• 文献检索
  • 文档翻译
  • 深度研究
  • 学术资讯
  • Suppr Zotero 插件Zotero 插件
  • 邀请有礼
  • 套餐&价格
  • 历史记录
应用&插件
Suppr Zotero 插件Zotero 插件浏览器插件Mac 客户端Windows 客户端微信小程序
定价
高级版会员购买积分包购买API积分包
服务
文献检索文档翻译深度研究API 文档MCP 服务
关于我们
关于 Suppr公司介绍联系我们用户协议隐私条款
关注我们

Suppr 超能文献

核心技术专利:CN118964589B侵权必究
粤ICP备2023148730 号-1Suppr @ 2026

文献检索

告别复杂PubMed语法,用中文像聊天一样搜索,搜遍4000万医学文献。AI智能推荐,让科研检索更轻松。

立即免费搜索

文件翻译

保留排版,准确专业,支持PDF/Word/PPT等文件格式,支持 12+语言互译。

免费翻译文档

深度研究

AI帮你快速写综述,25分钟生成高质量综述,智能提取关键信息,辅助科研写作。

立即免费体验

快速准确地推断群体和/或个体的亲缘关系参数。

Fast and accurate joint inference of coancestry parameters for populations and/or individuals.

机构信息

MIA-Paris, INRAE, AgroParisTech, Université Paris-Saclay, Palaiseau, France.

Université Paris-Saclay, INRAE, CNRS, AgroParisTech, Génétique Quantitative et Evolution-Le Moulon, Gif-sur-Yvette, France.

出版信息

PLoS Genet. 2023 Jan 19;19(1):e1010054. doi: 10.1371/journal.pgen.1010054. eCollection 2023 Jan.

DOI:10.1371/journal.pgen.1010054
PMID:36656906
原文链接:https://pmc.ncbi.nlm.nih.gov/articles/PMC9888729/
Abstract

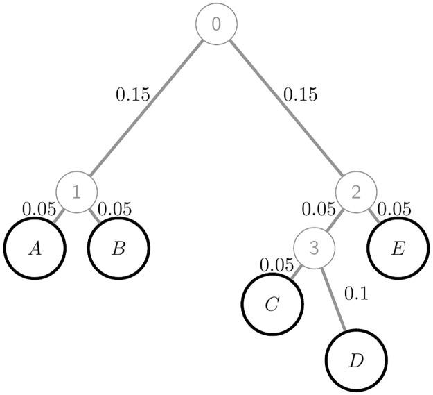
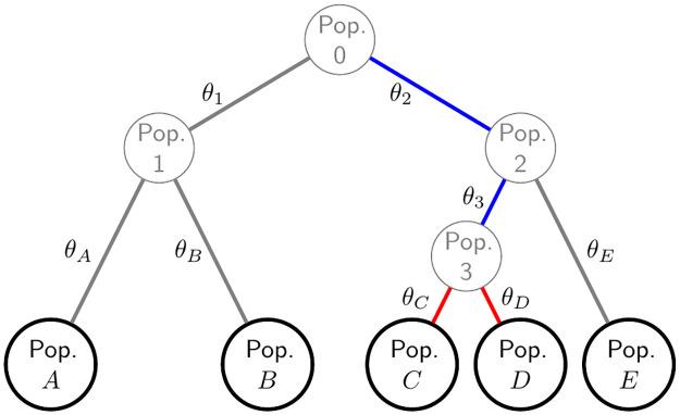
We introduce a fast, new algorithm for inferring from allele count data the FST parameters describing genetic distances among a set of populations and/or unrelated diploid individuals, and a tree with branch lengths corresponding to FST values. The tree can reflect historical processes of splitting and divergence, but seeks to represent the actual genetic variance as accurately as possible with a tree structure. We generalise two major approaches to defining FST, via correlations and mismatch probabilities of sampled allele pairs, which measure shared and non-shared components of genetic variance. A diploid individual can be treated as a population of two gametes, which allows inference of coancestry coefficients for individuals as well as for populations, or a combination of the two. A simulation study illustrates that our fast method-of-moments estimation of FST values, simultaneously for multiple populations/individuals, gains statistical efficiency over pairwise approaches when the population structure is close to tree-like. We apply our approach to genome-wide genotypes from the 26 worldwide human populations of the 1000 Genomes Project. We first analyse at the population level, then a subset of individuals and in a final analysis we pool individuals from the more homogeneous populations. This flexible analysis approach gives advantages over traditional approaches to population structure/coancestry, including visual and quantitative assessments of long-standing questions about the relative magnitudes of within- and between-population genetic differences.

摘要

我们介绍了一种快速、新颖的算法,用于根据等位基因计数数据推断描述一组种群和/或无关二倍体个体之间遗传距离的 FST 参数,以及具有对应于 FST 值的分支长度的树。该树可以反映分裂和分歧的历史过程,但力求用树结构尽可能准确地表示实际遗传方差。我们推广了通过样本等位基因对的相关性和不匹配概率来定义 FST 的两种主要方法,这两种方法分别衡量遗传方差的共享和非共享分量。二倍体个体可以被视为两个配子的群体,这允许对个体以及对种群推断同系系数,或者两者的组合。一项模拟研究表明,当群体结构接近树状时,我们的快速矩估计方法同时对多个种群/个体进行 FST 值的估计,相对于成对方法具有更高的统计效率。我们将我们的方法应用于来自 1000 基因组计划的 26 个人类全球人群的全基因组基因型。我们首先在群体水平上进行分析,然后在个体子集上进行分析,最后在更同质的群体中合并个体进行分析。这种灵活的分析方法相对于传统的群体结构/同系系数分析方法具有优势,包括对有关群体内和群体间遗传差异相对大小的长期问题的直观和定量评估。

https://cdn.ncbi.nlm.nih.gov/pmc/blobs/dca9/9888729/fb1755d4cc09/pgen.1010054.g007.jpg
https://cdn.ncbi.nlm.nih.gov/pmc/blobs/dca9/9888729/650804fd0d3f/pgen.1010054.g001.jpg
https://cdn.ncbi.nlm.nih.gov/pmc/blobs/dca9/9888729/8b8b5fcea24c/pgen.1010054.g002.jpg
https://cdn.ncbi.nlm.nih.gov/pmc/blobs/dca9/9888729/264fc34fbd2b/pgen.1010054.g003.jpg
https://cdn.ncbi.nlm.nih.gov/pmc/blobs/dca9/9888729/37d09a8a0917/pgen.1010054.g004.jpg
https://cdn.ncbi.nlm.nih.gov/pmc/blobs/dca9/9888729/4dcaf1891ab7/pgen.1010054.g005.jpg
https://cdn.ncbi.nlm.nih.gov/pmc/blobs/dca9/9888729/082af1474f5b/pgen.1010054.g006.jpg
https://cdn.ncbi.nlm.nih.gov/pmc/blobs/dca9/9888729/fb1755d4cc09/pgen.1010054.g007.jpg
https://cdn.ncbi.nlm.nih.gov/pmc/blobs/dca9/9888729/650804fd0d3f/pgen.1010054.g001.jpg
https://cdn.ncbi.nlm.nih.gov/pmc/blobs/dca9/9888729/8b8b5fcea24c/pgen.1010054.g002.jpg
https://cdn.ncbi.nlm.nih.gov/pmc/blobs/dca9/9888729/264fc34fbd2b/pgen.1010054.g003.jpg
https://cdn.ncbi.nlm.nih.gov/pmc/blobs/dca9/9888729/37d09a8a0917/pgen.1010054.g004.jpg
https://cdn.ncbi.nlm.nih.gov/pmc/blobs/dca9/9888729/4dcaf1891ab7/pgen.1010054.g005.jpg
https://cdn.ncbi.nlm.nih.gov/pmc/blobs/dca9/9888729/082af1474f5b/pgen.1010054.g006.jpg
https://cdn.ncbi.nlm.nih.gov/pmc/blobs/dca9/9888729/fb1755d4cc09/pgen.1010054.g007.jpg

相似文献

1
Fast and accurate joint inference of coancestry parameters for populations and/or individuals.快速准确地推断群体和/或个体的亲缘关系参数。
PLoS Genet. 2023 Jan 19;19(1):e1010054. doi: 10.1371/journal.pgen.1010054. eCollection 2023 Jan.
2
An allele-sharing, moment-based estimator of global, population-specific and population-pair FST under a general model of population structure.基于一般群体结构模型的等位基因共享、矩估计的全球、群体特有和群体对 FST。
PLoS Genet. 2023 Nov 27;19(11):e1010871. doi: 10.1371/journal.pgen.1010871. eCollection 2023 Nov.
3
[The use of the expectation-maximization (EM) algorithm for maximum likelihood estimation of gametic frequencies of multilocus polymorphic codominant systems based on sampled population data].[基于抽样群体数据,使用期望最大化(EM)算法对多位点共显性系统的配子频率进行最大似然估计]
Genetika. 2002 Mar;38(3):407-18.
4
Testing the usefulness of the molecular coancestry information to assess genetic relationships in livestock using a set of Spanish sheep breeds.利用一组西班牙绵羊品种测试分子共同祖先信息在评估家畜遗传关系方面的有用性。
J Anim Sci. 2005 Apr;83(4):737-44. doi: 10.2527/2005.834737x.
5
Fast individual ancestry inference from DNA sequence data leveraging allele frequencies for multiple populations.利用多个群体的等位基因频率从DNA序列数据中快速推断个体祖先。
BMC Bioinformatics. 2015 Jan 16;16:4. doi: 10.1186/s12859-014-0418-7.
6
FSTruct: An F -based tool for measuring ancestry variation in inference of population structure.FSTruct:一种基于 F 的工具,用于在推断种群结构中的祖先变异测量。
Mol Ecol Resour. 2022 Oct;22(7):2614-2626. doi: 10.1111/1755-0998.13647. Epub 2022 Jul 20.
7
Non-identifiability of identity coefficients at biallelic loci.双等位基因位点上身份系数的不可识别性。
Theor Popul Biol. 2014 Mar;92:22-9. doi: 10.1016/j.tpb.2013.11.001. Epub 2013 Nov 21.
8
Marker-based estimation of the coefficient of coancestry in hybrid breeding programmes.杂交育种计划中基于标记的共祖系数估计
Theor Appl Genet. 2009 Apr;118(6):1181-92. doi: 10.1007/s00122-009-0972-y. Epub 2009 Feb 18.
9
Robust inference of population structure for ancestry prediction and correction of stratification in the presence of relatedness.在存在亲缘关系的情况下,对群体结构进行稳健推断,以进行血统预测和分层校正。
Genet Epidemiol. 2015 May;39(4):276-93. doi: 10.1002/gepi.21896. Epub 2015 Mar 23.
10
Efficient pedigree recording for fast population genetics simulation.高效的家系记录,实现快速的群体遗传学模拟。
PLoS Comput Biol. 2018 Nov 1;14(11):e1006581. doi: 10.1371/journal.pcbi.1006581. eCollection 2018 Nov.

引用本文的文献

1
On ARGs, pedigrees, and genetic relatedness matrices.关于抗菌药物耐药基因、谱系和遗传相关性矩阵。
bioRxiv. 2025 Mar 5:2025.03.03.641310. doi: 10.1101/2025.03.03.641310.
2
Genetic and Phenotypic Evaluation of European Maize Landraces as a Tool for Conservation and Valorization of Agrobiodiversity.欧洲玉米地方品种的遗传与表型评估:作为农业生物多样性保护与增值的工具
Biology (Basel). 2024 Jun 19;13(6):454. doi: 10.3390/biology13060454.
3
An allele-sharing, moment-based estimator of global, population-specific and population-pair FST under a general model of population structure.

本文引用的文献

1
Estimating FST and kinship for arbitrary population structures.估计任意群体结构的 FST 和亲缘关系。
PLoS Genet. 2021 Jan 19;17(1):e1009241. doi: 10.1371/journal.pgen.1009241. eCollection 2021 Jan.
2
Massive parallel sequencing in forensics: advantages, issues, technicalities, and prospects.法医学中的大规模平行测序:优势、问题、技术细节和前景。
Int J Legal Med. 2020 Jul;134(4):1291-1303. doi: 10.1007/s00414-020-02294-0. Epub 2020 May 25.
3
ESTIMATING F-STATISTICS FOR THE ANALYSIS OF POPULATION STRUCTURE.估计用于群体结构分析的F统计量
基于一般群体结构模型的等位基因共享、矩估计的全球、群体特有和群体对 FST。
PLoS Genet. 2023 Nov 27;19(11):e1010871. doi: 10.1371/journal.pgen.1010871. eCollection 2023 Nov.
Evolution. 1984 Nov;38(6):1358-1370. doi: 10.1111/j.1558-5646.1984.tb05657.x.
4
A Unified Characterization of Population Structure and Relatedness.群体结构与亲缘关系的统一表征
Genetics. 2017 Aug;206(4):2085-2103. doi: 10.1534/genetics.116.198424. Epub 2017 May 26.
5
Human Demographic History Impacts Genetic Risk Prediction across Diverse Populations.人类人口统计学历史影响不同人群的遗传风险预测。
Am J Hum Genet. 2017 Apr 6;100(4):635-649. doi: 10.1016/j.ajhg.2017.03.004. Epub 2017 Mar 30.
6
The international Genome sample resource (IGSR): A worldwide collection of genome variation incorporating the 1000 Genomes Project data.国际基因组样本资源(IGSR):整合了千人基因组计划数据的全球基因组变异集合。
Nucleic Acids Res. 2017 Jan 4;45(D1):D854-D859. doi: 10.1093/nar/gkw829. Epub 2016 Sep 15.
7
Population-specific FST values for forensic STR markers: A worldwide survey.法医STR标记的群体特异性FST值:一项全球调查。
Forensic Sci Int Genet. 2016 Jul;23:91-100. doi: 10.1016/j.fsigen.2016.03.004. Epub 2016 Mar 22.
8
Worldwide F(ST) estimates relative to five continental-scale populations.全球范围内相对于五个大陆规模人群的F(ST)估计值。
Ann Hum Genet. 2014 Nov;78(6):468-77. doi: 10.1111/ahg.12081.
9
Relatedness in the post-genomic era: is it still useful?后基因组时代的相关性:它还有用吗?
Nat Rev Genet. 2015 Jan;16(1):33-44. doi: 10.1038/nrg3821. Epub 2014 Nov 18.
10
The genetical structure of populations.种群的遗传结构。
Ann Eugen. 1951 Mar;15(4):323-54. doi: 10.1111/j.1469-1809.1949.tb02451.x.