Suppr超能文献

乳糜泻患者小肠组织中耐受性树突状细胞的表达。

Expression of tolerogenic dendritic cells in the small intestinal tissue of patients with celiac disease.

作者信息

Kheiri Farzaneh, Rostami-Nejad Mohammad, Amani Davar, Sadeghi Amir, Moradi Afshin, Aghamohammadi Elham, Sahebkar Amirhossein, Zali Mohammad Reza

机构信息

Department of Immunology, School of Medical Science, Shahid Beheshti University of Medical Sciences, Tehran, Iran.

Gastroenterology and Liver Diseases Research Center, Research Institute for Gastroenterology and Liver Diseases, Shahid Beheshti University of Medical Sciences, Tehran, Iran.

出版信息

Heliyon. 2022 Dec 10;8(12):e12273. doi: 10.1016/j.heliyon.2022.e12273. eCollection 2022 Dec.

Abstract

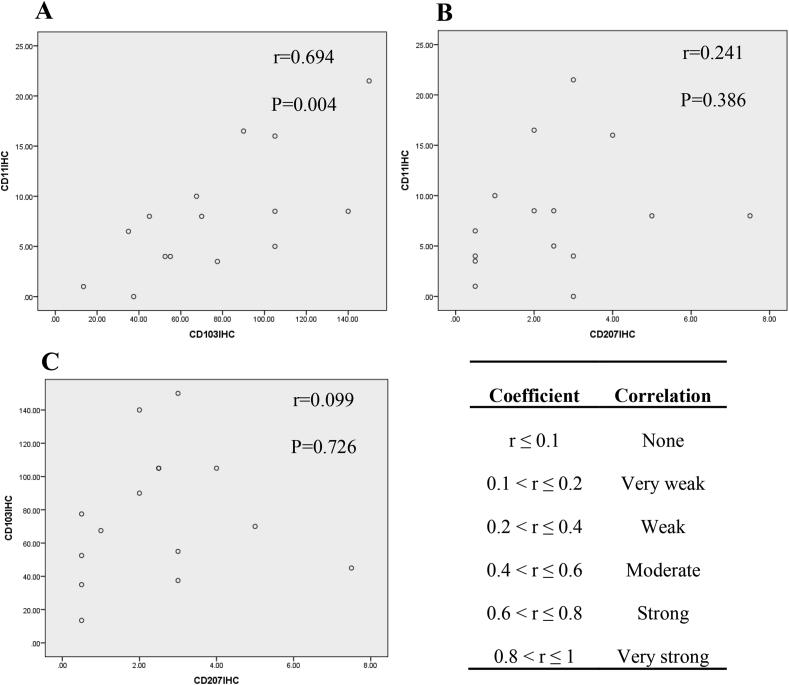
Tolerogenic dendritic cells (tolCDs) play an important role in the regulation of inflammation in autoimmune diseases such as celiac disease (CeD). Dendritic cells express CD207, CD11c, and CD103 on their surface. In addition to the receptors mentioned above, tolCDs can express the immune-regulating enzyme indoleamine 2,3-dioxygenase (IDO). This study aimed to determine the mRNA and protein expression of CD11c, CD103 and CD207 markers, and also IDO gene expression in intestinal tissues of CeD patients in comparison to the healthy individuals. Duodenal biopsies were collected from 60 CeD patients and 60 controls. Total RNA was extracted and gene expression analysis was performed using Real-time PCR SYBR® Green method. Additionally, biopsy specimens were paraffinized and protein expression was evaluated using immunohistochemistry (IHC) for expression of CD11c+, CD207+and CD103+. Gene expression levels of CD11c (P = 0.045), CD103 (P < 0.001), CD207 (P < 0.001) and IDO (P = 0.01) were significantly increased in CeD patients compared to the control group. However, only CD103 protein expression was found to be significantly higher in CeD patients in comparison to the control group (P < 0.001). The result of this study showed that the expresion levels of CD11c, CD103, CD207 and IDO markers were higher in CeD patients compared to the controls, indicating the effort of dendritic cells to counterbalance the gliadin-triggered abnormal immune responses in CeD patients.

摘要

耐受性树突状细胞(tolCDs)在自身免疫性疾病如乳糜泻(CeD)的炎症调节中发挥重要作用。树突状细胞在其表面表达CD207、CD11c和CD103。除上述受体外,tolCDs还可表达免疫调节酶吲哚胺2,3-双加氧酶(IDO)。本研究旨在确定与健康个体相比,CeD患者肠道组织中CD11c、CD103和CD207标志物的mRNA和蛋白表达,以及IDO基因表达。从60例CeD患者和60例对照中采集十二指肠活检标本。提取总RNA,并使用实时荧光定量PCR SYBR® Green法进行基因表达分析。此外,将活检标本石蜡包埋,并使用免疫组织化学(IHC)评估CD11c+、CD207+和CD103+的蛋白表达。与对照组相比,CeD患者中CD11c(P = 0.045)、CD103(P < 0.001)、CD207(P < 0.001)和IDO(P = 0.01)的基因表达水平显著升高。然而,与对照组相比,仅发现CeD患者中CD103蛋白表达显著更高(P < 0.001)。本研究结果表明,与对照组相比,CeD患者中CD11c、CD103、CD207和IDO标志物的表达水平更高,表明树突状细胞努力平衡CeD患者中麦醇溶蛋白引发的异常免疫反应。

https://cdn.ncbi.nlm.nih.gov/pmc/blobs/60c4/9791365/e3978c9a492b/gr1.jpg

文献AI研究员

20分钟写一篇综述,助力文献阅读效率提升50倍。

立即体验

用中文搜PubMed

大模型驱动的PubMed中文搜索引擎

马上搜索

文档翻译

学术文献翻译模型,支持多种主流文档格式。

立即体验