竞速。
Nature. 2023 Aug;620(7976):982-987. doi: 10.1038/s41586-023-06419-4. Epub 2023 Aug 30.
3
Can gaze control steering?目光能否控制转向?
J Vis. 2023 Jul 3;23(7):12. doi: 10.1167/jov.23.7.12.
4
Obstacle avoidance in aerial pursuit.空中追逐中的避障。
Curr Biol. 2023 Aug 7;33(15):3192-3202.e3. doi: 10.1016/j.cub.2023.06.047. Epub 2023 Jul 7.
5
Gap selection and steering during obstacle avoidance in pigeons.鸽子在避障过程中的间隙选择和转向。
J Exp Biol. 2023 Jan 15;226(2). doi: 10.1242/jeb.244215. Epub 2023 Jan 23.
6
Avoiding obstacles while intercepting a moving target: a miniature fly's solution.避开运动目标的障碍物:微型苍蝇的解决方案。
J Exp Biol. 2022 Feb 15;225(4). doi: 10.1242/jeb.243568.
7
Bumblebees display characteristics of active vision during robust obstacle avoidance flight.大黄蜂在强劲的避障飞行中表现出主动视觉的特征。
J Exp Biol. 2022 Feb 15;225(4). doi: 10.1242/jeb.243021. Epub 2022 Feb 18.
8
Visual anticipation of the future path: Predictive gaze and steering.视觉对未来路径的预期:预测性注视与转向。
J Vis. 2021 Aug 2;21(8):25. doi: 10.1167/jov.21.8.25.
9
Flying through gaps: how does a bird deal with the problem and what costs are there?穿越缝隙:鸟类如何应对这一问题以及会有哪些代价?
R Soc Open Sci. 2021 Aug 11;8(8):211072. doi: 10.1098/rsos.211072. eCollection 2021 Aug.
10
Time-optimal planning for quadrotor waypoint flight.四旋翼无人机航点飞行的时间最优规划。
Sci Robot. 2021 Jul 21;6(56). doi: 10.1126/scirobotics.abh1221.