Suppr超能文献

一种与自噬相关的长链非编码RNA预后模型及女性乳腺癌相关免疫研究

An autophagy-related long non-coding RNA prognostic model and related immune research for female breast cancer.

作者信息

Chen Jiafeng, Li Xinrong, Yan Shuixin, Li Jiadi, Zhou Yuxin, Wu Minhua, Ding Jinhua, Yang Jiahui, Yuan Yijie, Zhu Ye, Wu Weizhu

机构信息

Department of Thyroid and Breast surgery, The Affiliated Lihuili Hospital, Ningbo University, Ningbo, China.

School of Medicine, Ningbo University, Ningbo, China.

出版信息

Front Oncol. 2022 Dec 15;12:929240. doi: 10.3389/fonc.2022.929240. eCollection 2022.

Abstract

INTRODUCTION

Breast cancer (BRCA) is the most common malignancy among women worldwide. It was widely accepted that autophagy and the tumor immune microenvironment play an important role in the biological process of BRCA. Long non-coding RNAs (lncRNAs), as vital regulatory molecules, are involved in the occurrence and development of BRCA. The aim of this study was to assess the prognosis of BRCA by constructing an autophagy-related lncRNA (ARlncRNA) prognostic model and to provide individualized guidance for the treatment of BRCA.

METHODS

The clinical data and transcriptome data of patients with BRCA were acquired from the Cancer Genome Atlas database (TCGA), and autophagy-related genes were obtained from the human autophagy database (HADb). ARlncRNAs were identified by conducting co‑expression analysis. Univariate and multivariate Cox regression analysis were performed to construct an ARlncRNA prognostic model. The prognostic model was evaluated by Kaplan-Meier survival analysis, plotting risk curve, Independent prognostic analysis, clinical correlation analysis and plotting ROC curves. Finally, the tumor immune microenvironment of the prognostic model was studied.

RESULTS

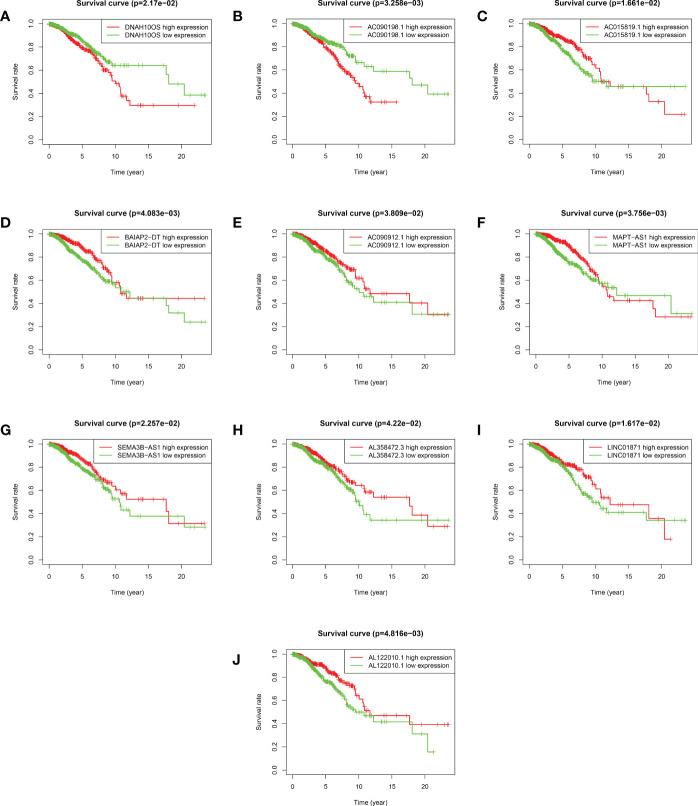
10 ARlncRNAs() were included in the model. Kaplan-Meier survival analysis of the prognostic model showed that the overall survival(OS) of the low-risk group was significantly better than that of the high-risk group (p< 0.001). Multivariate Cox regression analyses suggested that the prognostic model was an independent prognostic factor for BRCA (HR = 1.788, CI = 1.534-2.084, p < 0.001). ROCs of 1-, 3- and 5-year survival revealed that the AUC values of the prognostic model were all > 0.7, with values of 0.779, 0.746, and 0.731, respectively. In addition, Gene Set Enrichment Analysis (GSEA) suggested that several tumor-related pathways were enriched in the high-risk group, while several immune‑related pathways were enriched in the low-risk group. Patients in the low-risk group had higher immune scores and their immune cells and immune pathways were more active. Patients in the low-risk group had higher PD-1 and CTLA-4 levels and received more benefits from immune checkpoint inhibitors (ICIs) therapy.

DISCUSSION

The ARlncRNA prognostic model showed good performance in predicting the prognosis of patients with BRCA and is of great significance to guide the individualized treatment of these patients.

摘要

引言

乳腺癌(BRCA)是全球女性中最常见的恶性肿瘤。自噬和肿瘤免疫微环境在BRCA的生物学过程中发挥重要作用,这一点已得到广泛认可。长链非编码RNA(lncRNAs)作为重要的调控分子,参与了BRCA的发生和发展。本研究旨在通过构建自噬相关lncRNA(ARlncRNA)预后模型评估BRCA的预后,并为BRCA的治疗提供个体化指导。

方法

从癌症基因组图谱数据库(TCGA)获取BRCA患者的临床数据和转录组数据,并从人类自噬数据库(HADb)获取自噬相关基因。通过共表达分析鉴定ARlncRNAs。进行单因素和多因素Cox回归分析以构建ARlncRNA预后模型。通过Kaplan-Meier生存分析、绘制风险曲线、独立预后分析、临床相关性分析和绘制ROC曲线对预后模型进行评估。最后,研究预后模型的肿瘤免疫微环境。

结果

模型纳入了10个ARlncRNAs。预后模型的Kaplan-Meier生存分析表明,低风险组的总生存期(OS)显著优于高风险组(p<0.001)。多因素Cox回归分析表明,预后模型是BRCA的独立预后因素(HR = 1.788,CI = 1.534 - 2.084,p < 0.001)。1年、3年和5年生存率的ROC曲线显示,预后模型的AUC值均>0.7,分别为0.779、0.746和0.731。此外,基因集富集分析(GSEA)表明,高风险组中富集了一些肿瘤相关通路,而低风险组中富集了一些免疫相关通路。低风险组患者的免疫评分更高,其免疫细胞和免疫通路更活跃。低风险组患者的PD-1和CTLA-4水平更高,从免疫检查点抑制剂(ICIs)治疗中获益更多。

讨论

ARlncRNA预后模型在预测BRCA患者预后方面表现良好,对指导这些患者的个体化治疗具有重要意义。

https://cdn.ncbi.nlm.nih.gov/pmc/blobs/9c2c/9798206/db24161e03ed/fonc-12-929240-g001.jpg

文献AI研究员

20分钟写一篇综述,助力文献阅读效率提升50倍。

立即体验

用中文搜PubMed

大模型驱动的PubMed中文搜索引擎

马上搜索

文档翻译

学术文献翻译模型,支持多种主流文档格式。

立即体验