Suppr超能文献

碳酸盐酸化增产油藏的优化与不确定性量化方法

Optimization and Uncertainty Quantification Method for Reservoir Stimulation through Carbonate Acidizing.

作者信息

Sahu Qasim, Fahs Marwan, Hoteit Hussein

机构信息

Physical Science and Engineering Division, King Abdullah University of Science and Technology (KAUST), Thuwal23955, Saudi Arabia.

Institut Terre et Environnement de Strasbourg, University of Strasbourg, CNRS, ENGEES, Strasbourg67084, France.

出版信息

ACS Omega. 2022 Dec 22;8(1):539-554. doi: 10.1021/acsomega.2c05564. eCollection 2023 Jan 10.

Abstract

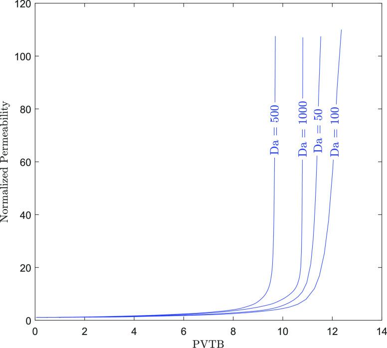
Reservoir stimulation is a widely used technique in the oil and gas industry for increasing the productivity of hydrocarbon reservoirs, most notably in carbonate formations. This work aims to develop an optimization workflow under uncertainty for matrix acidizing. A reactive transport model is implemented in a finite-element framework to simulate the initiation and propagation of dissolution channels in porous carbonate rock. The model is verified using an analytical solution. We utilize surrogate modeling based on polynomial chaos expansion (PCE) and Sobol indices to identify the most significant parameters. We investigate the effect of varying 12 identified parameters on the efficiency of the stimulation process using dimensionless groups, including the Damköhler, Peclet, and acid capacity numbers. Furthermore, the surrogate model reproduces the physics-based results accurately, including the dissolution channels, the pore volume to breakthrough, and the effective permeability of the stimulated rock. The developed workflow assesses how uncertainties propagate to the model's response, where the surrogate model is used to calculate the univariate effect. The global sensitivity analysis shows that the acid capacity number is the most significant parameter for the pore volume to breakthrough with the highest Sobol index. The marginal effect calculated for the individual parameter confirms the results from Sobol indices. This work provides a systematic workflow for uncertainty analysis and optimization applied to the processes of rock stimulation. Characterizing the impact of uncertainty provides physical insights and a better understanding of the matrix acidizing process.

摘要

储层增产是石油和天然气行业中广泛使用的一项技术,用于提高碳氢化合物储层的产能,在碳酸盐岩地层中尤为显著。这项工作旨在开发一种在不确定性条件下进行基质酸化优化的工作流程。在有限元框架中实现了一个反应输运模型,以模拟多孔碳酸盐岩中溶解通道的起始和扩展。该模型通过解析解进行了验证。我们利用基于多项式混沌展开(PCE)和索伯尔指数的代理建模来识别最重要的参数。我们使用无量纲组,包括达姆科勒数、佩克莱数和酸容量数,研究了12个已识别参数的变化对增产过程效率的影响。此外,代理模型准确地再现了基于物理的结果,包括溶解通道、突破时的孔隙体积以及增产岩石的有效渗透率。所开发的工作流程评估了不确定性如何传播到模型的响应,其中代理模型用于计算单变量效应。全局敏感性分析表明,酸容量数是突破时孔隙体积最重要的参数,索伯尔指数最高。对单个参数计算的边际效应证实了索伯尔指数的结果。这项工作为应用于岩石增产过程的不确定性分析和优化提供了一个系统的工作流程。表征不确定性的影响提供了物理见解,并能更好地理解基质酸化过程。

https://cdn.ncbi.nlm.nih.gov/pmc/blobs/03ed/9835652/b11f934904ba/ao2c05564_0002.jpg

相似文献

1
Optimization and Uncertainty Quantification Method for Reservoir Stimulation through Carbonate Acidizing.
ACS Omega. 2022 Dec 22;8(1):539-554. doi: 10.1021/acsomega.2c05564. eCollection 2023 Jan 10.
2
Microstructural analysis applied to carbonate matrix acidizing: An overview and a case study.
Micron. 2024 Dec;187:103724. doi: 10.1016/j.micron.2024.103724. Epub 2024 Sep 25.
3
Pore-Scale Numerical Simulation of Acid-Rock Reaction Processes in Carbonate Reservoirs.
ACS Omega. 2024 Jul 24;9(31):34106-34117. doi: 10.1021/acsomega.4c04538. eCollection 2024 Aug 6.
5
Mechanisms of multiphase reactive flow using biogenically calcite-functionalized micromodels.
Lab Chip. 2018 Dec 4;18(24):3881-3891. doi: 10.1039/c8lc00793d.
6
A Review on Use of Emulsified Acids for Matrix Acidizing in Carbonate Reservoirs.
ACS Omega. 2024 Mar 1;9(10):11027-11049. doi: 10.1021/acsomega.3c07132. eCollection 2024 Mar 12.
7
Impact of HCl Acidizing Treatment on Mechanical Integrity of Carbonaceous Shale.
ACS Omega. 2022 Apr 18;7(16):13629-13643. doi: 10.1021/acsomega.1c07175. eCollection 2022 Apr 26.
8
Unsupervised stochastic learning and reduced order modeling for global sensitivity analysis in cardiac electrophysiology models.
Comput Methods Programs Biomed. 2024 Oct;255:108311. doi: 10.1016/j.cmpb.2024.108311. Epub 2024 Jul 8.
9
Sensitivity Evaluation and Stimulation Optimization of Ultralow Permeability Sandstone Reservoir.
ACS Omega. 2023 Sep 25;8(40):37176-37185. doi: 10.1021/acsomega.3c04767. eCollection 2023 Oct 10.

引用本文的文献

本文引用的文献

2
Carbonate Stimulation Using Chelating Agents: Improving the Treatment Performance by Optimizing the Fluid Properties.
ACS Omega. 2022 Mar 1;7(10):8938-8949. doi: 10.1021/acsomega.1c07329. eCollection 2022 Mar 15.
3
An Artificial Intelligence-Based Model for Performance Prediction of Acid Fracturing in Naturally Fractured Reservoirs.
ACS Omega. 2021 May 18;6(21):13654-13670. doi: 10.1021/acsomega.1c00809. eCollection 2021 Jun 1.
4
Study on the Performance Degradation of Sandstone under Acidification.
ACS Omega. 2020 Oct 21;5(43):28333-28340. doi: 10.1021/acsomega.0c04312. eCollection 2020 Nov 3.

文献AI研究员

20分钟写一篇综述,助力文献阅读效率提升50倍。

立即体验

用中文搜PubMed

大模型驱动的PubMed中文搜索引擎

马上搜索

文档翻译

学术文献翻译模型,支持多种主流文档格式。

立即体验