Suppr超能文献

β-环糊精与大麻二酚和 Δ-9-四氢大麻酚 1:1 和 2:1 主客体化学计量比复合物的结构研究:分子对接和密度泛函计算。

Structural Investigation of Beta-Cyclodextrin Complexes with Cannabidiol and Delta-9-Tetrahydrocannabinol in 1:1 and 2:1 Host-Guest Stoichiometry: Molecular Docking and Density Functional Calculations.

机构信息

School of Bio-Chemical Engineering and Technology, Sirindhorn International Institute of Technology, Thammasat University, Pathum Thani 12120, Thailand.

出版信息

Int J Mol Sci. 2023 Jan 12;24(2):1525. doi: 10.3390/ijms24021525.

Abstract

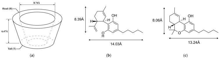
The complexation of β-cyclodextrin (β-CD) with cannabidiol (CBD) and Δ-tetrahydrocannabinol (THC) was investigated using molecular docking and M062X/6-31G(d,p) calculations. The calculations suggested two possible complex formations of 1:1 and 2:1 host-guest molecular ratio of β-CD with CBD and THC. The preferred orientation of all complexes in this study exhibited the hydrogen bonding between hydroxy-substituted benzene ring of CBD and THC with the β-CD's secondary hydroxy groups at the wide rim. The calculated complexation energies indicate that formation of the 2:1 complexes (-83.53 to -135.36 kcal/mol) was more energetically favorable and chemically stable than the 1:1 complexes (-30.00 to -34.92 kcal/mol). However, the deformation energies of the host and the guest components in the 2:1 complexes (37.47-96.91 kcal/mol) are much higher than those in the 1:1 complexes (3.49-8.69 kcal/mol), which means the formation processes of the 2:1 complexes are more difficult due to the rigidity of the dimeric β-CDs. Therefore, the inclusion complexes of β-CD with CBD and THC are more likely to be in 1:1 host-guest ratio than in 2:1 molecular ratio. The results of this study supported the experimental results that the complexation constant of 1:1 β-CD/CBD (Ks = 300 M) is greater than that of 2:1 β-CDs/CBD (Kss = 0.833 M). Altogether, this study introduced the fitting parameters that could indicate the stability of the molecular fits in complex formation of each stoichiometry host-guest ratio, which are important for the assessment of the inclusion mechanisms as well as the relationships of reactants and products in chemical reactions.

摘要

采用分子对接和 M062X/6-31G(d,p)计算研究了β-环糊精(β-CD)与大麻二酚(CBD)和Δ-四氢大麻酚(THC)的络合作用。计算表明,β-CD 与 CBD 和 THC 可能以 1:1 和 2:1 的主客体摩尔比形成两种复合物。本研究中所有复合物的优先取向均表现出 CBD 和 THC 的羟基取代苯环与β-CD 宽边缘的二级羟基之间的氢键相互作用。计算的络合能表明,形成 2:1 复合物(-83.53 至-135.36 kcal/mol)比形成 1:1 复合物(-30.00 至-34.92 kcal/mol)更具能量优势和化学稳定性。然而,2:1 复合物中主体和客体组分的变形能(37.47-96.91 kcal/mol)远高于 1:1 复合物(3.49-8.69 kcal/mol),这意味着由于二聚β-CDs 的刚性,形成 2:1 复合物的过程更加困难。因此,β-CD 与 CBD 和 THC 的包合复合物更可能以 1:1 的主客体比例存在,而不是以 2:1 的分子比例存在。本研究结果支持实验结果,即 1:1 β-CD/CBD(Ks = 300 M)的络合常数大于 2:1 β-CD/CBD(Kss = 0.833 M)的络合常数。总之,本研究引入了拟合参数,这些参数可以指示每种化学计量摩尔比的主体-客体比的分子拟合的稳定性,这对于评估包含机制以及化学反应中反应物和产物的关系非常重要。

https://cdn.ncbi.nlm.nih.gov/pmc/blobs/5068/9865391/8d8ee4767015/ijms-24-01525-g001.jpg

文献检索

告别复杂PubMed语法,用中文像聊天一样搜索,搜遍4000万医学文献。AI智能推荐,让科研检索更轻松。

立即免费搜索

文件翻译

保留排版,准确专业,支持PDF/Word/PPT等文件格式,支持 12+语言互译。

免费翻译文档

深度研究

AI帮你快速写综述,25分钟生成高质量综述,智能提取关键信息,辅助科研写作。

立即免费体验